 |
 |
| VAC
- VACHER
- VAILLANT - VAL - VALEUR
- VALIDITÉ - VAN
- VAR - VARIABLE - VARIATION
- VE - VI - VIOLENCE
- VO - VR/VU - VYGOTSKY |
|
|
Vacances
: Summer vacation.
| |
|
MADRIGAL, R., HAVITZ, M.E. & HOWARD, D.R. (1992).
Married couples involvement with family vacations.
Leisure Sciences, 14, 287-301. |
COOPER, H.M., NYE, B., CHARLTON, K., LINDSEY, J. &
GREATHOUSE, S. (1996). The effects of summer vacation on
student achievement test scores : A meta-analytic and
narrative review. Review of Educational Research, 66,
227-268. |
SCHAFFNER, E., SCHIEFELE, U. & ULFERTS, H. (2016). The
contributions of intrinsic and extrinsic reading
motivation to the development of reading competence over
summer vacation. Reading Psychology, 37, 917-941.
[PDF] |
 |
 |
|
Vaccin : Vaccination : Vaccinal-e prévention
et mythe/Vaccination.
Vaccination.
| |
|
TADDIO, A., NULMAN, I., GOLDBACH, M. & IPP, M. (1994).
Use of lidocaine-prilocaine cream for vaccination pain in
infants. Journal of Pediatrics, 124, 643-648. |
KAHAN, D.M., BRAMAN, D., COHEN, G.L., GASTIL, J. &
SLOVIC, P. (2010). Who fears the HPV vaccine, who doesn't,
and why ? An experimental study of the mechanisms of
cultural cognition. Law & Human Behavior, 34,
501-516. |
SZUCS, M.T. (2000). Cost-benefits of vaccination
programmes. Vaccine, 18 (S1), 49-51. |
BETSCH, C., RENKEWITZ, F., BETSCH, T. & ULSHÖFER, C.
(2010). The influence of vaccine-critical websites on
perceiving vaccination risks. Journal of Health
Psychology, 15, 446-455. |
LEHRKE, P., NUEBLING, M., HOFMANN, F. & STOESSEL, U.
(2001). Attitudes of homoeopathic physicians towards
vaccination. Vaccine, 19, 4859-4864. |
POLAND, G.A. & JACOBSON, R.M. (2011). The age-old
struggle against the antivaccinationists. New England
Journal of Medicine, 364 (2), 97-99. |
POLAND, G.A. (2001). Understanding those who do not
understand : A brief review of the anti-vaccine movement.
Vaccine, 19, 2440-2445. |
O'KEEFE, D.J. & NAN, X. (2012). The relative
persuasiveness of gain-and-loss-framed messages for
promoting vaccination : A meta-analytic review. Health
Communication, 27, 776-783. |
STEHR-GREEN P., TULL P., STELLFELD M., MORTENSON P.B.
& SIMPSON D. (2003). Autism and thimerosal-containing
vaccines : Lack of consistent evidence for an association.
American Journal of Preventive Medicine, 25, 101-106. |
MNOOKIN, S. (2012). The panic virus : the true story
behind the vaccine-autism controversy. New York, NY
: Simon and Schuster. |
GEIAR, M.R. & GEIAR, D.A. (2003). Thimerosal in
childhood vaccines. Neurodevelopment disorders and heart
disease in the United States. Journal of American
Physicians & Surgeons, 8, 6-11. |
BETSCH, C. & SACHSE, K. (2013). Debunking vaccination
myths : Strong risk negations can increase perceived
vaccination risks. Health Psychology, 32,
146-155. |
HVIID, A., STELLFELD, M., WOHTFAHRT, J. & MELBYE, M.
(2003). Association between thimerosal-containing vaccines
and autism. Journal of the American Medical
Association, 290, 1763-1766. |
BERAN, T.N., RAMIREZ-SERRANO, A., VANDERKOOI, O. &
KUHN, S. (2013). Reducing children's distress towards flu
vaccinations : A novel and effective use of humanoid
robotics. Vaccine, 31 (25), 2772-2777. |
SCHMIDT, K. & ERNST, E. (2003). Vaccination advice
over the Internet. Vaccine, 21 (11-12),
1044-1047. |
JOLLEY, D. & DOUGLAS, K.M. (2014). The effects of
anti-vaccine conspiracy theories on vaccination
intentions. PLoS One, 9 (2), 1-9. [PDF] |
MILLER, G.E., COHEN, S., PRESSMAN, S., BARKIN, A., RABIN,
B.S. & TREANOR, J. (2004). Psychological stress and
antibody response to influenza vaccination : When is the
critical period for stress, and how does it get inside the
body ? Psychosomatic Medicine, 66, 207-214. [LIRE] |
TAYLOR, L.E., SWERDFEGER, A.L. & ESCLICK, G.D. (2014).
Vaccines are not associated with autism : an
evidence-based meta-analysis of case-control and cohort
studies. Vaccine, 32, 3623-3629. |
PRESSMAN, S., COHEN, S., MILLER, G.E., BARKIN, A., RABIN,
B.S. & TREANOR, J.J. (2005). Loneliness, social
network size, and immune response to influenza vaccination
in college freshmen. Health Psychology, 24, 297-306.
[PDF] |
NYHAN, B., REIFLER, J., RICHEY, S. & FREED, G.L.
(2014). Effective messages in vaccine promotion : A
randomized trial. Pediatrics, 133 (4), 835-842.
|
NORMAND, M.P. & DALLERY, J. (2007). Mercury rising :
Exposing the vaccine - autism myth. Skeptic, 13,
32-36. [PDF] |
LARSON, H.J., JARRETT, C., ECKERSBERGER, E., SMITH, D.M.D.
& PATERSON, P. (2014). Understanding vaccine hesitancy
around vaccines and vaccination from a global perspective
: A systematic review of published literature, 2007-2012.
Vaccine, 32, 2150-2159. |
 |
BREWER, N.T., CHAPMAN, G.B., GIBBONS, F.X., GERARD, M.,
McCAUL, K.D. & WEINSTEIN, N.D. (2007). A meta-
analysis of the relationship between risk perception and
health behavior : The example of vaccination. Health
Psychology, 26, 136-145. |
MAGLIONE, M.A., DAS, L., RAAEN, L.M., SMITH, A.,CHARIA,
R., NEWBERRY, S., SHANMAN, R., PERRY, T., GOETZ, M.B.
& GIDEGIL, C. (2014). Safety of vaccines used for
routine immunization of US children : a systematic review.
Pediatrics, 134 (2), 325-337.
[PDF] |
BREWER, N.T., WEINSTEIN, N.D., CUITE, C.L. &
HERRINGTON, J.E. (2007). Risk compensation and vaccination
: Can getting vaccinated cause people to engage in risky
behaviors ? Annals of Behavioral Medicine, 34, 95-99. |
TAYLOR, L.E., SWERDFEGER, A.L. & ESLICK, G.D. (2014).
Vaccines are not associated with autism : An
evidence-based meta-analysis of case - control and cohort
studies. Vaccine, 32 (29), 3623-3629. |
WEINSTEIN, N.D., KWITEL, A., McCAUL, K.D., MAAGNAN, R.E.,
GERARD, M. & GIBBONS, F.X. (2007). Risk perception :
Assessment and relationship to influenza vaccination.
Health Psychology, 26 (2), 146-151. |
NYHAN, B. & REIFLER, J. (2015). Does correcting myths
about the flu vaccine work ? An experimental evaluation of
the effects of corrective information. Vaccine, 33
(3), 459-464. [PDF] |
JACOBSON, R.M., TARGONSKI, P.V. & POLAND, G.A. (2007).
A taxonomy of reasoning flaws in the anti-vaccine
movement. Vaccine, 25 (16), 3146-3152. |
BROWNE, M., THOMSON, P., ROCKLOFF, M.J. & PENNYCOOK,
G. (2015). Going against the herd : Psychological and
cultural factors underling the vaccination confidence gap.
PLoS One, 10 [9], 1-14. [PDF] |
DE BLOOM, J., KOMPIER, M., GEURTS, S., de WEERTH, C.,
TARI, T. & SONNENTAG, S. (2009). Do we recover from
vacation ? Meta-analysis of vacation effect. Journal
of Occupational Health, 51 (1), 13-25. [PDF]
+
[PDF] |
HORNSEY, M.J., HARRIS, E.A. & FIELDING, K.S. (2018).
The Psychological roots of anti-vaccination attitudes : A
24-nation investigation. Health Psychology, 37 (4),
307-315.
[PDF] |
|
WONG, L.P., ALIAS, H., WONG, P.F., LEE, H.Y. &
ABUBAKAR, S. (2020). The use of the health belief model to
assess predictors of intent to receive the COVID-19
vaccine and willingness to pay. Human Vaccines
Immunotherapeutics,
16, 2204–2214.[PDF] |
|
ASWORTH, M., THUNSTRÖM, L., CHERRY, T.L. & FINNOFF,
D.C. (2021). Emphasize personal health benefits to boost
COVID-19 vaccination rates. Proceeding of National
Academy of Science, 118, [32]. |
|
WONG, M. C., WONG, E. L., HUANG, J., CHEUNG, A.W., LAW,
K. & CHONG, M.K. (2021). Acceptance of the COVID-19 vaccine
based on the health belief model : a population-based
survey in Hong Kong. Vaccine, 39, 1148–1156. |
|
HORNSEY, M.J. (2022). Reasons why people may refuse
COVID-19 vaccination (and what can be done about it). World
Psychiatry, 21 (2), 217-218. [PDF] |
|
GAGNEUR, A. (2025). Être ou ne pas être vacciné ? Entre peurs, raison et science. Trécarré. |
|
 |
| |
Voir aussi Maladie,
Prévention, Mythe/Vaccination,
Virus, Hésitation
vaccinale, Anti-vaccination,
Covid et Mythe |
 |
 |
|
Vaccin/Vaccination (Anti) :
Anti-vaccination.
| |
|
POLAND, G. (2001). Understanding those who do not
understand : A brief review of the anti-vaccine
movement. Vaccine 19, 2440-2445. |
JOLLEY, D. & DOUGLAS, K.M. (2014). The effects of
anti-vaccine conspiracy theories on vaccination
intentions. PLoS One, 9 (2), 1-9. [PDF] |
KATA, A. (2010). A postmodern Pandora’s box:
anti-vaccination misinformation on the internet. Vaccine,
28, 1709–1716. |
HORNE, Z., POWELL, D., HUMMEL, J.E. & HOLYOAK, K.J. (2015). Countering antivaccination attitudes. Proceedings
of the National Academy of Sciences of the United
States of America, 112, (33), 10321-10324. [PDF] |
POLAND, G.A. & JACOBSON, R.M. (2011). The age-old
struggle against the antivaccinationists. New
England Journal of Medicine, 364 (2), 97-99. |
NYHAN, B. & REIFLER, J. (2015). Does correcting
myths about the flu vaccine work ? An experimental
evaluation of the effects of corrective information.
Vaccine, 33 (3), 459-464. |
BETSCH, C. & SACHSE, K. (2013). Debunking
vaccination myths : Strong risk negations can increase
perceived vaccination risks. Health Psychology, 32,
146-155. |
HORNSEY, M.J., HARRIS, E.A. & FIELDING, K.S. (2018).
The psychological roots of anti-vaccination attitudes :
A 24-Nation Investigation. Health Psychology, 37
(4), 307-305. [PDF] |
|
<
EVRONY, A., CAPLAN, A. (2017). The overlooked dangers of anti-vaccination groups' social media presence. Human Vaccines & Immunotherapy, 13 (6), 1475-1476. [PDF] |
|
Voir aussi Théorie
du complot, Mythe,
Mythe/Vaccination, Rejet
de la science et Antiscientifique
|
|
 |
|
Vaccin/Vaccination
(Mythes) :
Debunking vaccination myth, myths about the flu vaccine.
| |
|
MNOOKIN, S. (2012). The panic virus : the true story
behind the vaccine-autism controversy. New York, NY
: Simon and Schuster. |
BETSCH, C. & SACHSE, K. (2013). Debunking vaccination
myths : Strong risk negations can increase perceived
vaccination risks. Health Psychology, 32,
146-155. |
JOLLEY, D. & DOUGLAS, K.M. (2014). The effects of
anti-vaccine conspiracy theories on vaccination
intentions. PLoS One, 9 (2), 1-9. [PDF] |
NYHAN, B. & REIFLER, J. (2015). Does correcting myths
about the flu vaccine work ? An experimental evaluation of
the effects of corrective information. Vaccine 33
(3), 459-464. |
DAVIDSON, M. (2017). Vaccination as a cause of
autism-myths and controversies. Dialogues in Clinical
Neurosciencee, 9 (4), 403-407. [PDF] |
HORNSEY, M.J. FINLAYSON, M., CHATWOOD, G. & BEGENY,
C.T. (2020). Donald Trump and vaccination : The effect of
political identity, conspiracist ideation and presidential
tweets on vaccine hesitancy. Journal of Experimental
Social Psychology, 88 [130947]. |
|
Voir aussi Théorie
du complot, Mythe
et Antiscientifique |
 |
 |
|
Vaccinale
(Hésitation) : =
Résistance vaccinale. Vaccine hesitancy.
| |
|
LARSON, H.J., JARRETT, C., ECKERSBERGER, E., SMITH, D.M.D.
& PATERSON, P. (2014). Understanding vaccine hesitancy
around vaccines and vaccination from a global perspective
: A systematic review of published literature 2007-2012.
Vaccine, 32, 2150-2159. |
GREENBERG, J., DUBÉ, E. & DRIEDGER, M. (2017). Vaccine
hesitancy : in search of the risk communication comfort
zone. PLoS Currents, 3, [9]. |
SHIXIN, C. & DUBEY, V. (2019). Addressing vaccine
hesitancy. Canadian Family Physician, 65,
175-181.
[PDF] |
HORNSEY, M.J., FINLAYSON, M., CHATWOOD, G. & BEGENY, C.
T. (2020). Donald Trump and vaccination : The effect of
political identity, conspiracist ideation and presidential
tweets on vaccine hesitancy. Journal of Experimental
Social Psychology, 88 [130947].
|
HORNSEY, M.J. (2022). Reasons why people may refuse
COVID-19 vaccination (and what can be done about it). World
Psychiatry, 21 (2), 217-218. [PDF] |
GAGNEUR, A. (2025). Être ou ne pas être vacciné ? Entre peurs, raison et science. Trécarré. |
|
Voir aussi Théorie
du complot, Mythe,
Mythe/Vaccination et Antiscientifique |
 |
 |
|
Vache
: Animal herbivore
de la classe des mammifères.
Cattle, cow.
| |
|
GRANDIN, T. (1980). Observations of cattle behavior
applied to the design of cattle handling facilities.
Applied Animal Ethology, 6, 19. |
KONDO, S., SEKINE, J., OKUBO, M. & ASAHIDA. Y. (1989).
The effect of group size and space allowance on the
agonistic and spacing behavior of cattle. Applied
Animal Behavior. Science, 24 (2), 127-135. |
GRANDIN, T. (1993). Agitated wild behaviour is persistent
over time in exotic crossbred cattle. Applied Animal
Behaviour Science, 36, 1-9. |
ALBRIGHT, J.L. & ARAVE, C.W. (1997). The behaviour
of cattle. CAB International. Cambridge, UK. |
GRANDIN, T. (2001). Cattle vocalizations are associated
with handling and equipment problems at beef slaughter
plants. Applied Animal Behaviour Science, 71,
191-200. |
GRANDIN, T. (2001). Welfare of cattle during slaughter and
the prevention of nonambulatory (downer) cattle.
Journal of the American Veterinary Medical Association,
219, 1377-1382. |
| |
Voir aussi Mammifère
et Animal de
ferme |
 |
 |
|
|
|
Vacher : Oiseau.
=(Molothrus ater).
Cowbird.
| |
FREEBERG, T.M. (1998). The cultural transmission of
courtship patterns in cowbirds. Molothrus ater. Animal
Behaviour, 56, 1063–1073. [PDF] |
WINFREE, R. (1999). Cuckoos, cowbirds and the persistence
of brood parasitism. Trends in Ecology &
Evolution, 14, 338-343. |
SMITH, V.A., KING, A.P. & WEST, M.J. (2002). The
context of social learning : association patterns in a
captive flock of brown-headed cowbirds. Animal
Behaviour, 63, 23-35. [PDF] |
WHITE, D.J., GROS-LOUIS, J., KING, A.P., PAPAKHIAN, M.A.
& WEST, M.J. (2007). Constructing culture in cowbirds
(Molothrus ater). Journal of Comparative Psychology,
121 (2), 113-122. [PDF] |
|
 |
Voir aussi Oiseau |
 |
|
Vacher
Laurent-Michel (1944-2005 Montréal) : Philosophe,
essayiste, vulgarisateur
scientifique québécois, d'origine française, et professeur au Collge
Ahuntsic. Partisan d'une philosophie
scientifique. Vacher et Bunge.
 
 |
VACHER, L.M. (2000). La passion du réel; la
philosophie devant les sciences. Montréal : Liber.
|
VACHER, L.M. (1993). Entretiens avec Mario Bunge :
une philosophie pour l'âge de la science. Montréal
: Liber. |
VACHER, L.M. (1984). Pour un matérialisme vulgaire.
Montréal : Les Herbes rouges. |
VACHER, L.M., MARTIN, J.C. et DAOUST, M.J. (2003). Débats
philosophiques : une initiation. Montréal : Liber. |
VACHER, L.M. (2004). Le crépuscule d'une idole :
Nietzsche et la pensée fasciste. Montréal : Liber. |
 |
 |
|
Vaes Jeroen Andre Filip ( ) : Psychosociologue
belge et spécialiste de l'étude des émotions
et de l'humanisation.
Collaborateur de Leyens.

 |
VAES, J., PALADINO, M.P. & LEYENS, J.P. (2002). The
lost e-mail : Prosocial reactions induced by uniquely
human emotions. British Journal of Social Psychology,
41, 521-534. |
VAES, J., PALADINO, M.P. & LEYENS, J.P. (2004). Prise
de perspective et expression d'émotions typiquement
humaines : Dessiner un E sur le front/Perspective taking
in an intergroup context and the use of uniquely human
emotions : Drawing an E on your forehead. Revue
Internationale de Psychologie Sociale, 17 (3),
5-26. |
VAES, J., PALADINO, M.P. & LEYENS, J.P. (2006). Priming uniquely human emotions and the in-group (but not
the out-group) activates humanity concepts. European
Journal of Social Psychology, 36, 169-181. |
VAES, J., PALADINO, M.P. & PUVIA, E. (2011). Are
sexualized women complete human beings ? Why males and
females dehumanize sexually objectified women.
European Journal of Social Psychology, 41, 774-785. |
VAES, J., LEYENS, J.P., PALADINO, M.P. & MIRANDA, M.P.
(2012). We are human, they are not : Driving forces behind
outgroup dehumanisation and the humanisation of the
ingroup. European Review of Social Psychology, 23
(1), 64-106.
[PDF] |
 |
 |
|
Vagal
: Vagal.
| |
|
PORGES, S.W., DOUSSARD-ROOSEVELT, J.A. & MAITI, A.K. (1994). Vagal tone and the physiological regulation of
emotion. Monographs of the Society for Research in
Child Development, 59, 167-186. |
|
 |
Voir aussi Nerf et Émotion |
 |
|
|
|
Vaginisme
: Dysfonction
sexuelle. Vaginismus.
| |
|
FERTEL, N.S. (1977). Vaginismus : A review. Journal
of Sex & Marital Therapy, 3 (2), 113- 121. |
BINIK, Y.M., BERGERON, S. & KHALIFE, S. (2007).
Dyspareunia and vaginismus : So-called sexual pain. In
S.R. Leiblum (Ed.), Principles and practice of sex
therapy (pp. 124-156). New York : Guilford Press. |
BINIK, Y.M. (2009). The DSM diagnostic criteria for
vaginismus. Archives of Sexual Behavior, 39 (2),
278-291. |
BOYER, S.C., DARGIE, E. & PUKALL, C.F. (2010).
Vaginismus : A true disorder. The Female Patient, 35,
36-41.
[PDF] |
| |
 |
Voir aussi Dysfonction
sexuelle et Femme |
 |
|
|
|
|
|
|
VALEUR - VALIDITÉ
- VALIDITÉ/RECHERCHE - VALIDITÉ/MESURE - VALIDITÉ
EXTERNE - VALIDITÉ
INTERNE - VALINS -
VALLERAND - VAN |
Valdesolo Piercarlo ( ) : Psychosociologue,
d'origine italienne, spécialisé dans l'étude des émotions, en particulier l'étonnement
et son rôle dans le raisonnement,
notamment le raisonnement
scientifique. Collaborateur de Shtulman.
 |
VALDESOLO, P. & DeSTENO, D.A. (2006). Manipulations of
emotional context shape moral decision making. Psychological
Science, 17 (6), 476-477. |
VALDESOLO, P. & DeSTENO, D.A. (2011). Synchrony and
the social tuning of compassion. Emotion, 11 (2),
262-266. |
VALDESOLO, P. & GRAHAM, J. (2014). Awe, uncertainty,
and agency detection. Psychological Science, 25, 170-178. |
VALDESOLO P., PARK, J. & GOTTLIEB, S. (2016). Awe and
scientific explanation. Emotion, 16, 937-940. |
VALDESOLO, P., SHTULMAN, A. & BARON, A.S. (2017).
Science is awesome : The emotional antecedents of science
learning. Emotion Review, 9, 1-7. |
 |
 |
|
Valdovinos Maria G. ( ) : Psychologue
béhavioriste
américaine. Collaboratrice de Kennedy
et Zarcone.

 |
VALDOVINOS, M.G., NAPOLITANO, D.A., ZARCONE J.R.,
HELLINGS, J.A., WILLIAMS, D.C. & SCHROEDER, S.R.
(2002). Multimodal evaluation of risperidone for
destructive behavior : Functional analysis, direct
observations, rating scales, and psychiatric impressions.
Experimental & Clinical Psychopharmacology, 10 (3),
268-275. |
VALDOVINOS, M.G., SCHROEDER, C.S. & KIM, G. (2003).
Prevalence and correlates of psychotropic medication use
among adults with developmental disabilities : 1970-2000.
International Review of Research in Mental Retardation,
26, 175-220. |
VALDOVINOS, M.G., ROBERTS, C. & KENNEDY, C.H. (2004).
Analogue functional analysis of movements associated with
tardive dyskinesia. Journal of Applied Behavior Analysis, 37 (3), 391-393. [PDF] |
VALDOVINOS, M.G. & KENNEDY, C.H. (2004). Behavior
analytic conceptualization of psychotropic medication side
effects. The Behavior analyst, 27 (2), 231-238.
[PDF] |
 |
 |
|
Valence : Valeur positive ou
négative que l'on accorde à un phénomène,
notamment l'attraction
personnelle (ou d'une émotion).
Valence.
| |
|
VAN DER PLIGT, J. (1984). Attributions, false consensus
and valence : Two field studies. Journal of
Personality & Social Psychology, 46, 57-68. [PDF] |
GUIMELLI, C. (1995). Valence et structure des
représentations sociales. Bulletin de Psychologie, 49
(422), 58-72. |
DELGADO, M.R., LOCKE, H.M., STENGER, V.A. & FIEZ, J.A.
(2003). Dorsal striatum responses to reward and punishment
: Effects of valence and magnitude manipulations. Behavioral
Neuroscience, 3 (1), 27-38. |
BARRETT, L.F. (2006). Valence is a basic building block of
emotional life. Journal of Research in Personality,
40, 35-55. |
 |
 |
|
Valentino Nicholas A. ( ) : Politologue
américain. Collaborateur de
Sears et Zuckerman.

 |
VALENTINO, N.A. (1999). Crime news and the priming of
racial attitudes during evaluations of the president. The
Public Opinion Quarterly, 63 (3), 293-320. |
VALENTINO, N.A. & SEARS, D.O. (2005). Old times there
are not forgotten : Race and partisan realignment in the
contemporary south. American Journal of Political
Science, 49 (3), 672-688. |
VALENTINO, N.A., HUTCHINGS, V.L., BANKS, A.J. & DAVIS,
A.K. (2008). Is a worried citizen a good citizen ?
Emotions, political information seeking, and learning via
the internet. Political Psychology, 29 (2),
247-273. |
VALENTINO, N.A., GREGOROWICZ, K. & GROENENDYK, E.W.
(2009). Efficacy, emotions and the habit of participation.
Political Behavior, 31, 307-330. |
VALENTINO, N.A., BRASER, T., GROENENDYK, E.W.,
GREGOROWICZ, K. & HUTCHINGS, V.L. (2011). Election
night's alright for fighting : The role of emotions in
political participation. Journal of Politics, 73 (1),
156-170. [PDF] |
 |
 |
|
|
|
Valeur (personnelle/sociale) : En psychologie
et en sociologie,
importance (généralement élevée) qu'un individu
ou un groupe accorde
à un comportement ou à
une idée. EX:
Le mariage, le travail, la famille, la religion, la franchise,
etc. Les valeurs sont les choses auxquelles vous tenez, même si
vous ne savez pas pourquoi. Valeur,
culture et
norme. = importance, idéal
personnel, idéal social.
Value, social value.
| |
|
TARDE, G. (1888). Les deux sens de la valeur. Revue
d'économie politique, 2, 526-540/561-576. |
BILSKY, W. & KOCH, M. (2000). On the content and
structure of values : universals or methodological
artefacts ? In J. Blasius, J. Hox, E. deLeeuw & P.
Schmidt (Eds.), Social science methodology in the New
Millennium. Cologne, Germany. Leverkusen : Leske +
Budrich. [PDF] |
DEWEY, J. (1913). The problems of value. Journal of
Philosophy, Psychology & Scientific Methods, 10, 268-269.
[LIRE] |
TYLER, T.R., LIND, E.A. & HUO, Y.J. (2000). Cultural
values and authority relations : The psychology of
conflict resolution across cultures. Psychology,
Public Policy & Law, 6, 1138-1163. |
THURSTONE, L.L. (1927). The method of paired comparisons
for social values. Journal of Abnormal & Social
Psychology, 21, 384-400. [LIRE] |
PRENTICE, D.A. (2000). "Values" and "norms". In A.E.
Kazdin (Eds.), Encyclopedia of psychology. New
York : Oxford University Press. |
ALLPORT, G.W. & VERNON, P.E. (1931). Study of
values : A scale for measuring the dominant interests in
personality. Boston : Houghton Mifflin. |
BARON, J. & LESHNER, S. (2000). How serious are
expressions of protected values ? Journal of
Experimental Psychology : Applied, 6 (3), 183-194. |
VERNON, P.E. & ALLPORT, G.W. (1931). A test for
personal values. Journal of Abnormal & Social
Psychology, 26 (3), 231-248. |
|
BRUNER, J.S. & GOODMAN, C.C. (1947). Value and need as
organizing factors in perception. Journal of Abnormal
& Social Psychology, 42, 33-44. |
|
POSTMAN, L.J., BRUNER, J.S. & McGINNIES, E. (1948).
Personal values as selective factors in perception. Journal
of Abnormal & Social Psychology, 18, 142-154. |
BUSS, D.M. SHACKELFORD, T.K., KIRKPATRICK, L.A. &
LARSEN, R.J. (2001). A half century of mate preferences :
The cultural evolution of values. Journal of Marriage
& the Family, 63, 491-502. [PDF] |
LAVELLE, L. (1950/91). Traité des valeurs. Paris
: Presses Universitaires de France. |
SCHWARTZ, S.H. & BARDI, A. (2001). Value hierarchies
across cultures : Taking a similarities perspective. Journal
of Cross Cultural Psychology, 32, 268-290. |
ARROW, K.J. (1951). Social choice and individual
values. New Haven, CT : Yale University Press. |
MAIO, G.R., OLSON, J.M., ALLEN, L. & BERNARD, M.M.
(2001). Addressing discrepancies between values and
behavior : The motivating effect of reasons. Journal
of Experimental Social Psychology, 37, 104-117. [PDF] |
THURSTONE, L.L. (1954). The measurement of value. Psychological Review, 61 47-58. [LIRE] |
|
PENNEY, R.K. (1960). On a distinction between fact versus
value in child psychology. Ontario Psychological
Association Quarterly, 13, 92-94. |
|
ALLPORT, G.W., LINDZEY, G. & VERNON, P.E. (1960). Manuel,
study of values. Cambridge : Houghton Mifflin. |
|
WALLACH, M.A. & WING, C. (1968). Is risk a value ?
Journal of Personality & Social Psychology, 9,
101-106. |
|
ROKEACH, M. (1968). Beliefs, attitudes, and values.
San Francisco : Jossey-Bass. |
|
ALLPORT, G.W., VERNON, P.E. & LINDZEY, G. (1970). Study
of values. New York : Houghton Mifflin. |
|
SOLOMON, D., ALI, F., KFIR, D., HOULIHAN, K. & YAEGER,
J. (1972). The development of democratic values and
behavior among Mexican-American children. Child
Development, 43, 625-683. |
|
ROKEACH, M. (1973). The nature of human values.
New York : Free Press. |
FEATHER, N.T. (2002). Values and value dilemmas in
relation to judgments concerning outcomes of an industrial
conflict. Personality & Social Psychology
Bulletin, 28 (4), 446-459. |
HENRY, W.A. (1976). Cultural values do correlate with
consumer behavior. Journal of Marketing Research, 13,
121-127. |
KASSER. T. (2002). Sketches for a self-determination
theory of values. In E.L. Deci & R.M. Ryan (Eds.),
Handbook of self-determination research (pp.
123-140). Rochester, NY : University of Rochester Press. |
GARVIN, B.J. (1976). Values of male nursing students. Nursing
Research, 25, 352-357. |
|
 |
HURKA, S.J. (1980). Business administration students in
five Canadian universities : A study of values. The
Canadian Journal of Higher Education, 10 (1),
84-93. [PDF] |
|
TRIANDIS, H.C. (1980). Values, attitudes and interpersonal
behavior. In M.M. Page (Ed.), Nebraska symposium on
motivation : Beliefs, attitudes and values. Lincoln
: University of Nebraska Press. |
RENNER, W. (2002). Human values : a lexical perspective. Personality
& Individual Differences, 34, 127-141. |
LEPPER, M.R. (1983). Social-control processes and the
internalization of social values : An attributional
perspective. In E.T. Higgins, D.N. Ruble & W.W. Hartup
(Eds.), Social cognition and social development
(pp. 294-330). New York : Cambridge University Press. |
ECCLES, J.S. & WIGFIELD, A. (2002). Motivational
beliefs, values, goals. Annual Review of Psychology,
53, 109-132. [PDF] |
SCHWARTZ, S.H. & BILSKY, W. (1987). Toward a universal
psychological structure of human values. Journal of
Personality & Social Psychology, 53, 550-562. |
MAIO, G.R. (2002). Values - Truth. The Psychologist,
15 (6), 296-299. [PDF] |
KRISTIANSEN, C.M. & ZANNA, M.P. (1988). Justifying
attitudes by appealing to values : a functional
perspective. British Journal of Social Psychology,
27, 247-256. |
ECCLES, J.S. & WIGFIELD, A. (2002). Motivational
beliefs, values, goals. Annual Review of Psychology,
53, 109-132. [PDF] |
FEATHER, N.T. (1988). Values, valences, and course
enrollment : Testing the role of personal values within an
expectancy-value framework. Journal of Educational
Psychology, 80, 381-391. |
|
SCHWARTZ, S.H. & STRUCH, N. (1989). Values,
stereotypes and intergroup antagonism. In D. Bar-tal, C.F.
Graumann, A.W. Kruglanski & W. Stroebe (Eds.), Stereotyping
and prejudice (pp. 151-167). New York :
Springer-Verlag. |
GOODWIN, R. & TINKER, M. (2002). Value priorities and
preference for a relationship partner. Personality
& Individual Differences, 32, 1339-1349. [PDF] |
BIERNAT, M. (1989). Achievement motives and values :
Different constructs with different effects. Journal
of Personality, 57, 69-95. |
STRUCH, N., SCHWARTZ, S.H. & VAN DER KLOOT, W.A.
(2002). Meanings of basic values for women and men : a
cross-cultural analysis. Personality & Social
Psychology Bulletin, 28 (1), 16-28. |
LEVINE, J.M. & MORELAND, R.L. (1989). Social values
and multiple outcome comparisons. In N. Eisenberg, J.,
Reykowski & E. Staub (Eds.), Social and moral
values : Individual and societal perspectives (pp.
195-210). Hillsdale, NJ : Erlbaum. |
WOODS, L.N. & JAGERS, R.J. (2003). Are cultural values
predictors of moral reasoning in African American
adolescents ? Journal of Black Psychology, 29
(1), 102-118. |
SCHWARTZ, B. (1990). The creation and destruction of
value. American Psychologist, 45, 7-15. [PDF] |
WACH, M. et HAMMER, B. (2003). La structure des
valeurs est-elle universelle ? Paris : L'Harmattan.
|
ELLIS, A. (1991). Psychotherapy and the value of a
human being. New York : Albert Ellis Institute. |
MAIO, G.R., OLSON, J.M., BERNARD, M. & LUKE, M.A.
(2003). Ideologies, values, attitudes, and behavior. In J.
DeLamater (Ed.), Handbook of social psychology (pp.
283-308). New York, NY : Kluwer Academic. |
BEUTLER, L.E. & BERGAN, J. (1991). Value change in
counseling and psychotherapy : A search for scientific
credibility. Journal of Counseling Psychology, 38, 16-24. |
BERNARD, M., MAIO, G.R. & OLSON, J.M. (2003). Effects
of introspection about values : Extending research on
values as truisms. Social Cognition, 21 (1),
1-25. [PDF] |
STERN, P.C., DIETZ, T. & KALOF, L. (1993). Value
orientations, gender, and environmental concern. Environment
& Behavior, 25 (5), 322-348. |
IEDEMA, J. & POPPE, M. (1994). Effects of social value
orientation on expecting and learning others orientations.
European Journal of Social Psychology, 24,
565-579. |
WEATHERS, P.L., THOMPSON, C.E., ROBERT, S. &
RODRIGUEZ, J. (1994). Black college women's career values
: A preliminary investigation. Journal of
Multicultural Counseling & Development, 22,
96-105. |
BOND, M.H., LEUNG, K., AU, L., TOMG, K.K. &
CHEMONGES-NIELSON, C. (2004). Combining social axioms with
values in predicting social behaviours. European
Journal of Personality, 18, 177-191. [PDF]
|
STERN, P.C. & DIETZ, T. (1994). The value basis of
environmental concern. Journal of Social Issues, 50
(3), 65-84 |
|
SCHWARTZ, S.H. (1994). Are there universal aspects in the
content and structure of values ? Journal of Social
Issues, 50, 19-45. [PDF] |
SCHWARTZ, S.H. & BOEHNKE, K. (2004). Evaluating the
structure of human values with confirmatory factor
analysis. Journal of Research in Personality, 38,
230-255. |
KRISTIANSEN, C.M. & ZANNA, M.P. (1994). The rhetorical
use of values to justify social and intergroup attitudes.
Journal of Social Issues, 50 (4), 47-65. |
HITLIN, S. & PILIAVIN, J.A. (2004). Current research,
methods, and theory of values. Annual Review of
Sociology, 30, 359-393. |
KRISTIANSEN, C.M. & ZANNA, M.P. (1994). The rhetorical
use of values to justify social and intergroup attitudes.
Journal of Social Issues, 50 (4), 47-65. |
ALUJA, A. & GARCIA, L.F. (2004). Relationships between
big five personality factors and values. Social
Behavior & Personality, 32 (7), 619-626. [PDF] |
 |
BILSKY, W. & SCHWARTZ, S.H. (1994). Values and
personality. European Journal of Personality, 8,
163-181. |
SAROGLOU, V., DELPIERRE, V. & DERNELLE, R. (2004).
Values and religiosity : A meta-analysis of studies using
Schwartz's model. Personality & Individual
Differences, 37, 721-734. |
MAIO, G.R. & OLSON, J.M. (1994).
Value-attitude-behaviour relations : The moderating role
of attitude functions. British Journal of Social
Psychology, 33, 301-312. |
FEATHER, N.T. (2005). Values, religion and motivation. In
Advances in motivation and achievement : Motivation
and religion (pp. 35-73). Oxford, UK : JAI Press. |
IEDEMA, J. & POPPE, M. (1994). Effects of social value
orientation on expecting and learning others orientations.
European Journal of Social Psychology, 24,
565-579. |
JOIREMAN, J. & DUELL, B. (2005). Mother Teresa vs.
Ebenezer Scrooge : Mortality salience leads proselfs to
endorse self-transcendent values (unless proselfs are
reassured). Personality & Social Psychology
Bulletin, 31, 307-320. |
KASSER, T., RYAN, R.M., ZAX, M. & SAMEROFF, A.J.
(1995). The relations of maternal and social environments
to late adolescents' materialistic and prosocial values. Developmental
Psychology, 31, 907-914. |
SCHWARTZ, S.H. & RUBEL, T. (2005). Sex differences in
value priorities : Cross-cultural and multi-method
studies. Journal of Personality & Social
Psychology, 89, 1010-1028. [PDF] |
DIETZ, T., FRISCH, A.S., KALOF, L., STERN, P. &
GUAGNANO, G.A. (1995). Values and vegetarianism : An
exploratory analysis. Rural Sociology, 60,
533-542. |
CHANGEUX, J.P., DAMASIO, A.R., SINGER, W. & CHRISTEN,
Y. (Eds.) (2005). Neurology of human values. Springer. |
LUBINSKI, D., SCHMIDT, D.B. & BEMBOW, C.P. (1996). A
20-year stability analysis of the study of values for
intellectually gifted individuals from adolescence to
adulthood. Journal of Applied Psychology, 81
(4), 443-451.
[PDF] |
ARIELY, D., LOWENSTEIN, G. & PRELEC, D. (2006). Tom
Sawyer and the construction of Value. Journal of
Economic Behavior & Organization, 60 1-10. [PDF] |
KRISTIANSEN, C.M. & HOTTE, A.M. (1996). Morality and
the self : implications for the when and how of
value-attitude-behavior relations. In C. Seligman, J.M.,
Olson & M.P. Zanna (Eds.), The psychology of
values (pp. 77-105). Mahwah, NJ : Erlbaum. |
BERNARD, M., GEBAUER, J. & MAIO, G.R. (2006). Cultural
estrangement : The role of personal and social value
discrepancies. Personality & Social Psychology
Bulletin, 32, 78-92. [PDF] |
SCHWARTZ, S.H. (1996). Value priorities and behavior :
applying a theory of integrated value systems. In C.
Seligman, J.M. Olson & M.P. Zanna (Eds.), The
psychology of values. (pp. 1-24). Mahwah, NJ :
Erlbaum. |
HEAVEN, P.C.L. & CIARROCHI, J. (2007). Personality and
religious values among adolescents : A three-wave
longitudinal analysis. British Journal of Psychology,
98, 681-694. [PDF] |
BRETHERTON, I., GOLBY B. & CHO, E. (1997). Attachment
and the transmission of values. In J. Grusec and L.
Kucszynski (Eds.). Parenting and children's
internalization of values (pp. 103-134). New York :
Wiley. |
MALLE, B.F. & DICKERT, S. (2007). Values. In R.F.
Baumeister & K.D. Vohs (Eds.), The encyclopedia
of social psychology. Thousand Oaks, CA : Sage. |
MAIO, G.R. & OLSON, J.M. (1998). Values as truisms :
Evidence and implications. Journal of Personality
& Social Psychology, 74, 294-311. [PDF] |
VOHS, K.D. & SCHOOLER, J.W. (2008). The value of
believing in free will : Encouraging a belief in
determinism increases cheating. Psychological
Science, 19 (1), 49-54. [PDF] |
TOOLEY, M. (1998). Values, obligation, and the asymmetry
question. Bioethics, 1 (2), 111-124. |
DE SOUSA, R. (2008). Really, what else is there ?
Emotions, value and morality. Critical Quarterly, 50
(4), 12-23. [PDF] |
PRIBRAM, K.H. (Ed.) (1998). Brain and values : is a
biological science of values possible. Mahwah, N.J.
: Lawrence Erlbaum Associates. |
FEATHER, N.T. & McKEE, I.R. (2008). Values and
prejudice : predictors of attitudes towards Australian
Aborigines. Australian Journal of Psychology, 60 (2),
80-90. |
STERN, P.C., DIETZ, T., ABEL, T.D., GUAGNANO, G.A. &
KALOF, L. (1999). A value-belief-norm theory of support
for social movements : The case of environmentalism. Human
Ecology Review, 6 (2), 81-97. |
HEAP, S.P.H. & ZIZZO, D.J. (2009). The value of
groups. American Economic Review, 99 (1),
295-323. [PDF] |
SCHWARTZ, S.H. (1999). A theory of cultural values and
some implications for work. Applied Psychology : An
International Review, 48 (1), 23-47.
[PDF] |
SCHWARTZ, S.H. & RUBEL-LIFSCHTZ, T. (2009).
Cross-national variation in the size of sex differences in
values : Effects of gender equality. Journal of
Personality & Social Psychology, 97 (1),
171-185. [PDF] |
|
VLAEV, I., CHATER, N., STEWART, N. & BROWN, G.D.A.
(2011). Does the brain calculate value ? Trends in
Cognitive Sciences, 15, 546-554 |
FEATHER, N.T. (1999). Values, achievement, and
justice : Studies in the psychology of deservingness.
New York : Plenum. |
SCHWARTZ, S.H. (2012). An overview of the Schwartz theory
of basic values. Online Readings in Psychology &
Culture, 2 (1), 1-20. [PDF] |
CHAPMAN, G.B. & JOHNSON, E.J. (1999). Anchoring,
activation, and the construction of values.
Organizational Behavior & Human Decision Processes,
79, 115-153. |
KOKESI, E.K. & AGYEMANG, C.B. (2014). Perceived job
insecurity and psychological distress : The moderating
role of work values. International Journal of
Management, Economics & Social Sciences, 3 (1),
18-35.
[PDF] |
 |
| |
 |
Voir aussi Culture
et Norme |
 |
|
Valeur
(Groupe/Entreprise). :
Ensemble des valeurs qui caractérise
un groupe (ou le distingue
des autres).
Value of group, Organizational value.
| |
|
CHEN, G. & TJOSVOLD, D. (2008). Organizational values
and procedures as antecedents for goal interdependence and
collaborative effectiveness. Asia Pacific Journal of
Management, 25 (1), 93-112. |
HEAP, S.P.H. & ZIZZO, D.J. (2009). The value of
groups. American Economic Review, 99 (1),
295-323. [PDF] |
CHEN, Y.N., TJOSVOLD, D., HUANG, X. & XU, D. (2011).
Newcomer socialization in China : effects of team values
and goal interdependence. International Journal of
Human Resource Management, 22 (16), 3317-3337. |
|
Voir aussi Groupe
endogène et
Identité de groupe |
 |
 |
|
|
|
Valeur
aléatoire : Valeur déterminée
par le hasard. Random
variable.
|
Valeur
aux livres : Anglicisme. Utilisé plutôt l'expression
«valeur comptable». /valeur au marché.
|
|
|
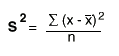
Valeur de P : P : En
statistique, la valeur de P est obtenue au moyen d'un
test statistique de signification qui permet de rejeter ou
non l'hypothèse nulle d'une
recherche. On compare cette valeur au
seuil de signification fixé par le chercheur. P correspond à
la probabilité de
commettre une erreur
lorsque l'on prend une décision
statistique. Elle correspond au risque de se tromper en
rejetant l'hypothèse nulle
et, ce faisant, d'affirmer qu'il existe une différence entre les
deux groupes/mesures (X 1 - X 2) de notre
étude. Autrement dit, P est la probabilité d'obtenir les résultats
observés ou décrits si l'hypothèse nulle est bel est bien vraie.
L'étendue de cette erreur se situe toujours entre 0 et 1 (ou 100 %
d'erreur). En psychologie,
une marge de 5 % est considérée comme acceptable. Cela signifie
que lorsque la valeur de P est inférieure à ce seuil, on rejette
l'hypothèse nulle qui affirme que X 1 = X 2;
ce faisant on accepte alors l'hypothèse alternative, qui postule l'existence d'une relation entre
les deux variables à l'étude. Par contre, si la valeur de P est
supérieure à ce seuil, on ne peut rejeter l'hypothèse nulle. Ce
non-rejet ne signifie pas que l'hypothèse nulle est acceptée
puisque cela reviendrait à dire que X 1 est
effectivement = à X 2 ce que les tests statistiques ne
permettent pas d'affirmer. Il convient également de préciser que
la valeur P désigne deux types d'erreur : l'erreur
alpha et l'erreur
beta; par défaut, cette probabilité renvoie à l'erreur
alpha.
= coefficient de signification, P.
P value, p-value.
|
| Décision/Condition/Conclusion/Analyse |
SI... |
ALORS... |
DONC... |
| Je
ne rejette pas l'hypothèse nulle... |
P
> 0.05 % |
Il n'y a pas de différence significative entre
X1 et X2
|
X n'influence pas Y |
| Je
rejette l'hypothèse nulle... |
P <
0.05 % |
J'accepte l'hypothese alternative; il y a une
différence significative entre X1 et X2
|
X
influence Y |
|
|
|
|
| |
 |
|
|
FISHER, R.A. (1922). On the interpretation of khi-2 from
contingency tables, and the calculation of P. Journal
of the Royal Statistical Society, 85, 87–94. |
SELLKE, T., BAYARRI, M.J. & BERGER, J.O. (2001).
Calibration of p values for testing precise null
hypotheses. American Statistician, 55 (1),
62-71. [PDF] |
|
POOLE, C. (2001). P-values or narrow confidence intervals
: which are more durable ? Epidemiology, 12, 291-294. |
|
BROWNER, W.S. (2003). The reliability of P values. Science,
301, 167-168. |
GIBBONS, J. & PRATT, J. (1975). P values :
Interpretation and methodology. The American
Statistician, 29, 20–25. |
SENN, S. (2001). Two cheers for P-values ? Journal of
Epidemiology & Biostatistics, 6, 193-204. |
RYAN, T.A. (1985). Ensemble-adjusted p values : How are
they to be weighted ? Psychological Bulletin, 97, 521-526. |
GOODMAN, S. (2003). Commentary : the p-value, devalued.
International Journal of Epidemiology, 32, 699-702. |
GARDNER, M.J. & ALTMAN, D.G. (1986). Confidence
intervals rather than P values : Estimation rather than
hypothesis testing. British Medical Journal, 292,
746-750. [PDF] |
MORAN, J.L. & SOLOMON, P.J. (2004). A farewell to
P-values ? Critical Care & Resuscitation, 6 (2),
130-137. [PDF] |
BERGER, J.O. & SELLKE, T. (1987). Testing a point null
hypothesis : The irreconcilability of p values and
evidence. Journal of the American Statistical
Association, 82, 112-122. [PDF] |
IACOBUCCI, D. (2005). On p-values. Journal of
Consumer Psychology, 32 (1), 6-11. [PDF] |
WRIGHT, P.S. (1992). Adjusted p- values to simultaneous
inference. Biometrics, 48, 1005-111. [PDF] |
THOMPSON, B. (2006). Critique of p-values. International
Statistical Review, 74 (1), 1-14. |
LOFTUS, G.R. (1993). A picture is worth a thousand p
values. On the irrelevance of hypothesis testing in the
microcomputer age. Behavioral Research Methods,
Instruments & Computers, 25, 250-256. |
HOEKSTRA, R., FINCH, S., KIERS, H.A.L. & JOHNSON, A.
(2006). Probability as certainty : Dichotomous thinking
and the misuse of p-values. Psychonomic Bulletin
& Review, 13, 1033-1037. |
BELHOUSE, D.R. (1993). P values, hypothesis tests, and
likelihood. American Journal of Epidemiology, 137,
497-498. |
CUMMING, G. (2006). Understanding replication : Confidence
intervals, p values, and what's likely to happen next
time. Proceedings of ICOTS-7, 1-6.
[PDF] |
 |
COHEN, J. (1994). The earth is round (p < .05). American
Psychologist, 49, 997-1003. [PDF] |
WAGENMAKERS, E.-J. (2007). A practical solution to the
pervasive prob- lem of p values. Psychonomic Bulletin
& Review, 14, 779-804. |
ONGHENA P. & MAY, R.B. (1995). Pitfalls in computing
and interpreting randomization test p values : A
commentary on Chen and Dunlap. Behavior Research
Methods, Instruments & Computers, 27, 408-411. |
CUMMING, G. (2008). Replication and P intervals : P values
predict the future only vaguely, but confidence intervals
do much better. Perspectives on Psychological Science,
3, (4), 286-300. [PDF] |
SCHERVISH, M. (1996). P values : What they are and what
they are not. The American Statistician, 50, 203-206. |
BOURQUE, J., BLAIS, J. & LAROSE, F. (2009).
L'interprétation des tests d'hypothèses : p, la taille de
l'effet et la puissance. Revue des Sciences de
l'Éducation, 35 (1), 211-226. [PDF] |
GREENWALD, A.G., GONZALEZ, R., HARRIS, R.J. & GUTHRIE,
D.G. (1996). Effect sizes and p-values : What should be
reported and what should be replicated ?
Psychophsysiology, 33, 175-183. [PDF] |
FIDLER, F. & LOFTUS, G.R. (2009). Why figures with
error bars should replace p values : Some conceptual
arguments and empirical demonstrations. Zeitschrift
Für Psychologie/Journal of Psychology, 217, 27-37. |
FEINSTEIN, A.R. (1998). P-values and confidence intervals
: two sides of the same unsatisfactory coin. Journal
of Clinical Epidemiology, 51, 355-360. |
CUMMING, G. (2010). p values versus confidence intervals
as warrants for conclusions that results will replicate.
In B. Thompson & R. Subotnik (Eds.), Methodologies
for conducting research on giftedness (pp. 53-69).
Washington, DC : APA Books. |
GOODMAN, S. (1999). Toward evidence-based medical
statistics. 1: The P-value fallacy. Annals of
Internal Medicine, 130, 995-1004. |
BOOS, D.D. & STEFANSKI, L.A. (2011). P-Value precision
and reproducibility. The American Statistician, 65
(4), 213-221. |
DONAHUE, R. (1999). A note on information seldom reported
via the P value. The American Statistician, 53, 303-306. |
HUBBARD, R. (2011). The widespread misinterpretation of
p-values as error probabilities. Journal of Applied
Statistics, 38 (11), 2617-2626. |
SACORWITZ, H. & SAMUEL-CAHN, E. (1999). P values as
random variables. The American Statistician, 53,
326-331. |
LAI, J., FIDLER, F. & CUMMING, G. (2012). Subjective p
intervals : Researchers underestimate the variability of p
values over replication. Methodology : European
Journal of Research Methods for the Behavioral &
Social Sciences, 8, 51-62. |
|
WASSERSTEIN, R.L. & LAZAR, N.A. (2015). The ASA's
statement on p-values : context, process, and purpose. American
Staistic, 70, 129-133. |
 |
| |
Voir aussi Intervalle de confiance, Seuil de signification, Hypothèse nulle et Test
d'hypothèse |
 |
 |
|
Valeur
de vérité :
|
Valeur
Eigen : = valeur propre
d'un vecteur.
Eigen values, eigen vector.
|
|
WET, D. & MANDL, F. (1950). On the asymptotic
distribution of eigenvalue. Proceedings of the Royal
Society of London, Series A, Mathematical & Physical
Sciences, 200 (1063), 572-580. |
GARNER, M. & ENGELHARD, G. (2002). An eigenvector
method for estimating item parameters of the dichotomous
and polytomous Rasch models. Journal of Applied
Measurement, 3 (2), 107-128 |
 |
 |
|
|
Valeur heuristique : En science,
on utilise ce mot pour qualifier une théorie
féconde, qui permet de découvrir de nouveaux faits ou de formuler
de nouvelles explications.
Se dit également d'une hypothèse
qui donne lieu à de nouvelles recherches. Valeur heuristique et
heuristique. =
fécondité.
Heuristic value.
| |
|
ZENTALL, T.R. (2012). The heuristic value of cognitive
terminology.The Psychological
Record, 62, 321–336. |
 |
 |
|
Valeur immobillière : Type de titres financiers, qui peut être
soit un titre de créance (obligation),
soit un titre de propriété (action).
|
|
|
Valeur immobillière : Type de titres financiers, qui peut être
soit un titre de créance (obligation),
soit un titre de propriété (action).
|
Valeur mobilière :
|
|
|
Valeur
professionnelle :
|
|
PANSU, P. (1997). Norme d'internalité et appréciation de
la valeur professionnelle : l'effet des explications
internes dans l'appréciation du personnel. Le Travail
Humain, 60 (2) 205-222. |
 |
 |
|
|
Valeur religieuse :
Religious value.
|
|
MASLOW, A. (1964). Religions, values, and peak
experiences. Kappa Delta Pi and Publications. |
BERGIN, A.E. (1980). Psychotherapy and religious values. Journal
of Consulting & Clinical Psychology, 48,
95-105. [PDF] |
SAROGLOU, V., DELPIERRE, V. & DERNELLE, R. (2004).
Values and religiosity : A meta-analysis of studies using
Schwartz's model. Personality & Individual
Differences, 37, 721-734. |
FEATHER, N.T. (2005). Values, religion and motivation. In
Advances in motivation and achievement : Motivation
and religion. (pp. 35-73). Oxford, UK : JAI Press. |
HEAVEN, P.C.L. & CIARROCHI, J. (2007). Personality and
religious values among adolescents : A three-wave
longitudinal analysis. British Journal of Psychology,
98, 681-694. [PDF] |
 |
 |
|
|
|
|
Valeur scolaire : Ensemble des valeurs et des habiletés promues par les autorités scolaires/ministère de l'Éducation, corps enseignant,
qui assurent à l'école un
haut niveau de qualité.
|
Valeur sélective : Survie
x Fécondité.
=
valeur de survie, valeur adaptative.
Fitness, genotypic fitness.
| |
|
CARACO, T. (1988). Fitness, currencies, and models :
commentary. Behavioral & Brain Sciences 11, 1-33. |
BERAN, M.J., RATLIFF, C.L. & EVANS, T.A. (2009).
Natural choice in chimpanzees (Pan troglodytes) :
Perceptual and temporal effects on selective value.
Learning & Motivation, 40 (2), 186-196. [PDF] |
SILK, J.B. (2007). The adaptative value of sociality in
mammalian groups. Philosophical Transactions of the
Royal Society, 362, 539-559. [PDF] |
ELLEGREN, H. & SHELDON, B.C. (2008). Genetic basis of
fitness differences in natural populations. Nature
Reviews, 452, doi:10.1038/nature06737
[PDF] |
|
 |
Voir aussi Survie
et Fécondité |
 |
|
|
|
|
|
Validation méthodologique : Procédure méthodologique
visant à évaluer la validité d'un outil,
d'un test, d'une technique de mesure, d'un questionnaire, etc.
Validation.
| |
|
VAN ZELST, R.H. (1952). Validation of a sociometric
regrouping procedure. Journal of Abnormal Social
Psychology, 47, 299-301. |
PAVOT, W.G., DIENER, E., COLVIN, C.R. & SANDVIK, E.
(1991). Further validation of the Satisfaction with Life
Scale : Evidence for the cross-method convergence of
well-being measures. Journal of Personality
Assessment, 57, 149-161. |
|
STERNBERG, R.J., FERRARI, M., CLINKENBEARD, P.R. &
GRIGORENKO, E.L. (1996). Identification, instruction, and
assessment of gifted children : A construct validation of
a triarchic model. Gifted Child Quarterly, 40, 129-137. |
MEEHL, P.E. (1959). Structured and projective tests : Some
common problems in validation. Journal of Projective
Techniques, 23, 268-272. |
IJZENDOORN, M.H. & SCHUENGEL, C. (1996). The
measurement of dissociation in normal and clinical
populations : meta-analytic validation of the dissociative
experiences scale (DES). Clinical Psychology Review,
16 (5), 365-382. [PDF] |
CAMPBELL, D.T. & FISKE, D.W. (1959). Convergent and
discriminant validation by the multitrait-multimethod
matrix. Psychological Bulletin, 56, 81-105. |
MARTIN, N.K., YIN, Z. & BALDWIN, B. (1998). Construct
validation of the attitudes and beliefs on classroom
control inventory. Journal of Classroom Interaction,
33 (2), 6-15. |
VALLERAND, R.J. et HALLIWELL, W.R. (1983). Vers une
méthodologie de validation transculturelle de
questionnaires psychologiques : Implications pour la
psychologie du sport. Journal Canadien des Sciences
Appliquées au Sport, 8, 9-18. [PDF] |
GLASCOE, F.P. (1999). The validation and standardization
of Parents' Evaluations of Developmental Status. Diagnostique,
23, 185-203. |
WATSON, D., CLARK L.E. & TELLEGEN, A. (1988).
Development and validation of brief measures of positive
and negative affect : The PANAS scales. Journal of
Personality & Social Psychology, 54 (6),
1063-1070. |
FARIES, D.E., YALCIN, I., HARDER, D. & HEILIGENSTEIN,
J.H. (2001). Validation of the ADHD Rating Scale as a
clinician administered and scored instrument. Journal
of Attention Disorders, 5, 107-115.
[PDF] |
|
LEONG, I.Y., CHONG, M.S. & GIBSON, S.J. (2006). The
use of a self-reported pain measure, a nurse-reported pain
measure and the PAINAD in nursing home residents with
moderate and severe dementia : a validation study. Age
Ageing, 35,252-256. |
VALLERAND, R.J. (1989). Vers une méthodologie de
validation trans-culturelle de questionnaires
psychologiques : Implications pour la recherche en langue
française. Revue Canadienne de Psychologie, 30,
662-680. [PDF] |
TROTTIER, C., TRUDEL, P., MAGEAU, G. et HALLIWELL, W.R.
(2008). Validation de la version canadienne-française du
Life Orientation Test–Revised. Canadian Journal of
Behavioural Science, 40 (4), 238-243. [PDF] |
 |
|
 |
Voir aussi Méthodologique
et Validité |
 |
|
Validation
subjective : Tendance à percevoir des causes
entre les événements là où il n'y a que des coïncidences.
Validation subjective et effet
Barnum. = effet
personnel de validation.
|
Validité : Valide Qualifie toute chose qui est vrai (logique) ou exact (science), qui correspond à la réalité (en science) ou à ce qui est attendu (norme, critère, standard d'un domaine).
Validity.
|
|
|
Validité (Mesures/Évaluations) : Qualité d'un outil
de collecte de données (grille d'observation, d'analyse de
contenu, test
psychométrique, questionnaire,
appareils de mesures physiologiques, etc.) qui mesure
ce qu'il est censé mesurer. EX: Chez les
enfants, il est très difficile de distinguer les comportements
agressifs des comportements de jeu. Une grille d'observation sera
valide si elle permet à l'observateur de bien distinguer ces deux
phénomènes (jeu et agressivité) et si elle mesure toutes les
dimensions de ce phénomène (ou du moins celles que le chercheur
souhaite mesurer). Validité, précision
et fidélité
de la mesure/évaluation. =
validité de la mesure, validité d'un test. (
): Voir ci-dessous.
Validity of a measure.
|
THURSTONE, L.L. (1932). The reliability and validity
of tests. Ann Arbor, Michigan : Edwards Brothers. |
FORTH, A.E., BROWN, S.L., HART, S.D. & HARE, R.D.
(1996). The assessment of psychopathy in male and female
noncriminals : Reliability and validity. Personality
& Individual Differences, 20, 531-543. |
BYRD, E. (1946). A study of validity and constancy of
choices in a sociometric test. Sociometry, 9
(2-3), 21. |
WILLS, T.A. & CLEARY, S.D. (1997). The validity of
self-reports of smoking : analyses by race/ethnicity in a
school sample of urban adolescents. American Journal
of Public Health, 87, 56-61. [PDF] |
JENKINS, J.G. (1946). Validity for what ? Journal of
Consulting & Clinical Psychology, 10, 93-98. |
WILLNER, P. (1997). Validity, reliability and utility of
the chronic mild stress model of depression : a 10-year
review and evaluation. Psychopharmacology, 134, 319-329. |
ELLIS, A. (1946). The validity of personality
questionnaires. The Psychological Bulletin, 43,
385-440. |
WEST, S.G. & FINCH, J.F. (1997). Personality
measurement : Reliability and validity issues. In R.
Hogan, J. Johnson & S. Briggs (Eds), Handbook of
personality psychology (pp. 14-164). San Diego, CA
: Academic Press. |
LINDZEY, G. (1950). An experimental test of the validity
of Rosenzweig Picture-Frustration Study. Journal of
Personality, 18, (3), 315-320. |
DUFF, A. (1997). A note on the reliability and validity of
a 30-item version of Entwistle & Tait's Revised
Approaches to Studying Inventory. British Journal of
Educational Psychology, 67, 529-539. |
ANASTASI, A. (1950). The concept of validity in the
interpretation of test scores. Educational &
Psychological Measurement, 10, 67-78. |
|
CURETON, E.E. (1951). Validity. In E.F. Lindquist (Ed.), Educational
measurement (pp. 621-694). Washington, DC :
American Council on Education. |
|
LINDZEY, G. & GOLDWYN, R.M. (1954). Validity of the
Rosenzweig Picture-Frustration Study. Journal of
Personality, 22 (4), 519-547. |
NOH, S., KASPAR, V. & XINYIN, C. (1998). Measuring
depression in Korean immigrants : Assessing validity of
the translated Korean Version of CES-D Scale. Cross-Cultural
Research, 32 (4), 358-377. |
ROZEBOOM, W.W. & JONES, L.V. (1956). The validity of
the successive intervals method of psychometric scaling. Psychometrika,
21 (2), 165-183.
[PDF] |
|
MEEHL, P.E. (1959). Structured and projective tests : Some
common problems in validation. Journal of Projective
Techniques, 23, 268-272. |
|
LEVENTHAL, H. & NILES, P. (1964). A field experiment
on fear arousal with data on the validity of questionnaire
measures. Journal of Personality, 32, 459-479. |
|
DAWES, R.M. & MEEHL, P.E. (1966). Mixed group
validation : A method for determining the validity of
diagnostic signs without using criterion groups. Psychological
Bulletin, 66, 63-67. |
SCHUBERT, E. (1999). Measuring emotion continuously :
validity and reliability of the two-dimensional
emotion-space. Australian Journal of Psychology, 51,
154-165. |
MEDNICK, M.T. (1969). Ammons quick test validity among
randomly selected referrals. Psychological Reports,
24 (2), 388-390. |
GLASCOE, F.P. (1999). The validation and standardization
of Parents' Evaluations of Developmental Status. Diagnostique,
23, 185-203. |
CRONBACH, L.J. (1971). Test validation. In R.L. Thorndike
(Ed.), Educational measurement. (pp. 443-507). Washington,
DC : American Council on Education. |
|
 |
LENTZ, R.J., PAUL, G.L. & CALHOUN, J.F. (1971).
Reliability and validity of three measures of functioning
with "hard-core" chronic mental patients. Journal of
Abnormal Psychology, 78 (1), 69–76. |
BREWER, M. (2000). Research design and issues of validity.
In H. Reis & C. Judd (Eds.), Handbook of research
methods in social and personality psychology.
Cambridge : Cambridge University Press. |
ALTHAUSER, R.P. (1974). Inferring validity from a
multitrait-multimethod matrix : Another assessment. In
H.L. Costner (Ed.), Sociological methodology (pp.
105-127). San Francisco : Jossey-Bass. |
KULIK, J.A. (2001). Student ratings : validity, utility,
and controversy. New Directions for Institutional
Research, 109, 9-25. [PDF] |
HARPER, F. (1975). The validity of some alternative
measurements of achievement motivation. Educational
& Psychological Measurement, 35, 905–909. |
LU, N.T., TAYLOR, B.G. & RILEY, J.K. (2001). The
validity of adult arrestee self-reports of crack cocaine
use. American Journal of Drug Alcohol Abuse, 27 (3),
399-419. |
JOHNSTON, A., DELUCA, D., MURTAUGH, K. & DIENER, E.
(1977). Validation of a laboratory play measure of child
aggression. Child Development, 48, 324-327. |
FRIMAN, P.C., ALLEN, K.D., KERWIN, M.L. & LARZELERE,
R. (2000). Questionable validity, not vitality.
American Psychologist, 55 (2), 274-275. |
YOUNG, R.C., BIGGS, J.T., ZIEGLER, V.E. & MEYER, D.A.
(1978). A rating scale for mania : reliability,
validity and sensitivity.British
Journal of Psychiatry, 133(11), 429-435. |
|
TRAUGOTT, M.W. & KATOSH, J.P. (1979). Response
validity in surveys of voting behavior. The Public
Opinion Quarterly, 43 (3), 359-377. |
STEUBING, K., FLETCHER, J., LEDOUX J., LYON, G.R.,
SHAYWITZ, S.E. & SHAYWITZ, B.A. (2002). Validity of
IQ-discrepancy classifications of reading disabilities.
American Educational Research Journal, 39, 469-518.
|
CARMINES, E.G. & ZELLER, R.A. (1979). Reliability
and validity. Beverly Hills : Sage. |
STINCHFIELD, R. (2002). Reliability, validity, and
classification accuracy of the South Oaks Gambling Screen
(SOGS). Addictive Behavior, 27, 1-19. |
SCHRIESHEIM, C.A. & DENISI, A.S. (1980). Item
presentation as an influence on questionnaire validity : A
field experiment. Educational & Psychological
Measurement, 40 (1), 175-182. |
STONE-ROMERO, E.F. (2002). The relative validity and
usefulness of various empirical research designs. In S.G.
Rogelberg (Ed.), Handbook of research methods in
industrial and organizational psychology (pp.
77-98). Malden, MA : Blackwell. |
HOUSSE, E. (1980). Evaluating with validity.
Beverly Hills, CA : Sage. |
KLONSKY, E.D. (2002). Valid inferences from invalid tests
? American Psychologist, 57, 990. [PDF] |
VAN HASSELT, V.B., HERSEN, M. & BELLACK, A.S. (1981).
The validity of role play tests for assessing social
skills in children. The Behavior Therapy, 12,
202-216. |
|
EBEL, R.L. (1983). The practical validation of tests of
ability. Educational Measurement : Issues &
Practice, 2, 7-10. |
BJELLAND, I., DAHL, A.A., HAUG, T.T. & NECKELMAN, D.
(2002). The validity of the Hospital Anxiety and
Depression Scale. An updated literature review.
Journal of Psychosomatic Research, 52, 69-77. |
NEEDLE, R., McCUBBIN, H.I., LORENCE, J. & HOCHHAUSER,
M. (1983). Reliability and validity of adolescent
self-reported drug use in a family based study : A
methodological report. International Journal of
Addictions, 18, 901-912. |
STINCHFIELD, R. (2003). Reliability, validity, and
classification accuracy of a measure of DSM-IV diagnostic
criteria for pathological gambling. American
Psychiatry, 160, 180-182. [PDF] |
HUNTER, J.E. & HUNTER, R.F. (1984). Validity and
utility of alternative predictors of job performance. Psychological
Bulletin, 76 (1), 72-93. |
STANDAGE, M., DUDA, J.J., TREASURE, D.C. & PRUSAK,
K.A. (2003). Validity, reliability, and invariance of the
situational motivation scale (SIMS) across diverse
physical activity contexts. Journal of Sport &
Exercice Psychology, 25, 19-43. |
 |
GROSSE, M.E. & WRIGHT, B.D. (1985). Validity and
reliability of true-false tests. Educational &
Psychological Measurement, 45 (1), 1–13. |
|
BERNSTEIN, E. & PUTNAM, F. (1986). Development,
reliability, and validity of a dissociation scale.
Journal of Nervous & Mental Disease, 174,
727-735. |
SIRECI, S.G. (2003). Validity. Encyclopedia of
psychological assessment (pp. 1067-1069). London :
Sage. |
SHADISH, W.R. (1986). The validity of a measure of
intimate behavior. Small Group Behavior, 17,
113-120. |
SAUNDERS, S.M. & WOJCIK, J.V. (2004). The reliability
and validity of a brief self-report questionnaire to
screen for mental health problems : The Health Dynamics
Inventory. Journal of Clinical Psychology in Medical
Settings, 11, 233-241. |
GOLDBERG, L.R. (1986). The validity of rating procedures
to index the hierarchical level of categories. Journal
of Memory & Language, 25, 323-347. |
HALADYNA, T.M. & KRAMER, G.A. (2004). The validity of
subscores for a credentialing test. Evaluation &
the Health. 27 (4), 349-368. |
ANASTASI, A. (1986). Evolving concepts of test
validations. Annual Review of Psychology, 37,
1-15. [PDF] |
HACK, M., TAYLOR, H.G., DROTAR, D., SCHLUCHTER, M.,
CARTAR, L., WILSON-COSTELLO, D., KLEI, N., FRIEDMAN, H.,
MERCURI-MINICH, N. & MORROW, M. (2005). Poor
predictive validity of the Bayley Scales of Infant
Development for cognitive function of extremely low birth
weight children at school age. Pediatrics, 116
(2), 333-341.
[PDF] |
BELSON, W.A. (1986). Validity in survey research. Brookvield,
VT : Gower. |
WIERZBICKI, M. (2005). Reliability and validity of the
Wender Utah Rating Scale for college students. Psychoogical
Report, 96 (3), 833-839. [PDF] |
NEINMEYER, R.A. & SHADISH, W.R. (1987). Optimizing
scientific validity : Toward an interdisciplinary science
studies. Knowledge : Creation, Diffusion,
Utilization, 8, 463-485. |
SIRECI, S.G. (2005). Validity theory and applications. In
Encyclopedia of statistics in the behavioral sciences
(Vol. 4, pp. 2103-2107). West Sussex, UK : John Wiley
& Sons. |
BROOKS-GUNN, J., WARREN, M.P., ROSSO, J. & GARGIULO,
J. (1987). Validity of self-report measures of girls'
pubertal status. Child Development, 58, 829-841. |
|
YOPP, H.K. (1988). The validity and reliability of
phonemic awareness tests. Reading Research Quarterly,
23, 159-177. |
|
HONTS, C.R. & RASKIN, D.C. (1988). A field study of
the validity of the directed lie control question. Journal
of Police Science & Administration, 16, 56-61. |
STORCH, E.A., MURPHY, T.K., GEFFKEN, G.R., SAJID, M.,
ALLEN P., ROBERTI, J.W. & GOODMAN, W.K. (2005).
Reliability and validity of the Yale Global Tic Severity
Scale. Psychological Assessment, 17 (4),
486-491. |
WAINER, H. & BRAUN, H.I. (1988). Test validity.
Hillsdale, NJ : Lawrence Erlbaum. |
WALLSTON, K.A. (2005). The validity of the
Multidimensional Health Locus of Control Scales. Journal
of Health Psychology, 10, 623-631. |
NORRIS, S.P. (1989). Can we test validly for critical
thinking ? Educational Researcher, 18 (9),
21-26. [PDF] |
ROUSE, H.L. & FANTUZZO, J.W. (2006). Validity of the
dynamic indicators for Basic Early Literacy Skills as an
indicator of early literacy for urban kindergarten
children. School Psychology Review, 35 (3),
341-355. [PDF] |
McCONAGHY, N. (1989). Validity and ethics of penile
circumference measures of sexual arousal : A critical
review. Archives of Sexual Behavior, 18,
357-369. |
DAIGLE, M., LABELLE, R. & CÔTÉ, G. (2006). Further
evidence on the validity of the Suicide Risk Assessment
Scale for prisoners. International Journal of Law
& Psychiatry, 29, 343-354. |
FRANZEN, M.D. (1989). Reliability and validity in
neuropsychological assessment. New York : Plenum. |
SIRECI, S.G. & PARKER, P. (2006). Validity on trial :
Psychometric and legal conceptualizations of validity. Educational
Measurement : Issues & Practice, 25 (3),
27-34. |
 |
RUSSO, J., JOHNSON, E. & STEPHENS, D. (1989). The
validity of verbal protocols. Memory & Cognition,
17 (6), 759-769. |
|
BARNETT, J.L. & HENSWORTH, P.H. (1990). The validity
of physiological and behavioural measures of animal
welfare. Applied Animal Behaviour Science, 25
(1-2), 177-187. |
ROSAY, A.B., SKROBAN, S. & HERZ, D.C. (2007).
Differences in the validity of self-reported drug use
across five factors : Gender, race, age, type of drug, and
offense seriousness. Journal of Quantitative
Criminology, 23, 41-58. [PDF] |
MOORE, S. & PERKINS, W. (1990). Validity and
reliability of judgements of authentic and simulated
stuttering. Journal of Speech & Hearing
Disorders, 55, 383-391. |
|
VAN DER VOORT, T.H.A. & VOOIJS, M.W. (1990). Validity
of children’s direct estimates of time spent viewing. Journal
of Broadcasting & Electronic Media 34 (1),
93-99. |
FELDON, D.F. & YATES, K.A. (2007). Increasing validity
in the evaluation of new distance learning technologies.
Computers in Human Behavior, 23, 2355-2366. |
WINTERS, K.C., STINCHFIELD, R.D., HENLEY, G.A. &
SCHAWRTZ, R.H. (1990). Validity of adolescent self-report
of alcohol and other drug involvement. International
Journal of the Addiction, 56, 1379-1395. |
|
RANKIN, H. (1990). Validity of self-reports in clinical
settings. Behavioral Assessment, 12 (1),
107-116. |
SARTORI, R. & PASINI, M. (2007). Quality and quantity
in test validity : how can we be sure that psychological
tests measure what they have to ? Quality &
Quantity, 41, 359-374. |
TREVISAN, M.S., SAX, G. & MICHAEL, W.B. (1991). The
effects of the number of options per item and student
ability on test validity and reliability. Educational
& Psychological Measurement, 51 (4), 829-837. |
KESSLER, R.C., ADLER, L., GRUBER, M.J., SARAWATE, C.A,
SPENCER, T. & VAN BRUNT, D.L. (2007). Validity of the
World Health Organization Adult ADHD Self-Report Scale
(ASRS) Screener in a representative sample of health plan
members. International Journal of Methods in
Psychiatric Research, 16 (2), 52-65. [PDF] |
GORDON, M.J. (1991). A review of the validity and accuracy
of self-assessments in health professions training. Academic
Medicine, 66, 762-769. |
SUNO, K., KAWAKAMI, N., INOUE, A. & ABE, K. (2010).
Measuring workplace bullying : reliability and validity of
the Japanese version of the negative acts questionnaire. Journal
of Occupational Health, 52 (4), 216-226.
[PDF] |
BATSON, C.D. & SCHOENRADE, P. (1991). Measuring
religion as quest : Validity concerns. Journal for
the Scientific Study of Religion, 30 (4), 416-429.
|
HOLBROOK, A.L. & KROSNICK, J.A. (2010). Measuring
voter turnout by using the randomized response technique :
Evidence calling into question the method's validity. Public
Opinion Quarterly, 74, 328-343. |
MOSS, P.A. (1992). Shifting conceptions of validity in
educational measurement : Implications for performance
assessment. Review of Educational Research, 62 (3),
229-258. |
YEAGER, D.S. & KROSNICK, J.A. (2011). Response to the
validity of self-reported nicotine product use in the
2001- 2008 National Health and Nutrition Examination
Survey. Medical Care, 49 (3), 332. |
O'TOOLE, B.I. & STANKOV, L. (1992). Ultimate validity
of psychological tests. Personality & individual
differences, 13 (6), 699-716. [PDF] |
RAMO, D.E., HALL, S.M. & PROCHASKA, J.J. (2011).
Reliability and validity of self-reported smoking in an
anonymous online survey with young adults. Health
Psychology, 30 (6), 693-701. [PDF] |
HIMES, J.H. & STORY, M. (1992). Validity of
self-reported weight and stature of American Indian youth.
American Indian youth. Journal of Adolescent Health,
13, 118-120. |
PORTER, S.R. (2011). Do college student surveys have any
validity ? The Review of Higher Education, 35 (1),
45-76. [PDF] |
ARAM, D.M., MORISS, R. & HALL, N.E. (1993). The
validity of discrepancy criteria for identifying children
with developmental language disorders. Journal of
learning disabilities, 25 (9), 549-554. |
WANG-FLAHIVE, M.-H., CHUANG, Y.-C. & LI, C.M. (2011).
Reliability and validity evidence of the Chinese
Piers-Harris children's self-concept scale scores among
Taiwanese children. Journal of Psychoeducational
Assessment, 29 (3), 273-285. |
SCHLOSSBERGER, N.M., TURNER, R.A. & IRWIN, C.E.
(1992). Validity of self-report of pubertal maturation in
early adolescents. Journal of Adolescent Health, 13
(2), 109-113. |
UTTL, B. & KIBREAB, M. (2011). Self-report measures of
prospective memory are reliable but not valid. Canadian
Journal of Experimental Psychology, 65 (1), 57-68.
[PDF] |
WIGGINS, G. (1993). Assessment : Authenticity, context,
and validity. Phi Delta Kappan, 75, 200-210. |
PORTER, S.R. (2011). Do college student surveys have any
validity ? The Review of Higher Education, 35 (1),
45-76. [PDF] |
MESSICK, S. (1993). Validity. In R.L. Linn (Ed), Educational
measurement (pp. 13-104). Phoenix : American
Council on Education and Oryx Press. |
ZHAO, J. & GALLANT, D.J. (2012). Student evaluation of
instruction in higher education : Exploring issues of
validity and reliability. Assessment & Evaluation in
Higher Education, 37, 227-235. |
BAGBY, R.M., TAYLOR, G.J. & PARKER, J.D.A. (1994). The
twenty-item Toronto Alexithymia Scale : II. Convergent
discriminant, and concurrent validity. Journal of
Psychosomatic Research, 38, 33-40. |
BOBANA, M., MALOJCIC, B., MIMICA, N., VUKOVIC, S., ZRILIC,
I., HOF, P.R. & SIMIC, G. (2012). The reliability and
validity of the Mini-Mental State Examination in the
erlderly Croatian population. Dementia &
Geriatric Cognitive Disorders, 33, 385-392. [PDF] |
MESSICK, S. (1994). Foundations of validity : Meaning and
consequences in psychological assessment. European
Journal of Psychological Assessment, 10 (1), 1-9. |
FIEDLER, K., KUTZNER, F. & KRUEGER, J.I. (2012). The
long way from a-error to validity proper : Problems with a
short-sighted false-positive debate. Perspectives on
Psychological Science, 7, 661-669. [PDF] |
HARRISON, L.D. (1995), The validity of self-reported data
on drug use. Journal of Drug Issues, 25, 91-111.
[PDF] |
LAKES, K.D., SWANSON, J.M. & RIGGS, M. (2012). The
reliability and validity of the English and Spanish
Strengths and Weaknesses of ADHD and Normal behavior
rating scales in a preschool sample : continuum measures
of hyperactivity and inattention. Journal of
Attention Disorders, 16 (6), 510-516. [PDF] |
MESSICK, S. (1995). Validity of psychological assessment
validation of inferences from Persons' responses and
performances as scientific inquiry into score meaning. American
Psychologist, 50 (9), 741-749. [PDF] |
IWATA, B.A., DELEON, I.G. & ROSCOE, E. (2013).
Reliability and validity of the functional analysis
screening tool. Journal of Applied Behavior Analysis,
46 (1), 271-284. [PDF] |
 |
| |
Voir aussi Fidélité
de la mesure, Outil
de collecte de données et Validité
d'une recherche |
|
 |
|
Validité (Recherche) : Échelle ou indice
de qualité qui permet d'évaluer
la valeur ou la qualité d'une recherche
scientifique. Elle comprend 4 éléments : la validité
interne, la validité externe,
la validité écologique et le
degré d'indépendance de la recherche.
Cette validité est menacée par les biais méthodologiques inhérent à toute recheche. =
validité globale, validité générale, valeur des connaissances
produites.
Validity.
| |
 |
|
CAMPBELL, D.T. (1957). Factors relevant to validity of
experiments in social settings. Psychological
Bulletin, 54, 297-312. [PDF] |
BROOKS-GUNN, J., WARREN, M.P., ROSSO, J. & GARGIULO,
J. (1987). Validity of self-report measures of girls'
pubertal status. Child Development, 58 (3),
829-841. |
GHISELLI, E.E. (1963). Moderating effects and differential
reliability and validity. Journal of Applied
Psychology, 47 (2), 81-86. |
ROBINSON, C.A. & THORNE, S.E. (1988). Dilemmas of
ethics and validity in qualitative nursing research. The
Canadian Journal of Nursing Research, 20 (1),
65-76. |
CATTELL, R.B. (1964). Validity and reliability : A
proposed more basic set of concepts. Journal of
Educational Psychology, 55, 1-22. |
FUCHS, L.S., FUCHS, D. & MAXWELL, L. (1988). The
validity of informal reading comprehension measures. Remedial
& Special Education, 9 (2), 20-28. |
|
ROBERT, M. (1988). Validité, variable et contrôle. Dans M.
Robert (Dir.), Fondements et étapes de la recherche
scientifique en psychologie (p. 1-34). St-Hyacinthe
: Edisem. |
DAWES, R.M. & MEEHL, P.E. (1966). Mixed group
validation : A method for determining the validity of
diagnostic signs without using criterion groups. Psychological
Bulletin, 66, 63-67. |
DOHRENWEND, B.P. (1989). The problem of validity in field
studies of psychological disorders revisited. In L.N.
Robins & J.E. Barrett (Eds.), The validity of
psychiatric diagnosis (pp. 35-53). New York : Raven
Press. |
HEISE, D.R. & BOHRNSTEDT, G. (1970). Validity,
invalidity, and reliability. In E. Borgatta & G.
Bohrnstedt (Eds.), Sociological methodology (pp.
104-129). San Francisco : Jossey-Bass. |
SCHLOSSBERGER, N.M., TURNER, R.A. & IRWIN, C.E.
(1992). Validity of self-report of pubertal maturation in
early adolescents. Journal of Adolescent Health, 13
(2), 109-113. |
KRUGLANSKI, A.W. (1975). Context, meaning and the validity
of results in psychological research. British Journal
of Psychology, 66 (3), 373-382. |
KVALE, S. (1995). The social construction of validity.
Qualitative Inquiry, 1 (1), 19-40. |
CONE, J.D. (1977). The relevance of reliability and
validity for behavioral assessment. Behavior Therapy,
8, 411-426. |
CHOW, S.L. (1996). Statistical significance :
rationale, validity and utility. London, United
Kingdom : Sage. |
WOLF, M.M. (1978). Social validity : The case for
subjective measurement, or how applied behavior analysis
is finding its heart. Journal of Applied Behavior
Analysis, 11, 203-214. [PDF] |
WILSON, T.D., LAFLEUR, S.J. & ANDESON, D.E. (1996).
The validity and consequence s of verbal reports about
attitudes. In N. Schwarz & S. Sudman (Eds.), Answering
questions : Methodology for determining cognitive and
communicative processes in survey research (pp.
91-114). San Francisco : Jossey-Bass. |
CARMINES, E.G. & ZELLER, R.A. (1979). Reliability
and validity assessment. Beverly Hills : Sage. |
GREENWALD, A.G. (1997). Validity concerns and usefulness
of student ratings of instruction. American
Psychologist, 52, 1182-1186. [PDF] |
BRAUN, C.M. & BONTA, J.L. (1979). Cross-cultural
validity, reliability, and stimulus characteristics of the
Luscher Color Test. Journal of Personality Assessment,
43, 459-460. |
QUITKIN, F.M., RABKIN, J.G., GERALD, J., DAVIS, J. &
KLEIN, D.F. (2000). Validity of clinical trials of
antidepressants. American Journal of Psychiatry, 157,
327-337. [PDF] |
COOK, T.D. & CAMPBELL, D.T. (1979). Quasi-experimentation
: Designs and analysis issues for field settings. Boston
: Hougton Mifflin Company. |
BREWER, M. (2000). Research design and issues of validity.
In H. Reis & C. Judd (Eds.), Handbook of research
methods in social and personality psychology.
Cambridge : Cambridge University Press. |
 |
LECOMPTE, M.D. & GOETZ, J.P. (1982). Problems of
reliability and validity in educational research.
Review of Educational Research, 52 (2), 31-60. [PDF] |
CRESWELL, J.W. & MILLER, D.L. (2000). Determining
validity in qualitative inquiry. Theory into
Practice, 39 (3), 124-131. |
SMITH, T.F.M. (1983). On the validity of inferences from
non-random samples. Journal of the Royal Statistical
Society, 146, 394-403. |
FRIMAN, P.C., ALLEN, K.D., KERWIN, M.L. & LARZELERE,
R. (2000). Questionable validity, not vitality.
American Psychologist, 55 (2), 274-275. |
NEEDLE, R., McCUBBIN, H.I., LORENCE, J. & HOCHHAUSER,
M. (1983). Reliability and validity of adolescent
self-reported drug use in a family based study : A
methodological report. International Journal of
Addictions, 18, 901-912. |
MILLER, N., PEDERSEN, W.C. & POOLOCK, V.E. (2000).
Discriminative validity. In L. Bickman (Ed.), Donald
Campbell's legacy : Validity and social experimentation
(pp. 65-99). Thousand Oaks, CA : Sage. [PDF] |
|
WHITTEMORE, R., CHASE, S.K. & MANDLE, C.L. (2001).
Validity in qualitative research. Qualitative Health
Research, 11, 522-537. |
KIRK, J. & MILLER, M. (1986). Reliability and
validity in qualitative research. London : Sage. |
SMITH, J.A. (2003). Validity and qualitative psychology.
Dans J.A. Smith (Ed.), Qualitative psychology : A
practical guide to research methods (p. 232-235).
London : Sage. |
KERLINGER, F.N. (1986). Foundations of behavioral
research. New York : Holt, Rinehart & Winston. |
LEIGHTON, J.P. (2008). Validity. In N.J. Salkind (Ed.), Encyclopedia
of educational psychology (Vol. 2, pp. 995-1000).
Thousand Oakes, CA : Sage. |
 |
| |
Voir aussi Validité d'une
mesure et Outil de
collecte de données |
|
 |
|
|
Validité
clinique : Forme de validité
qui renvoie à la correspondance plus ou moins étroite entre la théorie (ce qu"il faut faire) et la
pratique (ce qui est fait).
Clinical validity.
|
|
DEFIFE, J. A., HAGGERTY, G., SMITH, S. W., BETANCOURT, L.,
AHMED, Z. & DITKOWSKY, K. (2015). Clinical validity of
prototype personality disorder ratings in adolescents. Journal
of Personality Assessment, 97 (3), 271-277. |
 |
 |
|
Validité concurrente : En psychométrie,
évaluation de la qualité d'un nouvel outil
de collecte de données, par comparaison avec les outils
déjà validés.
Concurrent validity, comparative
validity.
|
|
GRANT, A. (1938). The comparative validity of the
Metropolitan readiness tests and the Pintner-Cunningham
primary mental test. Elementary School Journal, 38,
599–605. |
BOGGS, S.R., EYBERG, S.M. & REYNOLDS, L. (1990).
Concurrent validity of the Eyberg Child Behavior
Inventory. Journal of Clinical Child Psychology, 19,
75-78. [PDF] |
THYER, B.A. & PAPSDORF, J.D. (1981). Concurrent
validity of the Rational Behavior Inventory. Psychological
Reports 49, 255-258. |
UMPRHESS, V.J., LAMBERT, M.J., SMART, D.W. & BARLOW,
S.H. (1997). Concurrent and construct validity of the
outcome questionnaire. Journal of Psychoeducational
Assessment, 15, 40-55. |
WILSON, F.R. & COOK, E.P. (1984). Concurrent validity
of four androgyny instruments. Sex Roles, 11,
813-837. |
HOLT, C.L. (1998). Assessing the current validity of the
Bem Sex-Role Inventory. Sex Roles, 39 (11/12), [PDF] |
HOPKINS, K.D., GEORGE, C.A. & WILLIAMS, D.D. (1985).
The concurrent validity of standardized achievement tests
by content area using teachers' ratings as criteria. Journal
of Educational Measurement, 2 (2), 177-182. |
LEUNG, S.A. & HOU, Z.J. (2001). Concurrent validity of
the 1994 Self-Directed Search for school students in Hong
Kong. Journal of Career Assessment, 9, 283-296. |
ROTTEN, J. & KELLY, I. (1985). A scale for assessing
belief in lunar effects : Reliability and concurrent
validity. Psychological Reports, 57 (1),
239-245. |
BELL, S.M., McCALLUM, R.S., BURTON, B., GRAY, R.,
WINDINGSTAD, S. & MOORE, J. (2006). Concurrent
validity of the test of silent word reading fluency. Assessment
for Effective Intervention, 31 (3), 1-9. |
|
Voir aussi Outil de
collecte de données et Validité
d'une mesure |

|
 |
|
Validité
critériale : Qualité d'un test
qui prédit la performance
d'un participant en fonction d'un critère concret d'intérêt,
critère extérieur au test et indépendant du score au test.
=
validité empirique, validité critériée, validité
pragmatique.
Criterion-related validity,
criterion validity, predictive validity.
|
|
HALL, C.W., BOLEN, L.M. & GUPTON, R.H. (1995).
Predictive validity of the study process questionnaire for
undergraduate students. College Student Journal, 29,
234–239. |
SCHWAB-STONE, M.E., SHAFFER, D., DULCAN, M.K., JENSEN,
P.S., FISHER, P., BIRD, H.R., GOODMAN, S.H., LAHEY, B.B.,
LICHTMAN, J.H., CANINO, G., RUBIO-STIPEC, M. & RAE,
D.S. (1996). Criterion validity of the NIMH. Diagnostic
Interview Schedule for Children Version 2.3 (DISC-2.3).
Journal of the American Academy of Child &
Adolescent Psychiatry, 35, 878-888. |
EGLOFF, E. & SCHMUKLE, S.C. (2002). Predictive
validity of an Implicit Association Test for assessing
anxiety. Journal of Personality & Social
Psychology, 83, 1441–1455. |
LAW, K.S., WONG, C.-S. & SONG, L.J. (2004). The
construct and criterion validity of emotional intelligence
and its potential utility for management studies. Journal
of Applied Psychology, 89, 483-496. |
BORNEMAN, M.J. (2010). Criterion validity. In N.J.
Salkind, B. Frey & D.M. Dougherty (Eds.), Encyclopedia
of research design (pp. 291-296). Thousand Oaks,
CA : Sage. |
| |
Voir aussi Validité
d'une mesure |
 |
 |
|
Validité
critériale concomitante : Forme de validité
critériale qui renvoie à la capacité d'un test
à prédire la performance
d'un participant en fonction d'un critère qui n'existe pas
actuellement, mais qui existera dans le futur du participant
étudié.
|
Validité
critériale prédictive : Forme de validité
critériale. qui consiste en la capacité d'un test
à prédire la performance
d'un participant en fonction d'un critère qui existe actuellement.
= validité prédictive.
Predictive
validity, predictor validity.
|
|
KUSKOWSKA-WOLK, A., KARLSSON, P., STOLT, M. & RÖSSNER,
S. (1989). The predictive validity of body mass index
based on self-reported weight and height. International
Journal of Obesity, 5, 441-453. |
THUMIN, F.J. (1993). Predictor validity as related to
criterion relevance, restriction of range, and ethnicity.
Journal of Psychology, 127, 553-563. |
O'CONNOR, R.M. & LITTLE, I.S. (2003). Revisiting the
predictive validity of emotional intelligence :
Self-report versus ability-based measures. Personality
& Individual Differences, 35, 1893-1902. |
EGLOFF, B. & SCHMUKLE, S.C. (2002). Predictive
validity of an Implicit Association Test for assessing
anxiety. Journal of Personality & Social
Psychology, 83, 1441-1455. |
BARKER, E.D., BOIVIN, M., BRENDGEN, M., FONTAINE, N.,
ARSENAULT, L., VITARO, F., BISSONNETTE, C. & TREMBLAY,
R.E. (2008). Predictive validity and early predictors of
peer victimization trajectories in preschool. Archives
of General Psychiatry, 65 (10), 1185-1192.
[PDF] |
FRIESE, M., HOFMANN, W. & WÄNKE, M. (2008). When
impulses take over : Moderated predictive validity of
explicit and implicit attitude measures in predicting food
choice and consumption behaviour. British Journal of
Social Psychology, 47, 397-419.
[PDF] |
| |
Voir aussi Validité d'une
mesure |
 |
 |
|
|
|
Validité de cohérence : Élément de la
validité de contenu. Renvoie à la qualité d'un outil
de collecte de données (questionnaire
ou entrevue) obtenue en
évaluant la compréhension des questions du point de vue du répondant
ou d'un profane (sens des mots choisis, compréhension des phrases,
des consignes, des questions, etc.). Ce que le répondant comprend
correspond-il à l'objectif de la question, à ce que l'on veut
savoir, mesurer/évaluer.
= validité
d'apparence.
Face vallidity.
|
|
MOSIER, C.I. (1947). A critical examination of the
concepts of face validity. Educational &
Psychological Measurement, 7, 191-205. |
ALLEN, M.J. & YEN, W.M. (1979). Introduction to
measurement theory. Monterey, CA : Brooks/Cole. |
FRIEDMAN, H.S. (1983). On shutting one's eyes to face
validity. Psychological Bulletin, 94, 185-187. |
NEVO B. (1985). Face validity revisited. Journal of
Educational Measurement, 22, 287-293. |
SARTORI, R. (2010). Face validity in personality tests :
psychometric instruments and projective techniques in
comparison. Quality & Quantity, 44 (4),
749-759. |
| |
 |
Voir aussi Validité de
contenu |
 |
|
|
|
Validité de concordance :
|
Validité
de construit : Qualité qui permet d'établir jusqu'à quel point un test
fournit une mesure adéquate du concept
théorique que ce test est censé mesurer, autrement dit dans
quelle mesure la mesure correspond-elle au concept mesuré. =
validité de construit.
Construct validity.
|
|
CRONBACH, L.J. & MEEHL, P.E. (1955). Construct
validity in psychological tests. Psychological
Bulletin, 52, 281-302. [PDF] |
NICHOLSON, R.A. & HOGAN, R. (1990). The construct
validity of social desirability. American
Psychologist, 45, 290-292. |
JESSOR, R. & HAMMOND, K.R. (1957). Construct validity
and the Taylor anxiety scale. Psychological Bulletin,
54 (3), 161-170. |
SHORE L.M. & TETRICK, L.E. (1991). A construct
validity study of the survey of perceived organizational
support. Journal of Applied Psychology, 76,
637-643. |
TVERSKY, A. & KAHNEMAN, D. (1974). Judgment under
uncertainty : Heuristics and biases. Science, 185,
1124-1130. |
WOOD, P.K. (1991). Construct validity and theories of
adults development : Testing for necessary but not
sufficient relationships. In M.L. Commons, C. Armon, L.
Kohlberg, F. Richards, J.T., Grotzer & J.D. Sinnott
(Eds.), Beyond formal operations II : Development of
adolescent and adult thought and reasoning (pp.
113-132). New York : Praeger. |
|
STEWART, W.P. & HULL, R.B. (1992). Satisfaction of
what ? Post hoc versus real-time construct validity. Leisure
Sciences 14 (3), 195-209. |
LYKKEN, D.T. & TELLEGEN, A. (1974). On the validity of
the preception hypothesis. Psychophysiology, 11, 125-132. |
GURTMAN, M.B. (1992). Construct validity of interpersonal
personality measures : The interpersonal circumplex as a
nomological net. Journal of Personality & Social
Psychology, 63, 105-118. |
ARANOW, E., REZNIKOFF, M., TRYON, R.C. & RAUCWAY, A.
(1977). On the construct validity of the concept of
interpersonal distance. Perceptual & Motor
Skills, 45, 550. |
ALLEN, N.J. & MEYER, J.P. (1996). Affective,
continuance, and normative commitment to the organization
: an examination of construct validity. Journal of
Vocational Behavior, 49, 252-276. |
ROSENZWEIG, S. & ADELMAN, S. (1977). Construct
validity of the Rosenzweig Picture-Frustration Study.
Journal of Personality Assessment, 41 (6), 578-588. |
UMPRHESS, V.J., LAMBERT, M.J., SMART, D.W. & BARLOW,
S.H. (1997). Concurrent and construct validity of the
outcome questionnaire. Journal of Psychoeducational
Assessment, 15, 40-55. |
BAGOZZI, R.P. (1978). The construct validity of the
affective, behavioral, and cognitive components of
attitude by analysis of covariance structures. Multivariate
Behavioral Research, 13, 9-31. |
ERZRBERGER, C. & PREIN, G. (1997). Triangulation :
Validity and empirically based hypothesis construction. Quality
& Quantity, 31, 141-154. |
BAGOZZI, R.P.A.M., TYBOUT, A.M., CRAIG, S. &
STERNTHAL, B. (1979). The construct validity of the
tripartite classification of attitudes. Journal of
Marketing Research, 17, 88-95. |
DUKER, P.C. & SIGAFOOS, J. (1998). The Motivation
Assessment Scale : Reliability and construct validity
across three topographies of behavior. Research in
Developmental Disabilities, 19, 131-141 |
WATERS, E., WIPPMAN, J. & SROUFE, L.A. (1979).
Attachment, positive affect, and competence in the peer
group: Two studies in construct validation. Child
Development, 1979, 50, 821-829. |
MARTIN, N.K., YIN, Z. & BALDWIN, B. (1998). Construct
validation of the attitudes and beliefs on classroom
control inventory. Journal of Classroom Interaction,
33 (2), 6-15. |
REYNOLDS, C.R. (1980). Differential construct validity of
a preschol battery for blacks, whites, males, and females.
Journal of School Psychology, 18 (2), 112-125. [PDF] |
GIANCOLA, P.R. & CHERMACK, S.T. (1998). Construct
validity of laboratory aggression paradigms : a response
to Tedeschi and Quigley (1996). Aggression &
Violent Behavior, 3, 237-253. |
|
SCHLEICHER, D.J., DAY, D.V., MAYES, B.T. & RIGGIO,
R.E. (2002). A new frame for frame of reference training :
Enhancing the construct validity of assessment centers.Journal
of Applied Psychology, 87, 735-746. |
LARSEN, K.S., REED, M. & HOFFMAN, S. (1980). Attitudes
of heterosexuals toward homosexuality : A Likert-type
scale and construct validity. Journal of Sex Research,
16, 245-257. |
MARCUS, B. (2003). An empirical examination of the
construct validity of two alternative self-control
measures. Educational & Psychological
Measurement, 63, 674-706. |
SCHWAB, D.P. (1980). Construct validity in organizational
research. Research in Organizational Behavior, 2,
3-43. |
TERRACCIANO, A., McCRAE, R.R. & COSTA, P.T. (2003).
Factorial and construct validity of the Italian Positive
and Negative Affect Schedule (PANAS). European
Journal of Psychological Assessment, 19 (2),
131-141.
[PDF] |
FISHBEIN, M. & AIZEN, I. (1981). On construct validity
: A critique of Miniard and Cohen's paper. Journal of
Experimental Social Psychology, 17, 340-350. |
McDERMUT, W., ZIMMERMAN, M. & CHELMINSKI, I. (2003).
The construct validity of depressive personality disorder.
Journal of Abnormal Psychology, 112, 49-60. |
PETER, P.J. (1981). Construct validity : A review of basic
issues of marketing and practices. Journal of
Marketing Research, 18, 133-145. |
DREW, W. & ROSENTHAL, R. (2003). Quantifying construct
validity : Two simple measures. Journal of
Personality & Social Psychology 84 (3),
608-618.
[PDF] |
EMBRETSON, W.S. (1983). Construct validity : Construct
representation versus nomothetic span. Psychological
Bulletin, 93, 179-197. |
HUPRICH, S.K. (2003). Testing facet-level predictions and
construct validity of depressive personality disorder. Journal
of Personality Disorders, 17, 219-232. |
 |
RUSHTON, J.P., BRAINERD, C.J. & PRESSLEY, M. (1983).
Behavioral development and construct validity : Some
implications of the principle of aggregation.
Psychological Bulletin, 94 (1), 18-38.
[PDF] |
WOOLFOLK, R.L. (2004). Self-complexity : An assessment of
construct validity. Journal of Social & Clinical
Psychology, 23 (4), 463-463. |
THOMPSON, R.J. & CURRY, J.F. (1983). A construct
validity study of the Missouri Children's Behavior
Checklist with developmentally disabled children. Journal
of Clinical Psychology, 39, 691-695. |
SALTHOUSE, T.A., BERISH, D.E. & SIEDLECKI, K.L.
(2004). Construct validity and age sensitivity of
prospective memory. Memory & Cognition, 32,
1133-1148. |
MAXWELL, S.E. & DELANEY, H.D. (1985). Measurement and
statistics : an examination of construct validity. Psychological
Bulletin, 97 (1), 85-93. |
LUBOW, R.E. (2005). The construct validity of the
animal-latent inhibition model of selective attention
deficits in schizophrenia. Schizophrenia Bulletin,
31, 139-153. [PDF] |
THOMPSON, R.J. & CURRY, J.F. (1985). Missouri
Children's Behavior Checklist profiles with
developmentally disabled children : Construct validity. Journal
of Clinical Psychology, 41, 556- 564. |
EKEHAMMAR, B., ZUBER, I. & KONSTENIUS, M. (2005). An
empirical look at the Defence Mechanism Test (DMT) :
Reliability and construct validity. Scandinavian
Journal of Psychology, 46, 285-296. |
McMcCAUL, K.D. & GLASGOW, R.E. (1985). Preventing
adolescent smoking : What have we learned about treatment
construct validity ? Health Psychology, 4, 361-387. |
BERAN, T. (2006). A construct validity study of bullying.
Alberta Journal of Educational Research, 52 (4),
238-247. [PDF] |
HOWARD, G.S., CONWAY, C.G. & MAXWELL, S.E. (1985).
Construct validity of measures of college teaching
Effectiveness. Journal of Educational Psychology, 77,
187-196. |
MARTIN, N.K., YIN, Z. & MAYALL, H. (2007). The
Attitudes and beliefs on Classroom Control
Inventory-Revised and revisited : A continuation of
construct validation. Journal of Classroom
Interaction, 42 (2), 11-20. [PDF] |
BAER, J.S., HOLT, C.S. & LICHTENSTEIN, E. (1986).
Self-efficacy and smoking re-examined : Construct validity
and clinical utility. Journal of Consulting &
Clinical Psychology, 54, 846-852. |
KANE, M.J., CONWAY, A.R.A., MIURA, T.K. & COLFLESH,
G.J.H. (2007). Working memory, attention control, and the
N-back task : A cautionary tale of construct validity. Journal of Experimental Psychology : Learning, Memory &
Cognition, 33, 615-622. |
GOLDBERG, L.R. (1986). The validity of rating procedures
to index the hierarchical level of categories. Journal
of Memory & Language, 25, 323-347. [PDF] |
ALMEIDA, L.S., PRIETO, L.P., FERRANDO, M., OLIVEIRA, E. & FERRANDIZ, C. (2008). Torrance Test of Creative
Thinking : The question of its construct validity. Thinking
Skills & Creativity, 3, 53–58. |
FRIEDMAN, H.S. & BOOTH-KEWLEY, S. (1988). The validity
of the Type A construct : A reprise. Psychological
Bulletin, 104, 381-384. |
STRAUSS, M.E. & SMITH, G.T. (2009). Construct validity
: Advances in theory and methodology. Annual Review
of Clinical Psychology, 5, 1-25. |
ROSENBAUM, P.R. (1989). Criterion-related construct validity. Psychometrika, 54, 625-633. |
GIBBS, S.J. & ELLIOTT, J.G. (2010). Dyslexia : a
categorical falsehood without validity or utility. In T.E.
Scruggs & M.A. Mastropieri (Eds.), Advances in
learning and behavioral disabilities (Vol. 2).
Emerald Literacy and Learning. |
RASKIN, R. & TERRY, H. (1988). A principal-components
analysis of the Narcissistic Personality Inventory and
further evidence of its construct validity. Journal
of Personality & Social Psychology, 52 (5),
890-902. [PDF] |
SCHIMMACK, U. (2010). What multi-method data tell us about
construct validity. European Journal of Personality,
24, 241-257.
[PDF] |
CHEEK, J.M. & WATSON, A.K. (1989). The definition of
shyness : Psychological imperialism or construct validity
? Journal of Social Behavior & Personality, 4 (1),
85-95.
[PDF] |
MILLER, J.D., GAUGHAN, E.T., MAPLES, J., GENTILE, B.,
LYNAM, D.R. & WIDIGER, T.A. (2011). Examining the
construct validity of the elemental psychopathy
assessment. Assessment, 18, 106-114. |
CRONBACH, L.J. (1989). Construct validation after thirty
years. In R. L. Linn (Ed.), Intelligence :
Measurement, theory, and public policy (pp.
147-171). Chicago : University of Illinois Press. |
TONKOVIC, M., GALIC, Z. & JERNEIC, Z. (2011). The
construct validity of over-claiming as a measure of
egoistic enhancement. Review of Psychology, 18
(1), 11-19. [PDF] |
 |
| |
Voir aussi Validité d'une
mesure et Outil de
collecte de données |
 |
 |
|
Validité
de contenu : Propriété d'un outil
de collecte de données dont le choix des éléments -
généralement des questions
ou des comportements - constitue un échantillon
représentatif de l'ensemble des phénomènes que l'on cherche
à mesurer/évaluer.
= validation de
contenu.
Content validity.
|
|
LENNON, R.T. (1956). Assumptions underlying the use of
content validity. Educational & Psychological
Measurement, 16, 294-304. |
LINEHAN, M.M. (1980). Content validity : Its relevance to
behavioral assessment. Behavioral Assessment, 2, 147-159. |
LAWSHE, C.H. (1975). The quantitative approach to content
validity. Personnel Psychology, 28, 563-575. |
LYNN, M.R. (1986). Determination and quantification of
content validity. Nursing Research, 35, 382-385. |
GUION, R.M. (1977). Content validity : The source of my
discontent. Applied Psychological Measurement, 1, 1-10. |
CROCKER, L., LlABRE, M. & MILLER, M.D. (1988). The
generalizability of content validity ratings. Journal
of Educational Measurement 25, 287-299. |
GUION, R.M. (1978). "Content validity" in moderation. Personal
Psychology, 31, 205-213. |
HAYNES, S.C., RICHARD, D.C.S. & KUBANY, E.S. (1995).
Content Validity in Psychological Assessment : A
functional approach to concepts and methods.
Psychological Assessment, 7 (3), 238-247. [PDF] |
| |
Voir aussi Validité d'une
mesure |

|
 |
|
Validité
de convergence : En psychométrie,
évaluation du degré de convergence d'un
outil de collecte de données, de ses d'indicateurs.
Convergent validity.
|
|
CAMPBELL, D.T. & FISKE, D.W. (1959). Convergent and
discriminant validation by the multitrait multimethod
matrix. Psychological Bulletin, 56, 81-105. [PDF] |
CUNNINGHAM, W.A., PREACHER, K.J. & BANAJI, M.R.
(2001). Implicit attitude measures : Consistency,
stability, and convergent validity. Psychological
Science, 12, 163-170. |
BAGOZZI, R.P. (1978). Convergent and discriminant validity
by analysis of covariance structures : The case of the
affective, behavioral and cognitive components of
attitude. In W.D. Perreault (Ed.), Advances in
Consumer Research (pp. 11-18). Ann Arbor, MI :
Association for Consumer Research. |
GAWRONSKI, B. (2002). What does the Implicit Association
Test measure ? A test of the convergent and discriminant
validity of prejudice-related IATs. Experimental
Psychology, 49, 171–180. |
RUSSELL, J.A. (1978). Evidence of convergent validity on
the dimensions of affect. Journal of Personality
& Social Psychology, 36, 1152-1168. |
STILES, W.B., AGNEW-DAVIES, R, BARKHAM, M., CULVERWELL,
A., GOLDFRIED, M.R., HALSTEAD, J., HARDY, G.E., RAUE,
P.J., REES, A. & SHAPIRO, D.A. (2002). Convergent
validity of the Agnew Relationship Measure and the Working
Alliance Inventory. Psychological Assessment, 14,
209-220. |
SIMPSON, J.A. & GANGESTAD, S.W. (1991). Individual
differences in sociosexuality : Evidence for convergent
and discriminant validity. Journal of Personality
& Social Psychology, 60, 870-883. [PDF] |
LANKTREE, C.B., GILBERT, A.M., BRIERE, J., TAYLOR, N.,
CHEN, K., MAIDA, C.A. & SALTZMAN, W.R. (2008).
Multi-informant assessment of maltreated children :
Convergent and discriminant validity of the TSCC and
TSCYC. Child Abuse & Neglect, 32, 621-625.
[PDF] |
|
MILLER, J.D., FEW, L.R., WILSON, L., GENTILE, B., WIDIGER,
T.A., MACK-ILLOP, J. & KEITH CAMPBELL, W. (2013). The
Five-Factor Narcissism Inventory (FFNI) : A test of the
convergent, discriminant, and incremental validity of FFNI
scores in clinical and community samples. Psychological
Assessment, 25, 748-758. |
| |
Voir aussi Validité d'une
mesure |

|
 |
|
Validité
discriminante : Qualité d'un outil
de collecte de données qui mesure seulement ce qu'il est
censé mesurer, plutôt que de confondre des phénomènes distincts ( EX:
Un test pour mesurer l'agressivité a une forte validité
discriminante s'il parvient à distinguer agressivité et jeu chez
les jeunes enfants, deux phénomènes distincts mais qui se
ressemblent.
Discriminant validity.
|
|
CAMPBELL, D.T. & FISKE, D.W. (1959). Convergent and
discriminant validation by the multitrait multimethod
matrix. Psychological Bulletin, 56, 81-105. [PDF] |
LUCAS, R., DIENER, E. & SUH, E. (1996). Discriminant
validity of well-being measures. Journal of
Personality & Social Psychology, 71, 616-628. |
CAMPBELL, D.T. (1960). Recommendations for APA test
standards regarding construct, trait, or discriminant
validity. American Psychologist, 15, 546-553. |
GAWRONSKI, B. (2002). What does the Implicit Association
Test measure? A test of the convergent and discriminant
validity of prejudice-related IATs. Experimental
Psychology, 49, 171–180. |
BAGOZZI, R.P. (1978). Convergent and discriminant validity
by analysis of covariance structures : The case of the
affective, behavioral and cognitive components of
attitude. In W.D. Perreault (Ed.), Advances in
Consumer Research (pp. 11-18). Ann Arbor, MI :
Association for Consumer Research. |
LANKTREE, C.B., GILBERT, A.M., BRIERE, J., TAYLOR, N.,
CHEN, K., MAIDA, C.A. & SALTZMAN, W.R. (2008).
Multi-informant assessment of maltreated children :
Convergent and discriminant validity of the TSCC and
TSCYC. Child Abuse & Neglect, 32, 621-625.
[PDF] |
BERNSTEIN, S., RICHARDSON, D. & HAMMOCK, G. (1987).
Convergent and discriminant validity of the Taylor and
Buss measures of physical aggression. Aggressive
Behavior, 13, 15-24. |
ARCHAMBAULT, I. et JANOSZ, M. (2009). Fidélité, validité
discriminante et prédictive de l'Indice de prédiction du
décrochage. Revue Canadienne des Sciences du
Comportement, 41, 187-191. |
SIMPSON, J.A. & GANGESTAD, S.W. (1991). Individual
differences in sociosexuality : Evidence for convergent
and discriminant validity.Journal of Personality &
Social Psychology, 60, 870-883. [PDF] |
MILLER, J.D., FEW, L.R., WILSON, L., GENTILE, B., WIDIGER,
T.A., MACK-ILLOP, J. & KEITH CAMPBELL, W. (2013). The
Five-Factor Narcissism Inventory (FFNI) : A test of the
convergent, discriminant, and incremental validity of FFNI
scores in clinical and community samples. Psychological
Assessment, 25, 748-758. |
| |
Voir aussi Validité
d'une mesure |

|
 |
|
Validité écologique : Échelle ou indice qui permet d'évaluer
la qualité d'une recherche, et plus particulièrement sa valeur
écologique. Cette valeur repose sur les diverses caractéristiques
d'une recherche qui permettent au chercheur de généraliser ses
conclusions, tirées de l'observation d'un milieu artificiel (laboratoire),
aux conditions réelles du phénomène étudié (= écologiques). Ces
caractéristiques sont : les caractéristiques de l'échantillon et
les caractéristiques +- artificielles
du test. La validité écologique d'une recherche permet de répondre
à la question suivante : Ce que j'ai observé en laboratoire
existe-t-il dans le milieu
naturel des sujets, dans la «vraie vie»? La réponse à cette
question sera fort probablement oui, si la validité écologique de
la recherche est élevée. Pour certains méthodologistes, la
validité écologique est un élément de la validité
externe. Validité écologique, validité
interne, et validité
externe. = validité sociale.
Ecological validity, social validity.
|
|
FAWCETT, S.B. & MILLER, L.K. (1975). Training
public-speaking behavior : an experimental analysis and
social validation. Journal of Applied Behavior
Analysis, 8, 125-136. [PDF] |
KENNEDY, C.H. (1992). Trends in the measurement of social
validity. The Behavior Analyst, 15, 147-156. [PDF] |
MINKIN, N., BRAUKMANN, C.J., MINKIN, B.L., TIMBERS, GD.,
TTIMBERS, B.J., FIXSEN, D.L., PHILLIPS, E.L. & WOLF,
M.M. (1976). The social validation and training of
conversation skils. Journal of Applied Behavior
Analysis, 9 (2), 127-139. [PDF] |
BANAJI, M.R. (1992). The lures of ecological realism. The
Psychologist, 5, 448. [PDF] |
BROOKES, P.H. & BAUMEISTER, A.A. (1977). A plea for
consideration of ecological validity in the experimental
psychology of mental retardation. American Journal of
Mental Deficiency, 81, 407-416. |
CONROY, M., FOX, J., CRAIN, L., JENKINS, A. & BELCHER,
K. (1996). Evaluating the social and ecological validity
of analog assessment procedures for challenging behaviors
in young children. Education & Treatment of
Children, 19, 233-256. |
WOLF, M.M. (1978). Social validity : The case for
subjective measurement or how applied behavior analysis is
finding its heart. Journal of Applied Behavior
Analysis, 11 (2), 203-214. [PDF] |
ANDERSON, C.A. & DILL, K.E. (2000). Video games and
aggressive thoughts, feelings, and behavior in the
laboratory and in life. Journal of Personality &
Social Psychology, 78 (4), 772-790. |
SOBELL, M.B. & SOBELL, L.C. (1978). Evaluating the
external validity of Ewing and Rouse. British Journal
of Addiction, 73, 323-345. |
SCHMUCKLER, M.A. (2001). What Is ecological validity ? A
dimensional analysis. Infancy, 2 (4), 419-436. [PDF] |
KAME'ENUI, E.J., CARNINE, D.W. (1982). Investigating the
ecological validity of fourth grader's comprehension of
pronoun constructions. Reading Research Quarterly, 17
(4), 556-580. |
|
STEVENSON, H.C. & FANTUZZO, J.W. (1986). The
generality and social validity of a competency- based
self-control training intervention for under achieving
students. Journal of Applied Behavior Analysis, 11
(3), 269-275. [PDF] |
|
LINCOLN, Y.S. & GUBA, E.G. (1986). But is it rigorous
? Trustworthiness and authenticity in naturalistic
evaluation. In D.D. Williams (Ed.), Naturalistic
evaluation (pp. 73-84). New Directions for Program
Evaluation, 30. San Francisco, CA : Jossey-Bass. |
EVANS, S.W., SMITH, B.H., GNAGY, E.M., PELHAM, W.E.,
BUKSTEIN, O. & GREINER, A.R. (2001). Dose-Response
Effects of methylphenidate on ecologically valid measures
of academic performance and classroom behavior in
adolescents with ADHD. Experimental & Clinical
Psychopharmacology, 9 (2), 163-175.
[PDF] |
WINETT, R.A., MOORE, J.F. & ANDERSON, E.S. (1991).
Extending the concept of social validity : behavior
analysis for disease prevention and health promotion. Journal
of Applied Behavior Analysis, 24 (2), 215-230. [PDF] |
LICKLITER, R. & BAHRICK L.E. (2001). The salience of
multimodal sensory stimulation in early development :
Implications for the issue of ecological validity.
Infancy, 2, 451-467. [PDF] |
SCHWARTZ, I.S. (1991). SThe study of consumer behavior and
social validity: An essential partnership for applied
behavior analysis Journal of Applied Behavior
Analysis, 24 (2), 241-244. [PDF] |
|
 |
BANAJI, M.R. & CROWDER, R.G. (1991). Some everyday
thoughts on ecologically valid methods. American
Psychologist, 46 (1), 78-79. [PDF] |
SOLANTO, M.V., ABIKOFF, H., SONUGA-BARKE, E., SCHACHAR,
R., LOGAN, G.D., WIGAL, T., HECHTMAN, L., HINSHAW, S.
& TURKEL, E. (2001). The ecological validity of delay
aversion and response inhibition as measures of
impulsivity in AD/HD : A supplement to the NIMH Multimodal
Treatment Study of ADHD. Journal of Abnormal Child
Psychology, 29, 215-228. |
FAWCETT, S.B. (1991). Social validity : A note on
methodology. Journal of Applied Behavior Analysis, 24,
(2), 235-240. [PDF] |
KENNEDY, C.H. (2002). The maintenance of behavior as an
indicator of social validity. Behavior Modification,
26, 594-606. |
KENNEDY, C.H. (1992). Trends in the measurement of social
validity. The Behavior Analyst, 15 (2), 147-156.
[PDF] |
EGNER, T. & GRUZELIER, J.H. (2003). Ecological
validity of neurofeedback : Modulation of slow wave EEG
enhances musical performance. NeuroReport, 14,
1221-1224. |
SCHWARTZ, I.S. & BAER, D.M. (1991). Social validity
assessments : Is current practice state of the art ? Journal
of Applied Behavior Analysis, 24 (2), 189-204.
[PDF] |
KVAVILASHVILI, L. & ELLIS, J. (2004). Ecological
validity and twenty years of real-life/laboratory
controversy in memory research : A critical (and
historical) review. History & Philosophy of
Psychology, 6, 59-80. [PDF] |
BARKLEY, R.A. (1991). The ecological validity of
laboratory and analogue assessments of ADHD symptoms. Journal
of Abnormal Child Psychology, 19, 149-178. |
STRAIN, P.S., BARTON, E.E. & DUNAP, G. (2012). Lessons
learned about the utility of social validity. Education
& Treatment of Children, 35 (2), 183-200. |
GELLER, E.S. (1991). Where's the validity in social
validity ? Journal of Applied Behavior Analysis, 24,
179-184. [PDF] |
BATSELL, W.R., PERRY, J.L., HANLEY, E., HOSTETTER, A.B.
(2017). Ecological validity of the testing effect : the
use of daily quizzes in introductory psychology.
Teaching Psychology, 44, 18-23. |
 |
| |
 |
Voir aussi Validité externe
et Validité d'une recherche |
 |
|
Validité égale (Principe) : Principe,
énoncé par Boghossian, selon
lequel, peu importe la manière d'établir la véracité d'une
proposition (artistique, scientifique, religeuse, autochtone,
etc.), aucune "méthode" ne produit des connaissances de plus
grande valeur que les autres. Suivant ce principe, une étude
réalisée au moyen d'une entrevue produit des connaissances d'aussi
grande valeur qu'une recherche quasi-expérimentale. Il convient de
préciser que ce principe n'est partagé en science que par les socioconstructivstes
et les postmodernistes;
tous les autres scientifiques reconnaissent que la méthode
expérimentale produit, en principe, des connaissances les +
valides, même si elle n'est pas adaptée à tous les
problèmes de recherche (puissance
de la méthode).
| |
|
BOGHOSSIAN, P. (2009). La peur du savoir : Sur le
relativisme et le constructivisme de la connaissance. Marseille
: Agone. |
 |
 |
|
Validité externe : Échelle ou indice qui permet d'évaluer
la qualité d'une recherche, et plus particulièrement ses conclusions
externes. Elle repose sur les diverses caractéristiques
d'une recherche qui permettent au chercheur de généraliser
les conclusions de sa recherche - qui porte sur un petit
nombre de sujets, son échantillon - à l'ensemble de la population.
Il s'agit donc d'une inférence.
La validité externe permet d'affirmer, avec plus ou moins de
certitude, que les participants de l'échantillon et de la
population se comporteront de la même façon (ou auront les mêmes
caractéristiques). Le mot externe renvoie ici à la
capacité de généraliser les résultats à un groupe qui n'a pas été
étudié (la population), et qui, selon le cas, possède plus ou
moins les caractéristiques du groupe qui a été étudié (l'échantillon).
Ces caractéristiques sont : un
échantillon représentatif et le choix des tests
statistiques.
La validité externe d'une recherche permet de
répondre à la question suivante : Monsieur et madame Tout-le-monde
(= population) vont-ils se comporter comme les n
ième participants de mon échantillon ? La réponse à cette
question sera fort probablement oui si la validité interne et
externe de votre recherche est grande. L'utilisation de
procédure d'échantillonnage non-aléatoire, le
refus de participer des sujets ou leur
désistement sont des facteurs qui créent des biais
d'échantillonnage qui diminuent la validité externe d'une recherche.
NDLR : Pour de nombreux méthodologistes, la
question de la validité externe ne se pose que si, au préalable,
la validité interne d'une recherche est acceptable puisqu'on peut
difficilement inférer une cause à un grand nombre de sujets si on
est incapable de montrer avec certitude l'existence de cette
caause pour un petit nombre. Validité externe,
validité interne et validité
écologique.
= valeur d'une
recherche.
External validity.
 
| Échelle
de validité externe |
| Si...
|
| Validité
élevée -------------- Validité moyenne --------------
Validité faible |
| Donc...
|
| Conclusions
d'une recherche très fiables -------------------------
Conclusions d'une recherche peu fiables |
|
 |
| |
BRACHT, G.H. & GLASS, G.V. (1968). The external
validity of experiments. America Educational Research
Journal, 5, 437-474. |
KIRSCH, I. & ROSADINO, M.J. (1993). Do double-blind
studies with informed consent yield externally valid
results ? An empirical test. Psychopharmacology, 110,
437-442. |
KRUGLANSKI, A.W. (1975). The two meanings of external
invalidity. Human Relations, 66, 373-382. |
WHITLEY, B.E. (1996). The external validity of research.
In B.E. Whitley (Ed.), Principles of research in
behavioral science (pp. 465-491). Mountain View, CA
: Mayfield. |
KONECNI, V.J. & EBBESEN, E.B. (1979). External
validity of research in legal psychology. Law &
Human Behavior, 3, 39-70. |
ANDERSON, C.A. & BUSHMAN, B.J. (1997). External
validity of "trivial" experiments : The case of laboratory
aggression. Review of General Psychology, 1 (1),
19-41. [PDF] |
BERKOWITZ, L. & DONNERSTEIN, E. (1982). External
validity is more than skin deep : Some answers to
criticisms of laboratory experiments. American
Psychologist, 37, 245-257. |
MITCHELL, G. (2002). Revisiting truth or triviality : The
external validity of Research in the Psychological
Laboratory. Perspectives on Psychological Science, 7
(2), 109-117. [PDF] |
CALDER, B.J., PHILLIPS, L.W. & TYBOUT, A.M. (1982).
The concept of external validity. Journal of Consumer
Research, 9 (3), 240-244. |
GLASGOW, R.E., BULL, S.S., GILLETTE, C., KLESGES, L.M.
& DZEWALTOWSKI, D.A. (2002). Behavior change
intervention research in health care settings : A review
of recent reports, with emphasis on external validity. American
Journal of Preventive Medicine, 23 (1), 62-69. |
LYNCH, L.G. (1982). On the external validity of
experiments in consumer research. Journal of Consumer
Research, 9 (3), 225–239
|
|
CALDER, B.J., PHILLIPS, L.W. & TYBOUT, A.M. (1983).
Beyond external validity. Journal of Consumer
Research, 10, 112-114. |
ONWUEGBUZIE, A.J. (2003). Expanding the framework of
internal and external validity in quantitative research. Research
in the Schools, 10, 71-90. |
MOOK, D.G. (1983). In defense of external invalidity.
American Psychologist, 38, 379-387. |
DURIEZ, B., APPEL, C. & HUTSEBAUT, D. (2003). The
German Post-Critical Belief scale : Internal and external
validity. Zeitschrift für Socialpsychologie, 34,
219-226. |
SMITH, T.M.F. (1983). On the validity of inferences from
non-random samples. Journal of the Royal Statistical
Society – Series A (General), 146 (4), 394-403. |
ROTHWELL, P.M. (2005). External validity of randomised
controlled trials : "To whom do the results of this trial
apply ?" Lancet, 365 (9453), 82-93. |
McKILLIP, J. & RIEDEL, S.L. (1983). External validity
of matching on physical attractiveness for same and
opposite sex couples. Journal of Applied Social
Psychology, 13, 328-337. |
LEIGHTON, J.P. (2010). External validity. In N.J. Salkind
(Ed.), The encyclopedia of research design (pp.
466-469). Thousand Oakes, CA : Sage Publications. |
RUNCO, M.A. (1984). Teachers' judgments of creativity and
social validation of divergent thinking tests. Perceptual&
Motor Skills, 59, 711-717. |
McDERMOTT, R. (2011). Internal and external validity. J.
Druckman, D. Green, J. Kuklinski & A. Lupia (Eds), Handbook
of experimental political science (pp. 27-40).
Cambridge University Press. |
EKEHAMMAR, B., SIDANIUS, J. & NILSSON, E. (1988).
Social class status : Construct and external validity. The
Journal of Social Psychology, 127, 473-481. |
MITCHELL, G. (2012). Revisiting truth or triviality : The
external validity of research in the psychological
laboratory. Perspectives on Psychological Science, 7
(2), 109-117. [PDF] |
CATCHPOLE, C.K. (1989). Pseudoreplication and external
validity : playback experiments in avian bioacoustics. Trends
in Ecology & Evolution, 4, 286–287. |
MADDUX, C.D. & JOHNSON, D.L. (2012). External validity
and research in information technology in education. Computers in the Schools, 29 (3), 249-252. |
BEIDEL, D.C., TURNER, S.M., STANLEY, M.A. & DANCU,
C.V. (1989). The Social Phobia and Anxiety Inventory :
Concurrent and external validity. Behavior Therapy,
20, 417-427. |
HOUDEK, P. (2017). A perspective on research on dishonesty
: Limited external validity due to the lack of possibility
of self-selection in experimental designs. Frontiers
in Psychology, 8 [1566], 1-6.[PDF] |
HOROWITZ, J.L. & LOUVIERE, J.J. (1990). The external
validity of choice models based on laboratory experiments.
In M. Fischer, P. Nijkamp, and Y. Papageorgiou (Eds.),
Spatial choices and process. Amsterdam :
North-Holland. |
|
 |
 |
Voir aussi Validité d'une
recherche |
 |
|
Validité incrémentielle :
Incremental validity.
|
|
SECHREST, L. (1963). Incremental validity : A
recommendation. Educational & Psychological
Measurement, 23, 153-158. |
WATKINS, M.W. & GLUTTING, J.J. (2000). Incremental
validity of WISC–III profile elevation, scatter, and shape
information for predicting reading and math achievement. Psychological
Assessment, 12 (4), 402-408. [PDF] |
|
LOFLAND, K.R., CASSISI, J.E., LEVIN, J.B., PALUMBO, N.L.
& BLONSKY, E.R. (2000). The incremental validity of
lumbar surface. Validité écologique, validité interne et
validité externe. EMG, behavioral observation, and a
symptom checklist in the assessment of patients with
chronic low-back pain. Applied Psychophysiology &
Biofeed-back, 25, 67-78. |
SCHWARTZ, S. & WIEDEL, T.C. (1981). Incremental
validity of the MMPI in neurological decision-making. Journal
of Personality Assessment, 45, 424-426. |
DAWES, R.M. (2001). Incremental validity of the Ego
Impairment Index : it's fine when it's there.
Psychological Assessment, 13 (3), 408-409. |
GARB, H.N. (1985). The incremental validity of information
used in personality assessment. Clinical Psychology
Review, 4, 641-655. |
CLEVENGER, J., PEREIRA, G.M., WIECHMANN, D., SCHMITT, N.
& HARVEY, V.S. (2001). Incremental validity of
situational judgment tests. Journal of Applied
Psychology, 86, 410-417. |
STROM, D.A., GRAY, J.W., DEAN, R.S. & FISHER, W.E.
(1987). The incremental validity of the Halstead–Reitan
Neuropsychological Battery in predicting achievement for
learning-disabled children. Journal of
Psychoeducational Assessment, 2, 157–165. |
PERRY, W. (2001). Incremental validity of the Ego
Impairment Index : A re-examination of Dawes (1999). Psychological
Assessment, 13 (3), 403-407. |
|
HUNSLEY, J. & MEYER, G.J. (2003). The incremental
validity of psychological testing and assessment :
Conceptual, methodological, and statistical issues.
Psychological Assessment, 15 (4), 446-455. [PDF] |
GLUTTING, J.J., YOUNGSTROM, E.A., WARD, T., WARD, S. &
HALE, R.L. (1997). Incremental efficacy of WISC–III factor
scores in predicting achievement : What do they tell us ?
Psychological Assessment, 9, 295-301. |
GARB, H.N. (2003). Incremental validity and the assessment
of psychopathology in adults. Psychological
Assessment, 15 (4), 508-520. |
DAWES, R.M. (1999). Two methods for studying the
incremental validity of a Rorschach variable.
Psychological Assessment, 11, 297–302. |
HAYNES, S.N. & LENCH, H.C. (2003). Incremental
validity of new clinical assessment measures. Psychological
Assessment, 15 (4), 456-466. [PDF] |
|
SMITH, G.T., FISCHER, S. & FISTER, S.M. (2003).
Incremental validity principles in test construction. Psychological Assessment, 15, 467–477. |
|
RODE, J.C., JUDGE, T.A. & SUN, J. (2012).
Incremental validity of core self-evaluations in the
presence of other self-concept traits : An investigation of applied psychology criteria in the United States and China. Journal of Leadership and Organizational Studies, 19 (3),
326-340. |
|
MILLER, J.D., FEW, L.R., WILSON, L., GENTILE, B., WIDIGER,
T.A., MACK-ILLOP, J. & KEITH CAMPBELL, W. (2013). The
Five-Factor Narcissism Inventory (FFNI) : A test of the
convergent, discriminant, and incremental validity of FFNI
scores in clinical and community samples. Psychological
Assessment, 25, 748-758. |
 |
| |
Voir aussi d'une Validité d'une
mesure |

|
 |
|
Validité interne : Échelle ou indice qui permet d'évaluer la valeur ou la qualité d'une recherche, et plus particulièrement ses
conclusions internes.
Le mot interne renvoie ici à la portée des conclusions
que l'on tire de l'étude de l'échantillon
(et non de la population).
La validité interne repose sur les diverses caractéristiques d'une
recherche qui permettent de vérifier l'hypothèse
(est-elle vraie ou fausse ?). Elle permet d'affirmer, avec plus ou
moins de certitude, que les variations observées/mesurées de Y
sont bel et bien attribuables aux variations manipulées/assignées
de X, et ainsi de répondre à la question : le variable
indépendante (ou le traitement) a-t-elle eu l'effet escompté
(par l'hypothèse) ? Ces caractéristiques sont : 1) le contrôle de
la situation de recherche; 2) le contrôle de la variable
indépendante; 3) le contrôle des variables
parasites (autre X potentiel). De nombreux facteurs peuvent
menacer la validité interne d'une recherche (Voir
tableau ci-dessous). Si la validité interne d'une recherche
est maximale, on peut répondre sans ambiguïté à la question de
recherche : le phénomène X (variable indépendante de la recherche)
est-il bel et bien la cause du phénomène Y (variable dépendante) ?
Si la validité interne d'une recherche est minimale, la prudence
est de mise. Il est alors préférable d'éviter de tirer des
conclusions hâtives et d'insister davantage sur les correctifs à
apporter pour améliorer cette validité et éviter de répéter les
erreurs déjà commises. Par ailleurs, en vertu de la logique de la
démarche scientifique, il
apparaît peu utile de s'interroger sur la validité externe d'une
recherche lorsque la validité interne de celle-ci est très faible ou
nulle. = valeur d'une recherche.
Validité interne, validité externe et
validité écologique.
Internal
validity.
 
| Échelle
de validité interne |
| Si...
|
| Validité
élevée -------------- Validité moyenne --------------
Validité faible |
| Donc...
|
| Conclusions
d'une recherche très fiables -------------------------
Conclusions d'une recherche peu fiables |
| |
KENNY, D.A. (1972). Threats to the internal validity of
cross-lagged panel inference, as related to "Television
violence and child aggression : A follow up study." In
G.A. Comstock & E.A. Rubinstein (Eds.), Television
and social behavior (Vol. 3, pp. 136-140).
Government Printing Office. |
PIERCE, W.D. & HARRELL, W.A. (1978). Threats to
internal validity in the Burgess and Neilsen social
exchange experiment. American Sociological Review,
43, 592-597. |
WHITLEY, B.E. (1996). Principles of research in
behavioral science. Mountain View, CA : Mayfield. |
ONWUEGBUZIE, A.J. (2003). Expanding the framework of
internal and external validity in quantitative research. Research
in the Schools, 10, 71-90. |
DURIEZ, B., APPEL, C. & HUTSEBAUT, D. (2003). The
German Post-Critical Belief Scale : Internal and external
validity. Zeitschrift für Socialpsychologie, 34,
219-226. |
BARTSCH, R. A., ENGELHARD, BITTNER, W.M. & MORENO,
J.E. (2008). A design to improve internal validity of
assessments of teaching demonstrations. Teaching of
Psychology, 35 (4), 357-359. |
McDERMOTT, R. (2011). Internal and external validity. J.
Druckman, D. Green, J. Kuklinski & A. Lupia (Eds), Handbook of experimental political science (pp. 27-40).
Cambridge University Press. |
| |
Voir aussi Validité d'une
recherche |
 |
 |
|
|
|
|
|
|
|
Valin Roch (1918-2012) : Linguiste
québécois et spécialiste du français.
Il s'est également intéressé aux travaux de Guillaume.
 |
VALIN, R. (1952). Esquisse d'une théorie des degrés de
comparaison. Cahier Linguistique Structurale, 2, 1-20. |
VALIN, R. (1959). Qu'est-ce qu'un fait linguistique ? Le
Français Moderne, 27 (1), 85-93. |
VALIN, R. (1968). Des conditions d'existence d'une science
du mentalisme linguistique. Les Langues Modernes, 62
(3), 297-309. |
VALIN, R. (1981). Perspectives psychomécaniques sur
la syntaxe. Cahiers de psychomécanique du Langage. Québec
: Universite Laval |
VALIN, R. (1984). Pour une phénomènologie vraie du
langage. Modèles Linguistiques, 6 (2), 11-26. |
 |
 |
|
Valins Stuart C. (1939-2022) : Psychosociologue
américain. Il s'est notamment intéressé au rôle du contexte
dans l'interprétation des émotions.
Étudiant de Schachter.
Collaborateur de Baum, Jones,
Kelly, Nisbett,
Singer et Weiner.
 |
VALINS, S. (1966). Cognitive effects of false heart-rate
feedback. Journal of Personality & Social
Psychology, 4, 400-408. |
VALINS, S. & RAY, A.A. (1966). Effects of cognitive
desensitizationon avoidance behavior. Journal of
Personality & Social Psychology, 7 (4),
345-350. |
JONES, E.E., KANOUSE, D., KELLY, H.H., NISBETT, R.E.,
VALINS, S. & WEINER, B. (1972). Attribution :
Perceiving the causes of behavior. Morristown, N.J.
: General Learning Press. |
BAUM, A. & VALINS, S. (1977). Architecture and
social behavior : Psychological studies of social
density. Hillsdale : Lawrence Erlbaum Associates. |
BAUM, A., SINGER, J.E. & VALINS, S. (Eds.) (1979). Advances in environmental psychology. Vol I - The urban environment. New York : John Wiley & Sons. |
 |
 |
|
|
|
Valkenburg
Patti M. (1958-) :
Psychologue néérlandaise et spécialiste de l'étude de la communication,
notamment au moyen
d'internet, chez les
adolescents. Collaboratrice de Peter
et Van Der Voort.
 |
VALKENBURG, P.M. & VAN DER VOORT, T.H. (1994).
Influence of TV on daydreaming and creative imagination :
A review of research. Psychological Bulletin, 116, 316–339. |
VALKENBURG, P.M., SCHOUTEN, A.P. & PETER, J. (2005).
Adolescents' identity experiments on the Internet. New
Media & Society, 7, 383-402. |
VALKENBURG, P.M. & PETER, J. (2007). Preadolescents'
and adolescents' online communication and their closeness
to friends. Developmental Psychology, 43 (2),
267-277. [PDF]
|
VALKENBURG, P.M. & PETER, J. (2009). Social
consequences of the Internet for adolescents : A decade of
research. Current Directions in Psychological
Science, 18 (1), 1-5. |
VALKENBURG, P.M. & PETER, J. (2011). Online
communication among adolescents : An integrated model of
its attraction, opportunities, and risks. Journal of
Adolescent Health, 48, 121-127. [PDF]
|
 |
 |
|
Valla
Jean-Pierre ( ) : Psychiatre
québécois et spécialiste de
l'agressivité chez les enfants.

 |
VALLA, J.P., BERGERON, L., BIDAUT-RUSSELL, M., ST-GEORGES,
M. & GAUDET, N. (1997). Reliability of the Dominic-R :
A young child mental health questionnaire combining visual
and auditory stimuli. Journal of Child Psychology
& Psychiatry & Allied Disciplines, 38,
717-724. |
VALLA, J.P., BERGERON, L., ST-GEORGES, M. et BERTHIAUME,
C. (2000). Le Dominique Interactif : présentation, cadre
conceptuel, propriétés psychométriques, limites, et
utilisation. Revue Canadienne de Psycho-éducation,
29, 327-347. |
VALLA, J.P., BERGERON, L. & SMOLA, N. (2000). The
Dominic-R : A pictorial interview for 6-to-11-years-old
children. Journal of the American Academy of Child
& Adolescent Psychiatry, 39, 85-93. |
VALLA, J.P., KOVESS, V., CHAN CHEE, C., BERTHIAUME, C.,
VANTALON, V., PIQUET, C., GRAS-VINCENDON, A., MARTIN, C.
& ALLES-JARDEL, M. (2002). A french study of the
Dominic Interactive. Social Psychiatry &
Psychiatric Epidemiology, 37, 441-448. |
VALLA, J.P., ST.-GEORGES, M., BERTHIAUME, C., PICHÉ, G.
& BARBE, C. (2010). Psychometric properties of a
pictorial instrument for assessing psychopathology in
youths aged 12 to. 15 years : the Dominic Interactive for
adolescents. Canadian Journal of Psychiatry, 55
(4), 69-79. |
 |
 |
|
Vallerand Robert J. ( ) : Psychosociologue
québécois et professeur à l'Université
du Québec à Montréal. Il étudie la motivation
sociale et la passion,
notamment chez les sportifs, en
milieu scolaire et
chez les joueurs normaux et compulsifs.
Il s'intéresse aussi aux passions.
Professeur de Pelletier, et
Sénécal. Collaborateur de Amiot, Bouffard,
Curran, Deci,
Gagné, Halliwell,
Hill, Koestner,
Ryan Sarrazin et Sedikides.

 |
VALLERAND, R.J. (1983). On emotion in sport : Theoretical
and social psychological perspectives. Journal of
Sport Psychology, 5, 197-215. [PDF]
|
VALLERAND, R.J. (1985). Vers une intégration de la
perspective attributionnelle à la psychologie sociale
appliquée : dangers, critiques et recommandations de
recherches futures. Revue Québécoise de Psychologie,
6, 114-139. [PDF] |
VALLERAND, R.J. (1998). Motivation et éducation
permanente : Contributions du modèle hiérarchique de la
motivation intrinsèque et extrinsèque. Éducation
Permanente, 136, 15-36. [PDF]
|
VALLERAND, R.J. (2008). The psychology of passion : In
search of what makes people's lives most worth living. Canadian
Psychology/Psychologie Canadienne, 49 (1), 1-13. [PDF]
|
VALLERAND, R.J. (2012). From motivation to passion : In
search of the motivational processes involved in a
meaningful life. Canadian Psychology, 53, 42-52.
[PDF] |
 |
 |
|
Valorisation : Valoriser
: Consiste à accorder une valeur
à un objet, à un individu.
|
Valorisation
de soi (Sur-) : Tendance à se
surévaluer, à s'accorder plus de mérite qu'il nous en revient afin
de préserver notre estime
de soi. notre vision positive de nous-même. Valorisation de
soi, résilience et
narcissisme.
= surestimation de soi, sentiment de
supériorité. /dénigrement de soi. Self-enhancement,
sense of superiority, self-enhancing biases.
| |
|
BROWN, J.D. (1986). Evaluations of the self and others :
Self-enhancing biases in social judgments. Social
Cognition, 4, 353-376. |
BOND, M.H., KWAN, V.S.Y. & LI, C. (2000). Decomposing
a sense of superiority : The differential social impact of
self-regard and regard for others. Journal of
Research in Personality, 34, 537-553. |
JOSEPHS, R.A., LARRICK, R.P., STEELE, C.M. & NISBETT,
R.E. (1992). Protecting the self from the negative
consequences of risky decisions. Journal of
Personality & Social Psychology, 62 (1),
26-37. |
BONANNO, G.A., FIELD, N.P., KOVACEVIC, A. & KALTMAN,
S. (2002). Self-enhancement as a buffer against extreme
adversity : Civil war in Bosnia and traumatic loss in the
United States. Personality & Social Psychology
Bulletin, 28, 184-196. |
BROWN, J.D. & GALLAGHER, F.M. (1992). Coming to terms
with failure : Private self-enhancement and public
self-effacement. Journal of Experimental Social
Psychology 28, 3-22. |
SEDIKIDES, C., HERBST, K.C., HARDIN, D.P. & DARDIS,
G.J. (2002). Accountability as a deterrent to
self-enhancement : The search for mechanisms. Journal
of Personality & Social Psychology, 83,
592-605. [PDF] |
JOHN, O.P. & ROBINS, R.W. (1994). Accuracy and bias in
self-perception : Individual differences in
self-enhancement and the role of narcissism. Journal
of Personality & Social Psychology, 66, 206-219. |
HEINE, S.J. & RENSHAW, K. (2002). Interjudge
agreement, self-enhancement, and liking : Cross-cultural
divergences. Personality & Social Psychology
Bulletin, 28, 442-451. [PDF] |
DUNNING, D. (1995). Trait importance and modifiability as
factors influencing self-assessment and self-enhancement
motives. Personality & Social Psychology Bulletin,
21, 1297-1306. |
PAULHUS, D.L., HARMS, P.D., BRUCE, M.N. & LYSY, D.C.
(2003). The over-claiming technique : Measuring
self-enhancement independent of ability. Journal of
Personality & Social Psychology, 84 (4),
890-904. [PDF] |
KITAYAMA, S., MARKUS, H.R., MATSUMOTO, H. &
NORASAKKUNKIT, V. (1997). Individual and collective
processes in the construction of the self :
Self-enhancement in the United States and self-criticism
in Japan. Journal of Personality & Social
Psychology, 72, 1245-1267. |
BAER, R.A., RINALDO, J.C. & BERRY, D.T.G. (2003).
Response distortions in self-report assessment. In R.
Fernandez-Ballesteros (Ed.),Encyclopedia of
psychological assessment. London : Sage. |
BEAUREGARD, K.S. & DUNNING, D. (1998). Turning up the
contrast : Self-enhancement motives prompt egocentric
contrast effects in social judgments. Journal of
Personality & Social Psychology, 74 (3),
606-621. |
SEDIKIDES, C., GAERTNER L. & TOGUCHI, Y. (2003). Pancultural self-enhancement. Journal of Personality
& Social Psychology, 74 (2), 378-386. |
|
BURKLEY, M. & BLANTON, H. (2005). When am I my group ?
Self-enhancement versus self-justification accounts of
perceived prototypicality. Social Justice Research, 18
(4), 445-463. |
|
BONANNO, G.A., RENNICKE, C. & DEKEL S. (2005).
Self-enhancement among high-exposure survivors of the
September 11th terrorist attack : Resilience or social
maladjustment ? Journal of Personality & Social
Psychology, 88, 984-998. |
KRUEGER, J. (1998). Enhancement bias in descriptions of
self and others. Personality & Social Psychology
Bulletin, 24 (5), 505-516. |
SEDIKIDES, C. & GREGG, A.P. (2008). Self-enhancement :
Food for thought. Perspectives on Psychological
Science, 3 (2), 102-116. |
|
ALICKE, M.D. & SEDIKIDES, C. (2009). Self-enhancement
and self-protection : What they are and what they do. European
Review of Social Psychology, 20 (1), 1-48. |
PAULHUS, D.L. (1998). Interpersonal and Intrapsychic
adaptiveness of trait self-enhancement : A mixed blessing
? Journal of Personality & Social Psychology, 74
(5), 1197-1208. [PDF] |
GUPTA, S. & BONANO, G.A. (2010). Trait
self-enhancement as a buffer against potentially traumatic
events : A prospective study. Psychological Trauma :
Theory, Research, Practice, & Policy, 2 (2),
83-92. [PDF] |
ITO, T. (1999). Self-enhancement tendency and other
evaluations : An examination of "better-than-average
effect". Japanese Journal of Psychology, 70,
367-374. |
TONKOVIC, M., GALIC, Z. & JERNEIC, Z. (2011). The
construct validity of overclaiming as a measure of
egoistic enhancement. Review of Psychology, 18
(1), 11-19.
[PDF] |
|
RANSOM, M.R., KAST, C. & SHELLY, R.K. (2015).
Self-enhancement, self-protection and ingroup biais.
Current Research in Social Psychology, 23, 56-65. [PDF] |
 |
| |
Voir aussi
Biais de complaisance, Surprotection
de soi,
Résilience et Narcissisme |
 |
|
|
|
|
VAL - VAN
- VAN VUGT - VANN
- VANSTEENKISTE - VANSTEENWEGEN - VANDALISME - VAPOTAGE - VAR |
|
|
Van Aert Robbie C.M. ( ) : Méthodologiste
et statisticien néerlandais.
Il s'intéresse notamment au
biais de publication.

 |
VAN EART, R.C.M., WICHERTS, J.M. & VAN ASSEN, M.A.L.M.
(2016). Conducting meta-analyses on p-values :
Reservations and recommendations for applying p-uniform
and p-curve. Perspectives on Psychological Science, 11
(5), 713-729. |
VAN EART, R.C.M. & JACKSON, D. (2018). Multistep
estimators of the between-study variance : The
relationship with the Paule-Mandel estimator.
Statistics in Medicine, 37 (17), 2616-2629. |
VAN EART, R.C.M. & VAN ASSEN, M.A.L.M. (2018).
Examining reproducibility in psychology : A hybrid method
for combining a statistically significant original study
and a replication. Behavior Research Methods, 50
(4), 1515-1539. |
VAN EART, R.C.M. & VAN ASSEN, M.A.L.M. Viechtbauer
(2019). Statistical properties of methods based on the
Q-statistic for constructing a confidence interval for the
between-study variance in meta-analysis. Research
Synthesis Methods, 10 (2), 225-239 |
VAN EART, R.C.M., WICHERTS, J.M. & VAN ASSEN, M.A.L.M.
(2019). Publication bias examined in meta-analyses from
psychology and medicine : A meta-meta-analysis. PLOS
ONE, 14 (4), 1-32. [PDF] |
 |
 |
|
Van Audenrode Marc ( ) : Économiste
québécois d'origine belge, spécialisé dans l'étude de la concurrence
et du marché du travail. Il enseigne à l'Université
de Sherbrooke. Collaborateur de Fortin.

 |
BENITO-ALONSO, M.A., CONDIS, F. & VAN AUDENRODE, M. (1987). Arbitration models for solving multiobjective optimization. In Y. Sawaragi, K. Inoue, & H. Nakayama (Eds.), Toward interactive and intelligent decision support systems. Lecture notes in economics and mathematical systems (Vol 285). Berlin : Springer-Verlag. |
MULKAY, B. et VAN AUDENRODE, M. (1993).
Création, destruction d'emplois et chômage : le cas de la Belgique. Économie et Précision, 108, 19-29. [PDF] |
VAN AUDENRODE, M. (1994). Short-time compensation : job security, and employment contracts : evidence from selected oecd countries. Journal of Political Economy, 102 (1), 76-102. |
LAWARRÉE, J.P. & VAN AUDENRODE, M. (1996). Optimal contract, imperfect output observation, and limited liability. Journal of Economic Theory, 71 (2), 33-37. |
FORTIN, P. et VAN AUDENRODE, M. (2004). Sous-traitance,
emploi et salaires. Revue Gestion, 29, 33-37. |
|
 |
 |
|
|
|
Van Bergen Elsje ( ) : Psychologue finlandaise et spécialiste de l'étude de la littératie et de la dyslexie. Étudiante de De Jong. Collaboratrice
de Torppa.

 |
VAN BERGEN, E., VAN SWIETEN, L.M., WILLIAMS, J.H.G. &
MON-WILLIAMS, M. (2007). The effect of orientation on
prehension movement time. Experimental Brain
Research, 178 (2), 180-193. [PDF] |
VAN BERGEN, E., DE JONG, P.F., REGTVOORT, A., OORT, F.,
VAN OTTERLOO, S. & VAN DER LEIJ, A. (2011). Dutch
children at family risk of dyslexia : Precursors, reading
development, and parental effects. Dyslexia, 17 (1),
2-18. [PDF] |
VAN BERGEN, E., DE JONG, P.F., PLAKAS, A., MAASSEN, B.
& VAN DER LEIJ, A. (2012). Child and parental literacy
levels within families with a history of dyslexia. Journal
of Child Psychology & Psychiatry, 53 (1),
28-36. [PDF] |
VAN BERGEN, E., DE JONG, P.F., MAASSEN, B., KRIKHAAR, E.,
PLAKAS, A. & VAN DER LEIJ, A. (2014). IQ of
four-year-olds who go on to develop dyslexia. Journal
of Learning Disabilities, 47 (5), 475-484. [PDF] |
VAN BERGEN, E., DE JONG, P.F., MAASSEN, B. & VAN DER
LEIJ, A.J. (2014). The effect of parents' literacy skills
and children's preliteracy skills on the risk of dyslexia.
Journal of Abnormal Child Psychology, 42 (7),
187-200. [PDF] |
 |
 |
|
Van de Vliert Evert ( ) : Psychologue
organisationnel néerlandais et spécialiste de l'étude des conflits.
 |
VAN DE VLIERT, E. (1981). Siding and other reactions to a
conflict : A theory of escalation toward outsiders. Journal
of Conflict Resolution, 25, 495-520. |
VAN DE VLIERT, E. & KABANOFF, B. (1990). Toward
theory-based measures of conflict management. Academy
of Management Journal, 33, 199-209. |
VAN DE VLIERT, E. & EUWEMA, M.C. (1994). Agreeableness
and activeness as components of conflict behavior.
Journal of Personality & Social Psychology, 66,
674-687. |
VAN DE VLIERT, E., EUWEMA, M.C. & HUISMANS, S.E.
(1995). Managing conflict with a subordinate or a superior
: Effectiveness of conglomerated behavior. Journal of
Applied Psychology, 80, 271-281. |
VAN DE VLIERT, E., NAUTA, A, GIELBELS, E. & JANSENN,
O. (1999). Constructive conflict at work. Journal of
Organizational Behavior, 20 (4), 475-491. |
 |
 |
|
Van de water Elizabeth A. ( ) : Psychologue
américaine et spécialiste de l'étude du développement,
et notamment des effets de la télévision
sur les enfants.
 |
VAN DE WATER, E.A. & BICKMAN, D.S. (2004). The impact
of educational television on young childrenr's reading in
the context of family stress. Journal of Applied
Developmental Psychology, 25, 717-728. |
VAN DE WATER, E.A., BICKMAN, D.S., LEE, J.H., CUMMING,
H.M., WARTELLA, E.A. & IDEOUT, V.J. (2005). When the
television is always on. American Behavioral
Scientist, 48, 562-577. [PDF] |
VAN DE WATER, E.A., BICKMAN, D.S. & LEE, J.H. (2006).
Time well spent ? Relating television use to children's
free-time activities. Pediatrics, 117, 181-191.
[PDF] |
VAN DE WATER, E.A., RIDEOUT, V J., WARTELLA, E A., HUANG,
X., LEE, J H. & SHIM, M. (2007). Digital childhood :
Electronic media and technology use among infants,
toddlers, and preschoolers. Pediatrics, 119, 1006-1015.
[PDF] |
VAN DE WATER, E.A. (2009). The effect of video on
infant word learning : Can babies learn from
commercially available video ? A report prepared for
RTI International. Austin, TX. |
 |
 |
|
|
|
Van der Linden Martial (-2019) : Neurosychologue
et cognitiviste américain,
d'origine luxembourgeois, spécialisé dans l'étude du vieillissement
et de ses effets sur la mémoire
et la cognition.
Collaborateur Billieux et
Seron.
 |
VAN DER LINDEN, M. (1991). Une approche cognitive du
syndrome amnésique. Questions de Logopédie, 24,
33-56. |
VAN DER LINDEN, M. et HUPET, M. (1994). Le
vieillissement cognitif. Paris : Presses
Universitaire de France. |
VAN DER LINDEN, M., BRÉDART, S. & BEERTEN, A. (1994).
Age-related differences in updating working memory.
British Journal of Psychology, 85, 145–152. |
VAN DER LINDEN, M., BRÉDART, S., DEPOORTER, N. &
COYETTE, F. (1996). Semantic memory and amnesia : A case
study. Cognitive Neuropsychology, 13, 391-413. |
VAN DER LINDEN, M., D'ACREMONT, M., CESCHI, G. &
ZERMATTEN, A. (2007). Does impulsivity relate to perceived
dependence on and actual use of the mobile phone ?
Applied Cognitive Psychology, 21 (4), 527-537. |
 |
 |
|
Van der Linden Sander ( ) : Psychologue britannique et spécialiste de l'étude des croyances, de
la décision et du risque. Il s'intéresse aussi au consensus scientifique. Collaborateur Leiserowitz, Maibach et Rutjens.
 |
VAN DER LINDEN, S., LEISEROWITZ, A., FEINBERG, G.
& MAIBACH, E. (2014). How to communicate the
scientific consensus on climate change : plain facts,
pie charts or metaphors ? Climat Change, 126,
255–262. |
VAN DER LINDEN, S., LEISEROWITZ, A., FEINBERG, G.
& MAIBACH, E. (2015). The scientific consensus
on human-caused climate change as a gateway belief :
Experimental evidence. PLOS One, 10 (2), 1-8. [PDF] |
VAN DER LINDEN, S., LEISEROWITZ, A. & MAIBACH,
E. (2017). Gateway illusion or cultural cognition
confusion ? Journal of Communication 16 (05), |
VAN DER LINDEN, S., LEISOROWITZ, A. & MAIBACH,
E. (2018). Scientific agreement can neutralize the
politicization of facts. Nature Human Behavior, 2
(2-3), |
VAN DER LINDEN, S., MAIBACH, E. & LEISOROITZ, A.
(2019). Exposure to scientific consensus does not cause
psychological reactance. Environmental
Communication, 17 (1), 1-8. |
|
DIXON, G., HMIELOWSKI, J. & MA, Y. (2019).
Exposure to scientific consensus does not cause
psychological reactance. Environmental Communication,
17 (1), 9-15.
|
 |
 |
|
Van Der Meere Japp ( ) : Psychologue
néerlandais et spécialiste de l'étude du
trouble déficitaire de l'attention avec hyperactivité.
Collaborateur de Gross-Tsur,
Sergeant, Shalev
et Sonuga-Barke.

 |
VAN DER MEERE, J. & SERGEANT, J. (1988). Focused
attention in pervasively hyperactive children. Journal
of Abnormal Child Psychology, 16, 627-639. |
VAN DER MEERE, J., WEKKING, E. & SERGEANT, J. (1991).
Sustained attention and pervasive hyperactivity. Journal
of Child Psychology & Psychiatry, 32 (2),
275-284. |
VAN DER MEERE, J., HUGHES, K.A., BERGER, N. & SALLEE,
F.R. (1995). The effect of reward on sustained attention
in AD/HD children with and without CD. In J.A. Sergeant
(Ed.), European approach to hyperkinetic disorder
(pp. 241-253). Zurich Switzerland : Fotorotar. |
VAN DER MEERE, J., SHALEV, R., BORGER N. & GROSS-TSUR,
V. (1995). Sustained attention, activation and MPH in ADHD
: A research note. Journal of Child Psychology &
Psychiatry, 36, 697-703. |
VAN DER MEERE, J., MARZOCCHI, G.M. & DE MEO, T.
(2005). Response inhibition and attention deficit
hyperactivity disorder with and without oppositional
defiant disorder screened from a community sample. Developmental Neuropsychology, 28 (1), 459-472. |
 |
 |
|
Van Der Pligt Joop (1951-2015) : Psychosociologue
néerlandais et spécialiste de l'étude des attitudes.
Collaborateur de Eiser,
Rutjens, Spears et Zeelenberg.

 |
VAN DER PLIGT, J. & VAN DIJK, J.A. (1979).
Polarization and preference for judgmental labels. European
Journal of Psychology, 9, 233-241. [PDF] |
VAN DER PLIGT, J., EISER, J.R. & SPEARS, R. (1984).
Public attitudes to nuclear energy policy. Energy
Policy, 12, 302-305. [PDF] |
VAN DER PLIGT, J. (1994). Healthy thoughts about unhealthy
behaviour ? Psychology & Health, 9, 187-190.
[PDF] |
VAN DER PLIGT, J. (1996). Risk perception and
self-protective behaviour. European Psychologist, 1, 34-43.
[PDF] |
VAN DER PLIGT, J. (1998). Perceived risk and vulnerability
as predictors of precautionary health behaviour.
British Journal of Health Psychology, 3, 1-14. [PDF] |
 |
 |
|
Van Der Voort Tom H.A. ( ) : Psychosociologue
néerlandais et spécialiste de l'étude des effets psychologiques de
la télévision.
Collaborateur de Valkenburgh.
 |
VAN DER VOORT, T.H.A. & VOOIJS, M.W. (1990). Validity
of children’s direct estimates of time spent viewing. Journal
of Broadcasting & Electronic Media, 34 (1),
93–99. |
VAN DER VOORT, T.H.A. (1991). Television and the decline
of reading. Poetics : Journal of Empirical Research on
Literature, the Media & the Arts, 20 (1),
73–89. |
VAN DER VOORT, T.H.A., BEENTJES, W.J. & BOVILL, M.
(1998). Young people's ownership and uses of new and old
forms of media in britain and the Netherlands.
European Journal of Communication, 13 (4),
457-477. [PDF] |
VAN DER MOLEN, W.J.H. & VAN DER VOORT, T.H.A. (2000).
Children's and adults' recall of television and print news
in children's and adult news formats. Communication
Research, 27 (2), 132-160. |
POOL, M.M., VAN DER VOORT, T.H.A., BEENTJES, W.J. &
KOOLSTRA, C.M. (2000). Background television as an
inhibitor of performance on easy and difficult homework
assignments. Communication Research, 27 (2),
293-326. |
 |
 |
|
Van Dijk Eric ( ) : Psychosociologue
néerlandais et spécialiste de l'étude de la coopération
au sein des groupes et des
dilemmes sociaux.
Collaborateur de De Cramer,
Joireman,
Van Lange et Van Prooijen.
 |
VAN DIJK, E. & WILKE, H. (1993). Differential
interests, equity, and public good provision. Journal
of Experimental Social Psychology, 29, 1-16. |
VAN DIJK, E. & WILKE, H. (1994). Asymmetry of wealth
and public good provision. Social Psychology
Quarterly, 57, 352-359. |
VAN DIJK, E. & WILKE, H. (2000). Decision-induced
focusing in social dilemmas : Give-some, keep-some,
take-some, and leave-some games. Journal of
Personality & Social Psychology, 78, 92-104. |
VAN DIJK, E., VAN KLEEF, G. A., STEINEL, W. & VAN
BEEST, I. (2008). A social functional approach to emotions
in bargaining : When communicating anger pays and when it
backfires. Journal of Personality & Social
Psychology, 94, 600-614. |
VAN DIJK, E., DE KWAADSTENIET, E.W. & DE CREMER, D.
(2009). Tacit coordination in social dilemmas : The
importance of having a common understanding. Journal
of Personality & Social Psychology, 96, 665-678. |
 |
 |
|
Van Fraassen Bastiaan C. (Goes Pays-Bas 1941-) :
Philosophe et épistémologue
canadien d'origine néerlandaise. Il est l'un des chefs de file de
l'empirisme
constructif.

 |
VAN FRAASSEN, B.C. (1980). The scientific image.
Clarendon Press. |
VAN FRAASSEN, B.C. (1989). Laws and symmetry.
Oxford : Oxford University Press. |
VAN FRAASSEN, B.C. (2000). La fin de l'empirisme ? Revue
Philosophique de Louvain, 98, 449-479. [PDF] |
VAN FRAASSEN, B.C. (2000). The false hopes of traditional
epistemology. Philosophy & Phenomenological
Research, 60 (2), 253-280. [PDF] |
VAN FRAASSEN, B. (2001). Constructive empiricism now. Philosophical Studies, 106, 151-170. [PDF] |
|
LADYMAN, J. (2000). What's really wrong with constructive
empiricism : Van Fraassen and the metaphysics of modality.
British Journal for the Philosophy of Science 51,
837-856. |
FINE, A. (2001). The scientific image twenty years later.
Philosophical Studies 106, 107-122. |
ALSPECTOR-KELLY, M. (2004). Seeing the unobservable : Van
Fraassen and the limits of experience. Synthese, 140,
331-353. |
 |
 |
|
Van Gelder Tim ( ) : Philosophe
cognitiviste
australien. Étudiant de Haugeland.
 |
VAN GELDER, T. (1990). Compositionality : A connectionist
variation on a classical theme. Cognitive Science,
14, 355-384. [PDF] |
VAN GELDER, T. (1995). Is cognition categorization ? In
G.V. Nakamura, R. Taraban and D.L. Medin (Eds.), Categorization
by humans and machines (pp. 469-494). Academic :
San Diego. [PDF] |
VAN GELDER, T. (1995). What might cognition be, if not
computation ? Journal of Philosophy, 92 (7),
345-381. |
VAN GELDER, T. (1998). The roles of philosophy in
cognitive science. Philosophical Psychology, 11 (2),
117-136. [PDF] |
VAN GELDER, T. (2005). Teaching critical thinking : Some
lessons from cognitive science. College Teaching, 53
(1), 41-48. [PDF] |
 |
 |
|
Van Gijn Jen ( ) : Médecin et neurobiologiste spécialisé dans l'étude des réflexes, notamment du réflexe et du signe de Babinski.
 |
VAN GIJN, J. (1975). Babinski response : stimulus and
effector. Journal of Neurology, Neurosurgery, &
Psychiatry, 38, 180-186. |
VAN GIJN, J. & BONKE, B. (1977). Interpretation of
plantar reflexes : biasing effects of other signs and
symptoms. Journal of Neurology, Neurosurgery, &
Psychiatry, 40, 787-789. |
VAN GIJN, J. (1978). The Babinski sign and the pyramidal
syndrome. Journal of Neurology, Neurosurgery, &
Psychiatry, 41, 865-873. |
VAN GIJN, J. (1995). The Babinski reflex. Postgraduate
Medical Journal, 71 (841), 645-648. [PDF] |
VAN GIJN, J. (1996). The Babinski sign : The first hundred
years. Journal of Neurology, 243 (10), 675-683. |
 |
 |
|
Van Haaren Frans ( ) : Psychologue
béhavioriste
néérlandais et spécialiste de la
pharmacologie behaviorale.
 |
VAN HAARAN, F. & VAN DE POLL, N.E. (1984). The effect
of a choice alternative on sex differences in passive
avoidance behavior. Physiology & Behavior, 32,
211- 215. |
VAN HAARAN, F. & VAN DE POLL, N.E. (1986). Effectsof
light intensity on passive avoidance behavior of male and
female Wistar rats. Physiology & Behavior, 36,
123- 125. |
VAN HAARAN, F., WOUTERS, M. & VAN DE POLL, N.E.
(1987). Absence of behavioral differences between male and
female rats in different radial-maze procedures. Physiology
& Behavior, 39, 409-412. |
VAN HAARAN, F., VAN HEST, A. & VAN DE POLL, N.E.
(1987). Acquisition and reversal of a discriminated
autoshaped response in male and female rats : Effects of
long or short and fixed or variable intertrial interval
durations. Learning & Motivation, 18,
220-233. |
VAN HAARAN, F., VAN HEST, A. & VAN DE POLL, N.E.
(1988). Self-control in male and female rats. Journal
of the Experimental Analysis of Behavior, 49 (2),
201-211. [PDF] |
 |
 |
|
Van Hiel Alain ( ) : Psychosociologue belge et spécialiste de l'étude des idéologies
(conservatisme, autoritarisme,
etc.).
 |
VAN HIEL, A. & MERVIELDE, I. (2005). Authoritarianism
and social dominance orientation : Relationships with
various forms of racism. Journal of Applied Social
Psychology, 35, 2323-2344. |
VAN HIEL, A., DE CREMER, D. & STOUTEN, J. (2008). The
personality basis of justice : The Five-factor Model as an
integrative model of personality and procedural fairness
effects on cooperation. European Journal of
Personality, 22 (6), 519-539. |
VAN HIEL, A. & VANTEENKISTE, M. (2009). Ambitions
fulfilled ? The effects of intrinsic and extrinsic goal
attainment on older adults' ego-integrity and death
attitudes. International Journal of Ageing & Human
Development, 68, 27-51. |
VAN HIEL, A. & BREBELS, L. (2011). Conservatism is
good for you : Cultural conservatism protects self-esteem
in older adults. Personality & Individual
Differences, 50, 120-123. |
VAN HIEL, A. (2012). A psycho-political profile of party
activists and left-wing and right-wing extremists. European
Journal of Political Research, 51 (2), 166-203. [PDF] |
 |
 |
|
Van Houten Ron ( ) : Psychologue
béhavioriste américain
et spécialiste de l'éducation. Il s'intéresse également à la conduite
automobile et à la mise
en relief. Collaborateur de Axelrod,
Bailey, Favell,
Foxx, Iwata, Lovaas
et Rolider.

 |
VAN HOUTEN, R., NAU, P.A., MACKENZIE-KEATING, S., SAMEOTO,
D. & COLAVECCHIA, B. (1982). Analysis of some
variables influencing the effectiveness of reprimands. Journal
of Applied Behavior Analysis, 15 (1), 65-83. [PDF] |
VAN HOUTEN, R., ROLIDER, A., FRIEDMAN, R., BECKER, M.,
CHALODOVSKY, I. & SCHERER, M. (1985). Large-scale
reductions in speeding and accidents in Canada and Israel
: A behavioral ecological perspective. Journal of
Applied Behavior Analysis, 18 (1), 87-93. [PDF] |
VAN HOUTEN, R. & VAN HOUTEN, F. (1987). The effects of
a specific prompting sign on speed reduction. Accident
Analysis & Prevention, 19, 115-117. |
VAN HOUTEN, R. & ROLIDER, A. (1989). An analysis of
several variables influencing flash card instruction.
Journal of Applied Behavior Analysis, 22 (1),
111-118. [PDF] |
VAN HOUTEN, R., MALENFANT, J.E.L., AUSTIN, J. &
LEBBON, A. (2005). The effects of a seatbelt-gearshift
delay prompt on the seatbelt use of motorists who do not
regularly wear seatbelts. Journal of Applied Behavior
Analysis, 38 (2), 195-203. [PDF] |
 |
 |
|
Van Ijzendoorn Marinus (Tiel-) : Psychologue
nérlandais et spécialiste du développement, notamment de la situation
étrange et de la guerre.
Collaborateur de Vaughn.

 |
VAN IJZENDOORN, M.H., GOOSSENS, F.A., KROONENBERG, P.M.
& TAVECCHIO, L.W.C. (1985). Dependent attachment.
B4-children in the strange situation. Psychological
Reports, 57, 439-451. |
VAN IJZENDOORN, M.H. (1986). The cross-cultural validity
of the strange situation from a Vygotskian perspective. The
Behavioral & Brain Sciences, 9, 558-559. |
VAN IJZENDOORN, M.H. (1990). The relation of moral
judgment to authoritarianism, sexism, ethnocentrism, and
concern about nuclear war. Journal of Moral
Education, 19, 38-48. |
VAN IJZENDOORN, M.H. & KROONENBERG, P.M. (1990).
Cross-cultural consistency of coding the strange
situation. Infant Behavior & Development, 13,
469-485. [PDF] |
VAN IJZENDOORN, M.H. & SCHUENGEL, C. (1996). The
measurement of dissociation in normal and clinical
populations : meta-analytic validation of the dissociative
experiences scale (DES). Clinical Psychology Review,
16 (5), 365-382. [PDF] |
 |
 |
|
Van Kleef Gerben A. ( ) : Psychologue
organisationnel néerlandais et spécialiste de l'étude des
émotions.
 |
VAN KLEEF, G.A., ANASTASOPOULOU, C. & NIJSTAD, B.A.
(2010). Can expressions of anger enhance creativity ? A
test of the emotions as social information (EASI) model. Journal
of Experimental Social Psychology, 46, 1042-1048.
[PDF] |
VAN KLEEF, G.A., HOMAN, A.C., BEERSMA, B., VAN
KNIPPENBERG, D., VAN KNIPPENBERG, B. & DAMEN, F.
(2009). Searing sentiment or cold calculation : The
effects of leader emotional displays on team performance
depend on follower epistemic motivation. Academy of
Management Journal, 52, 562-580. |
VAN KLEEF, G.A. (2010). The emerging view of emotion as
social information. Social & Personality
Psychology Compass, 4, 331-343. |
VAN KLEEF, G.A., De BREU, C.K.W. & MANSTEAD, A.S.R.
(2010). An interpersonal approach to emotion in social
decision making : The emotions as social information
model. Advances in Experimental Social Psychology,
42, 45-96. |
VAN KLEEF, G.A. VAN DOORN, E.A., HEERDINK, M.W. &
KONING, L.F. (2011). Emotion is for influence. European
Review of Social Psychology, 22, 114-163. |
 |
 |
|
Van Laar Colette ( ) : Psychosociologue
néerlandaise, spécialisée dans l'étude du racisme
et des préjugés, notamment
en lien avec la réussite
scolaire, l'identité
sociale et le statut
socioéconomique. Collaboratrice de Sears, Sidanius et
Pratto.
 |
VAN LAAR, C., SIDANIUS, J., RABINOWITZ, J. & SINCLAIR,
S. (1999). The three R's of academic achievement :
Reading, riting, and racism. Personality & Social
Psychology Bulletin, 25, 139-151. |
VAN LAAR, C. & SIDANIUS, J. (2001). Social status and
the academic achievement gap : A social dominance
perspective. Social Psychology of Education, 4, 235-258.
[PDF] |
VAN LAAR, C., LEVIN, S. & SINCLAIR, S. & SIDANIUS,
J. (2005). The effect of college roommate contact on
ethnic attitudes and behaviors. Journal of
Experimental Social Psychology, 41, 329-345. |
VAN LAAR, C., DERKS, B. & ELLEMERS, N. & BLEEKERS,
D. (2010). Valuing social identity : Consequences for
motivation and performance in low status groups.
Journal of Social Issues, 66 (3), 602-617. |
VAN LAAR, C., DERKS, B. & ELLEMERS, N. (2013).
Motivation for education and work in young Muslim women :
The importance of value for ingroup domains. Basic
& Applied Social Psychology, 35 (1), 64-74. [PDF] |
 |
 |
|
Van Lange Paul Alphons Maria (1961-) :
Psychosociologue néerlandais et spécialiste de l'étude de la
coopération au sein des
groupes et des dilemmes sociaux. Collaborateur de Balliet,
Joireman, Kelley,
Kuhlman, Messick,
Parks, Sanna, Van
Dijk et Van Vugt.
 |
VAN LANGE, P.A.M. & KUHLMAN, D.M. (1994). Social value
orientations and impressions of partner's honesty and
intelligence : A test of the might versus morality effect.
Jourrnal of Personality & Social Psychology, 67 (1),
126-141. [PDF] |
VAN LANGE, P.A.M., OTTEN, W., De BRUIN, E.M.N. &
JOIREMAN, J.A. (1997). Development of prosocial,
individualistic, and competitive orientations : Theory and
preliminary evidence. Journal of Personality &
Social Psychology, 73, 733-746. [PDF] |
VAN LANGE, P.A.M. & VISSER, K. (1999). Locomotion in
social dilemmas : How people adapt to cooperative,
tot-for-tat, and noncooperative partners. Journal of
Personality & Social Psychology, 77 (4),
762–773. [PDF] |
VAN LANGE, P.A.M. & JOIREMAN, J. A. (2008). How we can
promote behavior that serves all of us in the future. Social
Issues & Policy Review, 2 (1), 127-157. [PDF] |
VAN LANGE, P.A.M., JOIREMAN, J., PARKS, C.D. & VAN
DIJK, E. (2013). The psychology of social dilemmas : A
review. Organizational Behavior & Human Decision
Processes, 120, 125-141. [PDF] |
 |
 |
|
Van Leeuwenhoek Antoni (Delft 1632-1723 Delft) : Savant et inventeur néerlandais. Il a contribué à l'invention du microscope en fabriquant de puissantes lentilles (x20-50). On lui doit aussi la découverte du spermatozoïde (1677) et quelques hypothèses sur l'existence des bactéries. Il fut également le premier a décrire la structure d'une cellule vivante.
 |
VAN LEEUWENHOEK, A. (1695). Arcana naturae detecta.Delphis Batavorum. [PDF]
|
|
|
|
|
|
RUESTOW, E.G. (1984). Leeuwenhoek and the campaign against
spontaneous generation. Journal of the History of
Biology, 17 (2), 225-248. |
BOUTIBONNES, P. (1999). L'oeil de Leeuwenhoek et
l'invention de la microscopie. Alliage, 39,
58-66. |
 |
 |
|
Van Noppen Barbara ( ) :. Psychologue cognitivo-béhavioriste
américaine, spécialisée dans l'étude et le traitement du du trouble obsessif-compulsif. Collaboratrice de Steketee.
 |
VAN NOPPEN, B., STEKETEE, G., McCORCKLE, B.H. & PATO,
M. (1997). Group and multifamily behavioral treatment for
OCD : A pilot study. Journal of Anxiety Disorders, 11,
431-446. |
VAN NOPPEN, B., PATO, M.T., MARSLAND, R. & RASMUSSEN,
S.A. (1998). A time-limited behavioral group for treatment
of obsessive-compulsive disorder. Journal of
Psychotherapy Practice & Research, 7, 272-280. |
VAN NOPPEN, B. (2002). Multifamily Behavioral Treatment
(MFBT) for Obsessive Compulsive Disorder (OCD) : A
step-by-step model. Brief Treatment & Crisis
Intervention 2 (2), 107-122. |
VAN NOPPEN, B. & STEKETEE, G. (2003). Family responses
and multi-family behavioral treatment for obsessive
compulsive disorder. Journal of Brief Treatment &
Crisis Intervention, 25, 43-50. |
VAN NOPPEN, B. & STEKETEE, G. (2009). Testing a
conceptual model of patient and family predictors of
obsessive compulsive disorder (OCD) symptoms.
Behaviour Research & Therapy, 47, 18-25. |
 |
 |
|
Van Prooijen Jan Willem ( ) : Psychologue
organisationnel néerlandais et spécialiste de l'étude des théories
du complot. Collaborateur de
Douglas, Van Dijk et
Van Vugt.
 |
VAN PROOIJEN, J.-W. & JOSTMANN, N. B. (2013). Belief
in conspiracy theories : The influence of uncertainty and
perceived morality. European Journal of Social
Psychology, 43, 109-115. |
VAN PROOIJEN, J.-W. & ACKER, M. (2015). The influence
of control on belief in conspiracy theories : Conceptual
and applied extensions. Applied Cognitive Psychology,
29, 753-761. |
VAN PROOIJEN, J.-W. (2016). Sometimes inclusion breeds
suspicion : Self-uncertainty and belongingness predict
belief in conspiracy theories. European Journal of
Social Psychology, 46, 267-279. |
VAN PROOIJEN, J.-W. (2017). Why education predicts
decreased belief in conspiracy theories. Applied
Cognitive Psychology, 31, 50-58. |
VAN PROOIJEN, J.-W. & VAN VUGT, M. (2018). Conspiracy
theories : Evolved functions and psychological mechanisms.
Perspectives on Psychological Science, 13 (6)
770-788. [PDF] |
 |
 |
|
|
|
Van Riper Charles Gage (1905-1994) : Psychologue américain et spécialiste du bégaiement.

 |
VAN RIPER, C. (1936). Study of thoracic breathing of
stutterers during expectancy and occurrence of stuttering
spasms. Journal of Speech Disorders, 1, 61-72. |
VAN RIPER, C. (1947/54). Speech correction :
Principles and methods. New York : Prentice Hall. |
VAN RIPER, C. (1958). Experiments in stuttering therapy.
In J. Eisenson (Ed.), Stuttering : A symposium (pp.
273-390). New York : Harper & Row. |
VAN RIPER, C. (1971). The nature of stuttering.
Englewood Cliffs, NJ : Prentice-Hall. |
VAN RIPER, C. (1990). Final thoughts about stuttering.
Journal of Fluency Disorders, 15, 317-318. |
 |
 |
|
Van Schaik Carel ( ) : Primatologue anglais et spécialiste de l'étude de l'orang-outan.
Collaborateur de Dunbar,
Jaeggi et
Wich.
 |
VAN SCHAIK, C.P. (1982). Why are diurnal primates living in
groups ? Behaviour, 87, 120-144. |
VAN SCHAIK, C.P. & DUNBAR, R.I. (1990). The evolution
of monogamy in large primates : A new hypothesis and some
crucial tests. Behaviour, 115 (1-2), 30-62. |
VAN SCHAIK, C.P. (1999). The socioecology of
fission-fusion sociality in orangutans. Primates, 40,
69-86. |
VAN SCHAIK, C.P., ANCRENACZ, M., BORGEN, G., GALDIKAS, B.,
KNOTT, C.D., SINGLETON, I., SUZUKI, A., UTAM, S.S. &
MERRILL, M. (2003). Orangutan cultures and the evolution
of material culture. Science, 299, 102-105. |
VAN SCHAIK, C.P. (2003). Local traditions in oragutans and
chimpanzees : Social learning and social tolerance. In
D.M. Fragaszy and S, Perry (Eds), The biology of
traditions : Models and evidence (pp. 297-328).
Cambridge : Cambridge University Press. |
 |
 |
|
Van Voorhis Frances L. ( ) : Psychologue
américaine et spécialiste de
l'implication parentale, notamment lors des devoirs et des leçons. Collaboratrice de Epstein, Sanders et
Sheldon.
 |
VAN VOORHIS, F.L. (2001). Interactive science homework :
An experiment in home and school connections. NASSP
Bulletin, 85 (627), 20-32. |
VAN VOORHIS, F.L. (2003). Interactive homework in middle
school : Effects on family involvement and students'
science achievement. Journal of Educational Research,
96 (9), 323-339. |
VAN VOORHIS, F.L. (2004). Reflecting on the homework
ritual : Assignments and designs. Theory into
Practice, 43, 205-212. |
VAN VOORHIS, F.L. (2011). Adding families to the homework
equation : A longitudinal study of mathematics
achievement. Education & Urban Society, 43, 313-338. |
VAN VOORHIS, F.L. (2011). Costs and benefits of family
involvement in homework : Lessons learned from students
and families. Journal of Advanced Academics, 22,
220-249. |
 |
 |
|
Van Vugt Mark (Amsterdamm 1957-) :
Psychologue
organisationnel néerlandais et spécialiste de l'étude du leadership
et des dilemmes sociaux. Collaborateur de Balliet,
De Cramer, Dunbar, Joireman,
Johnson, Van Lange et Van
Prooijen.
 |
VAN VUGT, M. & SAMUELSON, C.D. (1999). The impact of
metering in a natural resource crisis : A social dilemma
analysis. Personality & Social Psychology
Bulletin, 25, 731-745. [PDF] |
VAN VUGT, M., JEPSON, S., HART, C. & DE CREMER, D.
(2004). Autocratic leadership in social dilemmas : A
threat to group stability. Journal of Experimental
Social Psychology, 40, 1-13. [PDF] |
VAN VUGT, M. (2006). The evolutionary origins of
leadership and followership. Personality & Social
Psychology Review, 10, 354-372. [PDF] |
VAN VUGT, M., DE CREMER, D. & JANNSEN, D. (2007).
Gender differences in cooperation and competition : The
male warrior hypothesis. Psychological Science, 18,
19-23. [PDF] |
VAN VUGT, M. & SPISAK, B.R. (2008). Sex differences in
leadership emergence during competitions within and
between groups. Psychological Science, 19,
854-858. [PDF] |
 |
 |
|
Vandalisme : Altération ou destruction de la propriété d'autrui, sans permission.
Vandalism.
| |
|
GREENBERG, B. (1974). School vandalism : Its effects and
paradoxical solutions. Crime Prevention Review, 1
(2), 11-18. |
MAYER, G.R. & BUTTERWORTH, T.A. (1979). Preventive
approach to school violence and vandalism : An
experimental study. The Personnel & Guidance
Journal, 57, 436-441. |
MAYER, G.R. & BUTTERWORTH, T. (1981). Evaluating a
preventive approach to reducing school vandalism. Phi
Delta Kappan, 62, 498-499. |
MAYER, G.R., BUTTERWORTH, T., NAKPAKTITIS, M. &
SULZER-AZAROFF, B. (1983). Preventing school vandalism and
improving discipline : a three-year study. Journal of
Applied Behavior Analysis, 16 (4), 355-369. [PDF] |
MAYER, G.R., NAKPAKTITIS, M., BUTTERWORTH, T. &
HOLLINGSWORTH, P. (1987). A search for the elusive setting
events of school vandalism : A corelational study.
Education & Treatment of Children, 10, 259-270. |
MAYER, G.R. & SULZER-AZAROFF, B. (1990). Interventions
for vandalism. In G. Stoner, M.R. Shinn & H.M. Walker
(Eds.), Interventions for achievement and behavior
problems (pp. 599-580). Washington, DC : National
Association for School Psychologists. |
 |
 |
|
VandeWalle Don ( ) : Psychologue
organisationnel américain, spécialisé dans l'étude de la motivation
au travail.
 |
VANDEWALLE, D., VAN DYNE, L. & KOSTOVA, T. (1995).
Psychological ownership : An empirical
examination of its consequences. Group &
Organization Management, 20, 210-226. |
VANDEWALLE, D., BROWN, S., CRON, W. & SLOCUM, J.
(1999). The influence of goal orientation and
self-regulation tactics on sales performance. Journal
of Applied Psychology, 84, 249-259. |
VANDEWALLE, D., CRON, W. & SLOCUM, J. (2001). The role
of goal orientation following performance feedback.
Journal of Applied Psychology, 86 (4), 629-640. |
VANDEWALLE, D. (2001). Goal orientation : Why wanting to
look successful doesn’t always lead to success. Organizational
Dynamics, 30 (2), 162-171. |
VANDEWALLE, D. (2003). A goal orientation model of
feedback-seeking behavior.
Human Resource Management Review, 13, 581-604. |
 |
 |
|
Vandelac Louise ( ) : Sociologue et féministe québécoise, spécialisée dans l'étude de la santé
et de l'environnement.
Collaboratrice de
Descarries.

 |
VANDELAC, L. (1996). Technologies de la reproduction :
l'irresponsabilité des pouvoirs publics et la nôtre. Revue
Sociologie et Sociétés, 28 (2), 59-75. |
VANDELAC, L. (2001). Enjeux cachés. Le cheval de troie des
technologies de reproduction. Magazine L'Émilie,
1455. |
VANDELAC, L. (2001). La ZLEA, un marché de dupes. Le
bouquet écologique, Réseau québécois des groupes
écologistes, 14 (4), 4-7. |
VANDELAC, L. (2001). Les polluants persistants ou l'art de
s'empoissonner la santé! Dans Agenda des femmes
(p. 125-129). Montréal : Éditions du Remue-Ménage. |
VANDELAC, L. (2001). Pour une écologie politique du
vivant. Dans M. Venne (Dir.), La révolution génétique
(p. 141-163). Québec : Presses de l'Université Laval. |
 |
 |
|
Vann Seralynne D. ( ) : Neuropsychologue
anglaise, spécialiste de l'étude du corps mamillaire et de son rôle dans le fonctionnement de la mémoire.
Collaboratrice de Aggleton
et Yonelinas.
 |
VANN, S.D. & AGGLETON, J.P. (2003). Evidence of a
spatial encoding deficit in rats with lesions of the
mammillary bodies or mammillothalamic tract. Journal
of Neuroscience, 23 (8), 3506-3514. [PDF] |
VANN, S.D., SAUNDERS, R.C. & AGGLETON, J.P. (2007).
Distinct, parallel pathways link the medial mammillary
bodies to the anterior thalamus in macaque monkeys. European
Journal of Neuroscience, 26, 1575-1586. [PDF] |
VANN, S.D., TSIVILIS, D, DENBY, C.E., QUAMME, J.R.,
YONELINAS, A.P., AGGLETON, J.P., MONTALDI, D. & MAYES,
A.R. (2009). Impaired recollection but spared familiarity
in patients with extended hippocampal system damage
revealed by 3 convergent methods. Proceedings of the
National Academy of Sciences, 106, 5442-5447. [PDF] |
VANN, S.D. (2010). Re-evaluating the role of the
mammillary bodies in memory. Neuropsychologia, 48, 2316-2327.
[PDF] |
VANN, S.D. & NELSON, A.J.D. (2015). The mammillary
bodies and memory : more than a hippocampal relay. Progress
in Brain Research, 219, 163-185. [PDF] |
 |
 |
|
Vansteenkiste Maarten ( ) : Psychosociologue
belge et spécialiste de l'étude de la personnalité.
Collaborateur de Deci, Duriez, Luyton, Ryan Sheldon et Soenens.
 |
VANSTEENKISTE, M., SIMONS, J., LENS, W., SHELDON, K.A.
& DECI, E.L. (2004). Motivating learning, performance,
and persistence : The synergistic effects of intrinsic
goal contents and autonomy-supportive contexts. Journal
of Personality & Social Psychology, 87, 246-260. |
VANSTEENKISTE, M., SOENENS, B. & MATOS, L. (2005).
Examining the motivational impact of intrinsic versus
extrinsic goal framing and internally controlling versus
autonomy-supportive communication style upon early
adolescents' academic achievement. Child Development,
76, 483-501. |
VANSTEENKISTE, M., ZHOU, M., LEN, W. & SOENENS, B.
(2005). Experiences of autonomy and control among Chinese
learners : Vitalizing or immobilizing ? Journal of
Educational Psychology, 97, 468-483. |
VANSTEENKISTE, M. & RYAN, R.M. (2013). On
psychological growth and vulnerability : Basic
psychological need satisfaction and need frustration as a
unifying principle. Journal of Psychotherapy
Integration, 23 (3), 263-280. [PDF] |
VANSTEENKISTE, M., RYAN, R.M. & SOENENS, B. (2020).
Basic psychological need theory : Advancements, critical
themes, and future directions. Motivation &
Emotion, 44, 1-31. |
 |
 |
|
Vansteenwegen Alfons (Louvain 1941-) : Psychologue
et sexologue belge,
spécialisé dans l'étude de la communication
et dans la thérapie
de couple.
 |
VANSTEENWEGEN, A. (1976). L'importance de l'attitude
empirique en thérapie familiale et sexuelle : résultats de
thérapies de couples et de sexothérapies. In Recherche
et formation en Sexologie (p. 26-34). Institut
Interfacultaire des Sciences Familiales et Sexologiques.
Université de Louvain. |
VANSTEENWEGEN, A. (1981). Apprendre à négocier dans un
couple : entraînement à la dispute constructive. Thérapie
Familiale, 2, 339-349. |
VANSTEENWEGEN, A. (1997). Do marital therapists do what
they say they do ? A comparison between experiential and
communication couple therapy. Sexual & Marital
therapy, 12, 35-43. |
VANSTEENWEGEN, A. (1998). Helpfulness of therapist verbal
interventions in couple therapy. Sexual & Marital
Therapy, 1, 15-20. |
VANSTEENWEGEN, A. (1998). Divorce after couple therapy :
an overlooked perspective of outcome research. Journal
of Sex & Marital Therapy, 24, 57-64. |
 |
 |
|
|
|
Vapoter : Vapotage : Comportement,
semblable à celui de fumer,
qui consiste à produire de la vapeur d'eau au moyen d'une
cigarette dite «électronique». Contrairement au comportement de
fumer, vapoter ne produit aucune combustion, car le liquide que
l'on ajoute à la vapoteuse ne contient aucun tabac/goudron. Par contre, comme la cigarette, on ajoute de la nicotine à ce liquide, ce qui contribue fortement (mais non totalement) à la dépendance des usagers réguliers. Le vapotage crée aussi une dépendance aux renforcements sociaux que l'on obtient en fumant avec d'autres adeptes du vapotage ou simplement en évitant une situation désagréable en s'isolant pour faire de la vapeur.
= Cigarette électronique.
*Fumer.
Vape, vaporize, vaping, E-cigarette.
|
|
|
BOSTEAN, G., TRINIDAD, D.R. & McCARTHY, W.J. (2015).
E-cigarette use among never-smoking California students. American Journal of Public Health, 105, 2423-2425. |
HABIB, E., HELALY, M., ELSHAER, A., SRIWI, D., AHMAD,
M.S., MOHAMED, M.I. & OBEIDAT, A. (2020). Prevalence
and perceptions of e-cigarette use among medical students
in a Saudi University. Journal of Family Medicine
& Primary Care, 9, 3070-3075. |
BRANDON, T.H., GONIEWICZ, M.L., HANNA, N.H. HATSUKAMI,
D.K., HERBST, R.S. HOBIN, J.A., OSTROFF, J.S., SHIELDS,
P.G., TOLL, B.A., TYNE, C.A., VISWANATH, K. & WARREN,
G.W. (2015). Electronic nicotine delivery systems : a
policy statement from the American Association for Cancer
Research and the American Society of Clinical Oncology. Journal of Clinical Oncology, 33, 952-963. |
|
CHEN, C., ZHUANG, Y.L. & ZHU, S.H. (2016). E-cigarette
design preference and smoking cessation : a U.S.
population study. American Journal of Preventive
Medicine, 51, 356-363. |
OVERBEEK, D.L., KASS, A.P., CHIEL, L.E., BOYER,
E.W. & CASEY, A.M. (2020). A review of toxic effects
of electronic cigarettes/vaping in adolescents and young
adults. Critical Reviews in Toxicology, 50, 531-538. |
BEST, C., HASEEN, F., CURRIE, D., OZAKINCI. G.,
MACKINTOSH, A.-M., STEAD, M., EADIE, D., MACGREGOR, A.,
PEARCE, J., AMOS, A., FRANK, J. & HAW, S. (2017).
Relationship between trying an electronic cigarette and
subsequent cigarette experimentation in Scottish
adolescents : a cohort study. Tobacco Control, 27,
373-378. |
O'BRIEN, D, LONG, J, QUIGLEY, J., LEE, C.,
McCARTHY, A. & KAVANGH, P. (2021). Association between
electronic cigarette use and tobacco cigarette smoking
initiation in adolescents : a systematic review and
meta-analysis. BMC Public Health, 21, 954. |
TRIVERS, K.F., PHILLIPS, E., GENTZKE, A.S., TYNAN, M.A.
& NEFF, L.J. (2018). Prevalence of cannabis use in
electronic cigarettes among US youth. JAMA Pediatry,
172, 1097-1099. |
ALOTAYBI, M., ALZAHRANI, S.S., ALGETHMI, A.M., ALAMRI,
N.S., NATTO, Y.S., HASHIM, S.T., ALTAMMAR, A., ALZUBAIDI,
A.S., ALZAHRANI, I.B. & ALGHAMDI, A.A. (2022).
E-cigarettes and vaping : A smoking cessation method or
another smoking innovation ? Cureus, 14 (12), 1-6.
[PDF]
|
EAST, K., HITCHMAN, S.C., BAKOLIS, I., WILLIAM, S,
CHEESMAN, H., ARNOTT, D. & McNEILL, A. (2018). The
association between smoking and electronic cigarette use
in a cohort of young people. Journal of Adolescence
Health, 62, 539-547. |
|
SMETS, J., BAEYENS, F., CHAUMONT, M., ADRIAENS, K. & VAN GUCHT. D. (2019). When less is more : vaping low-nicotine vs. high-nicotine e-liquid is compensated by increased wattage and higher liquid consumption. JInternational Journal of Environmental Research and Public Health, 16 J(5), [723], 1-18. [PDF] |
|
|
 |
Voir aussi Nicotine,
Dépendance et
Fumer |
 |
|
| VARGAS
- VARIABILITÉ -
VARIABLE - VARIATION - VAUCLAIR
- VAUGHN - VAUGHAN
- VAUGEOIS - VE |
Varela Francisco (Santiago 1946-2001 Paris) :
Biologiste et philosophe
chilien, spécialisé dans l'étude de l'inscription corporelle de l'esprit. Collaborateur de Rosch.
 
 |
VARELA, F., (1988). Invitation aux sciences
cognitives. Paris : Seuil. |
VARELA, F., (1989). Autonomie et connaissance : essai
sur le vivant. Paris : Seuil. |
VARELA, F., THOMPSON, E. & ROSCH, E. (1991/93). The
embodied mind : Cognitive science and human experience /
L'inscription corporelle de l'esprit : sciences
cognitives et expérience humaine. Cambridge, MA :
MIT Press/Paris : Éditions du Seuil. |
VARELA, F. et MATURANA, H. (1994). L'arbre de la
connaissance : racines biologiques de la compréhension
humaine. Paris, Addison-Wesley. |
VARELA, F., (1996). Quel savoir pour l'éthique ?
Action, sagesse et cognition. Paris : La
Découverte. |
 |
 |
|
|
|
Vargas Ernest A. ( ) : Psychologue
béhavioriste américain
et spécialiste de l'étude des règles
et du comportement
verbal. Collaborateur de Fraley
et Vargas.
 |
VARGAS, E.A. & FRALEY, L.E. (1976). Process and
structure : Reorganizing the university for instructional
technology. Instructional Science, 5, 303-324. |
VARGAS, E.A. (1985). The ABP contingency. The
Behavior Analyst, 8 (1), 131-132. [PDF] |
VARGAS, E.A. (1988). Verbally-governed and event-governed
behavior. The Analysis of Verbal Behavior, 6,
11-22. [PDF] |
VARGAS, E.A. & VARGAS, J.S. (1991). Programmed
instruction : What it is and how to do it. Journal of
Behavioral Education, 1, 235-252. |
VARGAS, E.A. (2013). The importance of form in Skinner's
analysis of verbal behavior and a further step. The
Analysis of Verbal Behavior, 29, 167-183. [PDF] |
 |
 |
|
Vargas
Julie S. (Minneapolis 1938-) : Béhavioriste
américaine et spécialiste de l'éducation.
Fille de Skinner.
Collaboratrice de Barrett,
Binder, Engelmann,
Vargas et
Watkins.
 
 |
VARGAS, J.S. (1973). Writing worthwhile behavioral
objectives. New York : Harper & Row. |
VARGAS, J.S. (1990). Cognitive analysis of language and
verbal behavior : Two separate fields. In L.J. Hayes &
P.N. Chase (Eds.), Dialogues on Verbal Behavior (pp.
197-201). Reno, NV : Context Press. |
VARGAS, J.S. (2004). A daughter’s retrospective of B.F.
Skinner. The Spanish Journal of Psychology, 7
(2), 135-140. [PDF]
|
VARGAS, J.S. (2004). Contingencies over B.F. Skinner's
discovery of contingencies. European Journal of
Behavior Analysis, 5, 137-142. [PDF] |
VARGAS, J.S. (2009). Behavior analysis for effective
teaching. Routledge. |
 |
 |
|
Variabilité : Ce qui n'est pas constant, qui oscille autour d'un
axe, d'un point central, d'un
point d'équilibre. Variability.
|
Variabilité cognitive :
Cognitive variability.
| |
|
SIEGLER, R.S. (1994). Cognitive variability : A key to
understanding cognitive development. Current
Direction in Psychological Science, 3, 1-5. [PDF] |
SIEGLER, R.S. & SHIPLEY, C. (1995). Variation,
selection, and cognitive change. In T. Simon & G.
Halford (Eds.), Developing cognitive competence : New
approaches to process modeling (pp. 31-76).
Hillsdale, NJ : Erlbaum. [PDF] |
|
 |
Voir aussi Variation
et Cognition |
 |
|
Variabilité comportementale : Operant variability, behavioral variability, learned variability,
behavioral diverstiy, to vary.
| |
|
ANTONITIS, J.J. (1951). Response variability in the white
rat during conditioning, extinction, and reconditioning. Journal
of Experimental Psychology, 42, 273-281. |
MILLER, N. & NEURINGER, A. (2000). Reinforcing
variability in adolescents with autism. Journal of
Applied Behavior Analysis, 33 (2), 151-165. [PDF] |
GOETZ, E.M. & BAER, D.M. (1973). Social control of
form diversity and the emergence of new forms in
children's blockbuilding. Journal of Applied Behavior
Analysis, 6, 209-217. [PDF] |
NEURINGER, A., KORNELL, N. & OLUFS, M. (2001).
Stability and variability in extinction. Journal of
Experimental Psychology : Animal Behavior Processes, 27,
79-94. |
VOGEL, R. & ANNAU, Z. (1973). An operant
discrimination task allowing variability of reinforced
response patterning. Journal of the Experimental
Analysis of Behavior, 20 (1), 1-6. [PDF] |
ROSS, C. & NEURINGER, A. (2002). Reinforcement of
variations and repetitions along three independent
response dimensions. Behavioral Processes, 57 (2),
199-209. |
SCHWARTZ, B. (1982). Failure to produce response
variability with reinforcement. Journal of the
Experimental Analysis of Behavior, 37 (2), 171-181.
[PDF] |
NEURINGER, A. (2002). Operant variability : evidence,
functions, and theory. Psychonomic Bulletin &
Review, 9, 672-705. [PDF] |
SPOONER, F. & SPOONER, D. (1983). Variability : An aid
in the assessment of the effectiveness of training
procedures. Journal of Precision Teaching, 4 (1),
5-14. |
SHAHAN, T.A. & CHASE, P.N. (2002). Novelty, stimulus
control, and operant variability. The Behavior
Analyst, 25, 175-190. [PDF] |
PAGE, S. & NEURINGER, A. (1985). Variability is an
operant. Journal of Experimental Psychology : Animal
Behavior Processes, 11, 429-452. |
|
BOULANGER, B., INGEBOS, A.-M., LAHAK, M., MACHDO, A. &
RICHELLE, M. (1987). Variabilité comportementale et
conditionnement opérant chez l'animal. L'Année
Psychologique, 87 (3), 417-434. |
|
MACHADO, A. (1989). Operant conditioning of behavioral
variability using a percentile reinforcement schedule. Journal
of the Experimental Analysis of Behavior, 52 (2),
155-166. [PDF] |
HOPKINSON, J. & NEURINGER, A. (2003). Modifying
behavioral variability in moderately depressed students. Behavior
Modification, 27 (2), 251-264. |
MORGAN, L. & NEURINGER, A. (1990). Behavioral
variability as a function of response topography and
reinforcement contingency. Animal Learning &
Behavior, 18, 257-263. |
NEURINGER, A. (2004). Reinforced variability in animals
and people. American Psychologist, 59 (9),
891-906. [PDF] |
COHEN, S.L., NEURINGER, A. & RHODES, D. (1990).
Effects of ethanol on reinforced variations and
repetitions by rats under a multiple schedule. Journal
of the Experimental Analysis of Behavior, 54, 1-12.
[PDF] |
ONNIS, L., MONOGHAN, P., CHRISTIANEN, M.H. & CHATER,
N. (2005). Variability is the spice of learning, and a
crucial ingredient for detecting and generalizing in
nonadjacent dependencies. In K. Forbus, D. Gentner &
T. Regier (Eds.), Proceedings of the twenty-sixth
annual conference of the cognitive science society
(pp. 1047-1052). Lawrence Erlbaum. [PDF] |
 |
NEURINGER, A. & HUNTLEY, R.W. (1991). Reinforced
variability in rats : Effects of gender, age and
contingency. Physiology & Behavior, 51,
145-149. |
JOHANSEN, E.B., KILLEEN, P.R. & SAGVOLDEN, T. (2007).
Behavioral variability, elimination of responses, and
delay-of-reinforcement gradients in SHR and WKY rats.
Behavioral & Brain Functions, 3, 1-12. [PDF]
+ [PDF] |
NEURINGER, A. (1991). Operant variability and repetition
as functions of interresponse time. Journal of
Experimental Psychology : Animal Behavior Processes, 17,
3-12. |
NEURINGER, A. (2009). Operant variability and the power of
reinforcement. The Behavior Analyst Today, 10,
319-343. |
NEURINGER, A. (1992). Choosing to vary and repeat. Psychological Science, 3, 246-250. |
PALMER, D.C. (2009). How shall we account for variance ? Behavior & Philosophy, 37, 151-155. [PDF] |
MACHADO, A. (1992). Behavioral variability and
frequency-dependent selection. Journal of the
Experimental Analysis of Behavior, 58, 241-263. [PDF] |
STAHLMAN, W.D., YOUNG, M.E. & BLAISDELL, A.P. (2010).
Response variability in pigeons in a Pavlovian task.
Learning & Behavior, 38, 111-118. [PDF] |
|
MACHADO, A. & TONNEAU, F. (2012). Operant variability:
Procedures and processes. The Behavior Analyst, 35, 249-255. |
TATHAM, T.A., WANCHISEN, B.A. & HINELINE, P.N. (1993).
Effects of fixed- and variable-ratio schedules on human
variability. Journal of the Experimental Analysis of
Behavior, 59, 349-359. [PDF] |
BARBA, L.S. (2012). Variability as a subject matter in a
science of behavior : Reply to commentaries. The
Behavior Analyst, 35, 257-263. |
STOKES, P. (1995). Learned variability. Animal
Learning & Behavior, 23, 164-176. |
HOLTH, P. (2012). Is variability an operant ?
Behavior Analyst, 35 (2), 243-248. |
|
WEISS, A. & NEURINGER, A. (2012). Reinforced
variability enhances object exploration in shy and bold
rats. Physiology & Behavior, 107, 451-457. |
HONEY, J., OSGOOD, D.W. & MARSHALL, I.H. (1995).
Criminal careers in the short-term : Intra-individual
variability in crime and its relation to local life
circumstances. American Sociological Review, 60 (5),
655-673. [PDF] |
NEURINGER, A. (2012). Reinforcement and induction of
operant variability. The Behavior Analyst, 35,
229-235. |
HUNZIKER, M.H., SALDANA, R.L. & NEURINGER, A. (1996).
Behavioral variability in SHR and WKY rats as a function
of rearing environment and reinforcement contingency. Journal of the Experimental Analysis of Behavior, 65 (1), 129-144.
[PDF] |
BARBA, L.S. (2012). Operant variability : A
conceptual analysis. The Behavior Analyst, 35,
213-227. |
MACHADO, A. (1997). Increasing the variability of response
sequences in pigeons by adjusting the frequency of
switching between two keys. Journal of the
Experimental Analysis of Behavior, 68, 1-25. |
PALMER, D.C. (2012). Is variability an operant ?
Introductory remarks. The Behavior Analyst, 25,
175-190. [PDF] |
DENNEY J. & NEURINGER, A. (1998). Behavioral
variability is controlled by discriminative stimuli.
Animal Learning & Behavior, 26, 154-162. |
MARR, M.J. (2012). Operant variability : Some random
thoughts. The Behavior Analysis, 35 (2), 237-241.
[PDF] |
 |
| |
 |
Voir aussi Variation
et Comportement |
 |
|
Variabilité génétique :
| |
|
MAYNARD SMITH, J. HARPER, D.G.C. & BROOKFIELD, J.F.Y.
(1988). The evolution of aggression : can selection
generate variability ? Philosophical Transactions of
the Royal Society, B, 319, 557-570. |
ABERCROMBIE, M., HICKMAN, C.J. & JOHNSON, M.L. (1980).
Dictionary of biology. Londres : Penguin. |
 |
|
|
|
|
|
Variable : Tout phénomène
qui varie, soit naturellement (variable invoquée
ou observée), soit
artificiellement par suite d'une manipulation (variable
provoquée) et que l'on cherche à mesurer/ évaluer, Par définition, une variable possède toujours au moins deux niveaux
(sinon il s'agit d'une constate). En psychologie, caractéristique du comportement ou de l'expérience d'un individu (humain ou animal) ou de son environnement qui peut être décrite et mesurée sur une échelle (quantitative, nominale, ordinale). ( ): Voir tableau
ci-dessous.
/constante.
Variable.
| |
|
ROZEBOOM, W.W. (1961). Ontological induction and the
logical typology of scientific variables. Philosophy
of Science, 28, 337-377. [PDF] |
WILKINSON, D.Y. & KING, G. (1987). Conceptual and
methodological issues in the use of race as a variable :
policy implications. The Milbank Quarterly, 65
(S), 56-71. |
DURU-BELLAT, M. (1994). La "découverte" de la variable
sexe et ses implications théoriques dans la sociologie de
l’éducation française contemporaine. Nouvelles
Questions Féministes, 15, 35-68. |
DUGGAN, S., JOHNSON, P. & GOTT, R. (1996). A critical
point in investigative work: Defining variables.
Journal of Research in Science Teaching, 33,
461-474. |
ANGRIST, J., IMBENS, G.W. & RUBIN, D.B. (1996).
Identification of causal effects using instrumental
variables. Journal of the American Statistical
Association, 91, 444-472. |
STILES, W.B. (2013). The variables problem and progress in
psychotherapy research. Psychotherapy, 50, 33-41. |
DAVIES, N.M., DAVEY SMITH, G. WINDMEIJER, F. & MARTIN,
R.M. (2013). Issues in the reporting and conduct of
instrumental variable studies : a systematic review. Epidemiology, 24,363-369. |
JOEL, D. & McCARTHY, M.M. (2017). Incorporating sex as
a biological variable in neuropsychiatric research : Where
are we now and where should we be ? Neuropsychopharmacology,
42, 379-385.
[PDF] |
|
SCHERRER,
B. (1984). Biostatistique. Chicoutimi : Gaëtan
Morin. |
 |
|
Variable/Covariance/Covariation
(Co-) : Variable
secondaire ou parasite -
le plus souvent de type propre,
comme l'âge ou le sexe
- introduite et mesurée dans une recherche
afin de la neutraliser
au moment des analyses
statistiques, dans le but mettre plus clairement en
évidence la relation de causalité
entre les variables
principales. Covariation.
| |
|
BRECKLER, S.J. (1990). Applications of covariance
structure modeling in psychology : Cause for concern ? Psychological
Bulletin, 107, 260-273. [PDF] |
|
ADAMS, K.M., BROWN, G.G. & GRANT, I. (1985). Analysis
of covariance as a remedy for demographic mismatch of
research subject groups : some sobering simulations. Journal
of Clinical & Experimental Neuropsychology, 7 (4),
445-462. |
|
WILCOX. R.R. (1991). Nonparametric analysis of covariance
based on predicted medians. British Journal of
Mathematical & Statistical Psychology, 44,
221-230. |
HU, L. & BENTLER, P.M. (1999). Cutoff criteria for fit
indexes in covariance structure analysis : Conventional
criteria versus new alternatives. Structural Equation
Modeling, 6, 1-55. |
FRIGON, J.-Y. & LAURENCELLE, L. (1993). Analysis of
covariance : A proposed algorithm. Educational &
Psychological Measurement, 53 (1), 1-18. |
BUEHNER, M.J., CHENG, P.W. & CLIFFORD, D. (2003). From
covariation to causation : A test of the assumption of
causal power. Journal of Experimental Psychology :
Learning, Memory & Cognition, 29, 1119-1140. |
SATORRA, A. & BENTLER, P.M. (1994). Corrections to
test statistics and standard errors in covariance
structure analysis. In A. von Eye & C.C. Clogg (Eds.),
Latent variable analysis : Applications in developmental
research (pp. 399-419). Newbury Park, CA : Sage. |
BOLLEN, K.A. & BAULDRY, S. (2011). Three Cs in
measurement models : Causal indicators, composite
indicators, and covariates. Psychological Methods, 16
(3), 265-284. [PDF] |
| |
 |
Voir aussi Variable
secondaire ou Variable
parasite |
 |
|
Variable (Niveau d'une variable) : Variation
artificielle (manipulée ou
provoquée) ou naturelle (assignée
ou invoquée) du phénomène
à l'étude. Par définition, une variable
possède toujours au moins deux niveaux. EX: Homme
et Femme sont les deux niveaux de la variable sexe. Dans
certaines expériences, chaque groupe correspond à un niveau de la
variable indépendante. Le
niveau zéro, ou absence de la variable indépendante, correspond
quant à lui au groupe de
contrôle d'une recherche. Niveau et variation
d'un phénomène. = modalité ou
variation des variables indépendante et dépendante,
classe, étiquette, degré.
| EXEMPLE
1 |
Variable
indépendante |
3
Niveaux |
|
Variable
dépendante |
| Présence
d'un passant dans une situation d'urgence |
1
passant |
 |
Comportement
d'aide |
| 2
passants |
| 3
passants |
| EXEMPLE
2 |
Variable
indépendante |
4
Niveaux |
|
Variable
dépendante |
| Scolarité |
Primaire |
 |
Revenu |
| Secondaire |
| Cégep |
| Université |
|
|
|
Variable aléatoire : En statistiques,
variable qui obéit aux lois du hasard.
Il ne s'agit pas d'un phénomène
en soi mais d'un postulat de base du modèle statistique qui décrit
le comportement d'un phénomène fictif, probabiliste ou
non-déterminé, et de le comparer au comportement du phénomène à
l'étude, ce qui permet par contraste d'inférer que le phénomène
étudié est influencé par une cause x ou agit selon les lois du
hasard (absence de cause x). /cause.
Random variable.
| |
|
CRAMÈR, H. (1937). Random variables and probability
distributions. Cambridge Tract in Mathematics 36.
Cambridge. |
WALD, A. (1944). On cumulative sums of random variables. Annals
of Mathematical Statistics, 15, 283-296. |
|
SCHERRER,
B. (1984). Biostatistique. Chicoutimi : Gaëtan
Morin. |
Voir ausi Hasard et
Variables |
 |
|
|
|
|
|
Variable associée : Variable
observée et mesurée dans le milieu de l'objet d'étude (et non une caractéristique de l'individu). EX:
Le nombre d'amis d'un enfant autiste est une variable associée. C-EX:
L'âge ou le sexe d'un autiste ne sont pas des variables associées.
= variable extrinsque, variable du
milieu, facteurs environnementaux. /variable
propre.
|
|
|
Variable concomitante :
Concomitant
variable.
| |
|
COX, D.R. (1957). The use of a concomitant variable in
selecting an experimental design. Biometrika, 44,
150-158. |
|
 |
Voir aussi Variables |
|
|
Variable contaminante : Variable parasite
introduite involontairement en même temps que la variable
indépendante manipulée et dont les effets nuisibles se
confondent avec cette dernière. La différence entre une variable
parasite et une variable contaminante réside dans le fait que
cette dernière est produite (involontairement) par le chercheur au
moment de la manipulation de la variable indépendante.
= variable de confusion. Confounding
variable, confounding factor.
| EXEMPLE |
|
 |
Variable
dépendante |
| Variable Indépendante |
Nombre
de passants qui constatent une urgence |
Comportement
d'aide |
| Variable
contaminante |
Tous
les passants qui constatent cette urgence n'ont pas le
même âge |
| |
|
MacKINNON, D.P., KRULL, J.L. & LOCKWOOD, C.M. (2000).
Equivalence of the mediation, confounding, and suppression
effects. Prevention Science, 1, 173-181. |
JACKSON, J.W. & SWANSON, S.A. (2015). Toward a clearer
portrayal of confounding bias in instrumental variable
applications. Epidemiology, 26, 498-504. |
|
|
Voir aussi Variables |
 |
|
Variable contextuelle : Ensemble des caractéristiques mesurables
du contexte lié au
phénomène que l'on cherche à expliquer.
Contextual variable, context
variable.
| |
|
GALL, M.D. (1977). The importance of context variables
research on teaching skills. Journal of Teacher
Education, 28, 43-48. |
DUMAS, J.E. (1989). Primary prevention : Toward an
experimental paradigm sensitive to contextual variables. Journal of Primary Prevention, 10, 27-40. |
FIGUIERA, C.P., MARQUES-PINTO, A., PEREIRA, C.R. &
ROBERTO, M.S. (2017). How can academic context
variables contribute to the personal well-being of higher
education students ? The Spanish Journal of Psychology
20, 1-12. [PDF]
|
|
 |
Voir aussi Variables |
 |
|
|
|
|
|
|
|
|
|
|
|
|
|
Variable de type S : S pour sélection. Phénomène
étudié qui varie naturellement par sélection. Ici le mot sélection
signifie que le chercheur choisit les n variations du phénomène à
l'étude (par exemple le sexe : variations = les hommes et les
femmes), mais sans toutefois l'imposer aux sujets (on ne peut pas
obliger une femme à être un homme, et vice-versa). Autrement dit,
contrairement aux variables
manipulées, le chercheur ne peut pas distribuer au hasard
les sujets dans les n groupe (Le groupe d'hommes et le groupe de
femmes) puisque les n niveaux de la variation sont des
caractéristiques propres du sujet (son sexe), donc un phénomène
non-manipulable. EX: Genre, niveau
socio-économique, ethnie, âge. =
variable de sélection, variable indépendante
invoquée ou assignée.
|
|
|
Variable démographique :
Demographic variable.
| |
|
DIENER, E., WESTFORD, K.L., FRASER, S.C. & BEAMAN,
A.L. (1973). Selected demographic variables in altruism. Psychological Reports, 33, 226. [PDF] |
|
 |
Voir aussi Variables |
 |
|
Variable dépendante : VD : Variable observée/ décrite et mesurée/évaluée qui peut être modifiée par la variable
indépendante.
= variable y, VD,
variable expliquée, variable mesurée, effet de la cause, effet du
traitement.
Dependent variable.
| EXEMPLE |
Variable indépendante |
 |
Groupes |
 |
Variable
dépendante ou Y |
| Âge |
20 à 25 ans |
Comportement d'aide |
| 26 à 31 ans |
Comportement d'aide |
| |
|
BRAINERD, C.J. (1971). Imagery as a dependent variable. American Psychologist, 26, 599-600. |
BANDURA, A. (1974). The case of the mistaken dependent
variable. Journal of Abnormal Psychology, 83,
301-303. [PDF] |
UNGER, R.K. & DENMARK, F.L. (1975). Woman : Dependent or independent variable ? New York : Psychological Dimensions. |
COLE, D., ARVEY, R.D., MAXWELL, S. & SALAS, E.
(1994). How the power of MANOVA can both increase and
decrease as a function of the intercorrelations among the
dependent variable. Psychological Bulletin, 115
(3), 465-474.
|
SNIJDERS, T.A.B. & BOSKER, R.J. (2012). Discrete
dependent variables. Thousand Oaks, CA: Sage. |
 |
Voir aussi Variables |
 |
|
Variable dichotomique : En français, le mot «dichotomiqu» renvoie à l'opposition des deux éléments ou parties d'un tout. Une
variable dichotomique est donc un phénomène mesuré/évalué (le
tout) qui ne possède que deux états possibles ou deux niveaux. EX
: Le sexe chez les mammifères (femelle-mâle). En ce
sens, il s'agit d'une variable nominale (état discontinue) et de
type de binaire (Binaire = deux). = variable
binaire. En anglais le mot est synonyme de nominal. Binary
variable.
| |
|
MOORE, D.H. (1973). Evaluation of five discrimination
procedures for binary variables. Journal of the
American Statistical Association, 68, 399-404. |
ALLAN, L.G. (1980). A note on measurement of contingency
between two binary variables in judgment tasks. Bulletin
of the Psychonomic Society, 15, 147–149. |
MacCALLUM, R.S., ZHANG, S., PREACHER, K.J. & RUCKER,
D.D. (2002). On the practice of dichotomization of
quantitative variables. Psychological Methods, 7 (1),
19-40.
[PDF] |
ALTMAN, D.G. & ROYSTON, P. (2006). The cost of
dichotomising continuous variables. British Medical
Journal, 332 (7549), 1080. |
| |
 |
Voir aussi Variables |
 |
|
Variable discrète : Variable
quantitative dont les variations sont exprimées en nombres entiers (qui ne comportent ni fractions ni décimales). EX:
Le nombre de gens qui pèse + de 70 kilos dans une classe (12
personnes). C-EX: Le poids des individus est
une variable quantitative continue. =
variable quantitative discrète, variable discontinue.
Discrete variable, discontinuous variable, meristic variable, discrete
dependent variable.
| |
|
COX, D.R. & WERMUTH, N. (1992). On the relation
between interactions obtained with alternative codings of
discrete variables. Methodika, 6, 76-85. |
SNIJDERS, T.A.B. & BOSKER, R.J. (2012). Discrete
dependent variables. Thousand Oaks, CA: Sage. |
|
 |
Voir aussi Variables |
 |
|
Variable indépendante : VI : En recherche,
phénomène ou facteur présumé responsable du phénomène étudié
(variable dépendante). Il existe
deux types de variable indépendante : 1)
la variable indépendante manipulée (ou
provoquée); 2) la variable
indépendante assignée (ou invoquée).
=
variable X, VI, variable explicative.
(
): Voir tableau ci-dessous.
Independent variable, explanatory variable.
| |
|
GORSUCH, R.L. (1973). Data analysis of correlated
independent variables. Multivariate Behavioral
Research, 8, 89-107. |
WODARSKI, J.S., FELDMAN, R.A. & PEDI, S.J. (1974).
Objective measurement of the independent variable : a
neglected methodological aspect in community-based
behavioral research. Journal of Abnormal Child
Psychology, 2 (3), 239-244. |
UNGER, R.K. & DENMARK, F.L. (1975). Woman : Dependent or independent variable ? New York : Psychological Dimensions. |
PETERSON, L., HOMER, A.L. & WONDERLICH, S.A. (1982).
The integrity of independent variables in behavior
analysis. Journal of Applied Behavior Analysis, 15
(4), 477-492. [PDF] |
ALKHATEEB, J.M.Y. (1988). Independent variable integrity
in behavioral research : A review of the literature. Scandinavian Journal of Behavior Therapy, 17, 189-199. |
LELAURIN, K. & WOLERY, M. (1992). Research standards
in early intervention : Defining, describing, and
measuring the independent variable. Journal of Early
Intervention, 16, 275–287. |
WITT, J., NOELL, G., LAFLEUR, L. & MORTENSON B.
(1997). Teacher use of interventions in general education
settings : Measurement and analysis of the independent
variable. Journal of Applied Behavior Analysis, 30
(4), 693-696. [PDF] |
| |
 |
Voir aussi Variables |
 |
|
|
|
|
|
|
|
|
|
Variable intermédiaire : La variable intermédiaire n'est pas un
phénomène en soi, mais
un concept scientifique qui a pour but d'établir une relation
entre deux ou plusieurs phénomènes (X et Y). La variable
intermédiaire s'apparente donc à une fonction
mathématique, dont le rôle est d'établir une relation logique
entre un domaine (X) et un co-domaine Y). EX: Chez
Hull, la pulsion (drive)
permet d'établir une relation formelle entre l'environnement, sous
forme de stimuli, et les comportements d'un sujet. En physique, de
nombreux auteurs s'accordent à dire que la force d'attraction joue
un rôle comparable à celui de la pulsion (drive) chez Hull. Le
statut ontologique de cette variable est donc clair : il ne s'agit
pas d'un phénomène mais d'une invention qui permet au scientifique
d'élever temporairement le niveau d'explication de sa théorie.
Toute tentative de montrer l'existence d'un tel concept est donc
par définition vouée à l'échec. Toutefois, on peut mettre à
l'épreuve une variable intermédiaire en vérifiant la précision de
ses prédictions. Il convient également de préciser que le rôle de
la variable intermédiaire au sein de la théorie est transitoire
puisqu'elle devrait à plus ou moins brève échéance être remplacée
par un construit
hypothétique. EX: Pour certains
scientifiques, la pulsion, la motivation, l'inconscient sont des
variables intermédiaires qui correspondent en tout point ou
partiellement à des structures biologiques (construits
hypothétiques) dont l'existence peut être montrée. Notons
également la tendance chez de nombreux auteurs à réifier
certaines variables intermédiaires, c-à-d à les traiter comme s'il
s'agissait d'un phénomène en soi. Variable intermédiaire et
construit
hypothétique. = variable
médiatrice.
*variable
parasite, construit
hypothétique.
Intervening variable.
| EXEMPLE |
Variable
indépendante |
 |
Variable
intermédiaire |
 |
Variable
dépendante |
| Stimulus
X |
Pulsion ou Drive |
Comportement
Y |
| |
|
MacCORQUODALE, K. & MEEHL, P.E. (1948). On a
distinction between hypothetical constructs and
intervening variables. Psychological Review, 55,
95-107. [PDF] |
HUESMANN, L.R., LAGERSPETZ, K. & ERON, L.D. (1984).
Intervening variables in the television
violence-aggression relation : Evidence from two
countries. Developmental Psychology, 20, 746-775.
[PDF] |
MARX, M. (1951). Intervening variable or hypothetical
construct ? Psychological Review, 58 (4),
235-247. |
MacKINNON, D.P., LOCKWOOD, C.M., HOFFMAN, J.M., WEST, S.G.
& SHEETS, V. (2002). Comparison of methods to test
mediation and other intervening variable effects. Psychological
Methods, 7 (1), 83-104. [PDF] |
TOLMAN, E.C. (1951). The intervening variable. In M. Marx
(Ed.), Psychological theory (pp. 87-102). New
York : Macmillan. |
|
MAZE, J.R. (1954). Do intervening variables intervene ? Psychological
Review, 61, 226-234. |
|
SPENCE, K.W. (1954). The relation of response latency and
speed to the intervening variables and N in S-R theory. Psychological
Review, 61 (4), 209-216. |
SPENCER, S.J., ZANNA, M.P. & FONG, G.T. (2005).
Establishing a causal chain : Why experiments are often
more effective than mediational analyses in examining
psychological processes. Journal of Personality &
Social Psychology, 89, 845-851. [PDF] |
EHRLICH, H. (1969). Attitudes, behavior, and the
intervening variables. American Sociologist, 4 (1),
29-34. |
JAMIESON, J.P. & HARKINS, S.G. (2011). The intervening
task method : Implications for measuring mediation. Personality
& Social Psychology Bulletin 37 (5), 652-661.
[PDF] |
| |
 |
Voir aussi Construit
hypothétique et Variables |
 |
|
Variable
intermédiaire formelle : Variable
intermédiaire qui s'apparente à une fonction
mathématique, dont le rôle est d'établir une relation logique
entre un domaine et un co-domaine. EX: Chez Hull,
la pulsion (drive) permet d'établir une relation formelle entre
l'environnement, sous forme de stimuli, et les comportements du
sujet. En physique, de nombreux auteurs s'accordent à dire que la
force d'attraction joue un rôle comparable à celui de la pulsion
chez Hull. = fonction
mathématique.
|
|
|
Variable latente :
Latent variable, latent
trait, latent factor.
| |
|
KENNY, D.A. & JUDD, C.M. (1984). Estimating the
nonlinear and interactive effects of latent variables. Psychological
Bulletin, 96, 201-210. |
WILLIAMSON, D., MISLEVY, R. & ALOMND, R.G. (2000).
Model criticism of Bayesian networks with latent
variables. In C. Boutilier & M. Goldszmidt (Eds.), Uncertainty
in artificial intelligence (Vol., 16, pp. 634-643).
San Francisco : Morgan Kaufmann. |
LOEHLIN, J.C. (1987/1992). Latent variable models :
An introduction to factor, path, and structural
analysis. Hillsdale, NJ : Erlbaum. |
MIYAKE, A., FRIEDMAN, N.P., RETTINGER, D.A., SHAH, P.
& HEGARTY, M. (2001). How are visuospatial working
memory, executive functioning, and spatial abilities
related ? A latent-variable analysis. Journal of
Experimental Psychology. General, 130 (4), 621-640. |
MISLEVY, R. & SHEEHAN, K.M. (1989). Information
matrices in latent-variable models. Journal of
Educational Statistics, 14, 335-350. |
BOLLEN, K.A. (2002). Latent variables in psychology and
the social sciences. Annual Review of Psychology, 53,
605-634. |
MISLEVY, R. (1991). Randomization-based inference about
latent variables from complex samples. Psychometrika,
56, 177-196. |
FRIEDMAN, N.P. & MIYAKE, A. (2004). The relations
among inhibition and interference control functions : A
latent-variable analysis. Journal of Experimental
Psychology : General, 133 (1), 101-135. |
MOUSTAKI, I. & KNOTT, M. (2000). Generalized latent
trait models. Psychometrika, 65, 391-411. |
KANE, M.J. HAMBRICK, D.Z., TUHOLSKI, S.W., WILHELM, O.,
PAYNE, T.W. & ENGLE, R.W. (2004). The generality of
working memory capacity : A latent-variable approach to
verbal and visuo-spatial memory span and reasoning. Journal
of Experimental Psychology : General, 133 (2),
189-217. [PDF] |
MIYAKE, A., FRIEDMAN, N.P., EMERSON, M. J., WITZKI, A.H.
& HOWERTER, A. (2000). The unity and diversity of
executive functions and their contributions to complex
bfrontal lobeQ tasks : A latent variable analysis.
Cognitive Psychology, 41, 9-100. |
COLOM, R., ABAD, F.J., REBOLLO, I. & SHIH. P.C.
(2005). Memory span and general intelligence : A
latent-variable approach. Intelligence, 33, 623-642.
[PDF] |
|
BOLLEN, K.A., KIRBY, J.B., CURRAN, P.J., PAXTON, P.M.
& CHEN, F. (2007). Latent variable models under
misspecification : Two stage least squares (2SLS) and
Maximum Likelihood (ML) Estimators. Sociological
Methods & Research, 36, 46-86. |
|
TREIER, S. & JACKMAN, S. (2008). Democracy as a latent
variable. American Journal of Political Science, 52
(1), 201-217. |
| |
 |
Voir aussi Variables |
 |
|
|
|
Variable
médiatrice : Tout facteur (M) qui atténue (-) ou
amplifie (+) les effets d'une variable indépendante X sur un Y.
Contrairement au construit hypothétique ou à la variable
intermédiaire, la variable médiatrice n'est pas un phénomène
inféré, mais bien un fait que que l'on peut mesurer. Mediator,
mediator variable, mediator effect, mediating variable.
| EXEMPLE |
Variable
indépendante X |
 |
Variable
médiatrice (M) |
 |
Variable
dépendante Y |
| Perte
d'un être cher |
Réseau
d'amis |
-
Suicide |
| Isolement
social |
+
Suicide |
| |
|
ROZEBOOM, W.W. (1956). Mediation variables in Scientific
theory. Psychological Review, 63, 249-264. [PDF] |
|
BARON, R.M. & RODIN, J. (1978). Personal control as a
mediator of crowding. In A. Baum, J. Singer & S.
Valins (Eds.), Advances in environmental psychology (pp.
145-190). Hillsdale, NJ : Erlbaum. |
KRAEMER, H.C., STICE, E., KAZDIN, A., OFFORD, D. &
KUPFER, D. (2001). How do risk factors work together ?
Moderators, mediators, independent, overlapping, and proxy
risk factors. American Journal of Psychiatry, 158,
848-856.
[PDF] |
JAMES, L.R. & BRETT, J.M. (1984). Mediators,
moderators, and tests for mediation. Journal of
Applied Psychology, 69 (2), 307-321. |
SOBEL, M. (2008). Identification of causal parameters in
randomized studies with mediating variables. Journal
of Educational & Behavioral Statistics, 33,
230-231. |
BARON, R.M. & KENNY, D.A. (1986). The
moderator-mediator variable distinction in social
psychological research : Conceptual, strategic, and
statistical considerations. Journal of Personality
& Social Psychology, 51, 1173-1182. [PDF] |
HOLMBECK, G.M. (2002). Post-hoc probing of significant
moderational and mediational effects in studies of
pediatric populations. Journal of Pediatric
Psychology, 27, 87-96. |
BUSHMAN, B.J. & GEEN, R.G. (1990). The role of
cognitive-emotional mediators and individual differences
in the effects of media violence on aggression. Journal
of Personality & Social Psychology, 58 (1),
156-163. |
MacKINNON, D.P., LOCKWOOD, C.M., HOFFMAN, J.M., WEST, S.G.
& SHEETS, V. (2002). Comparison of methods to test
mediation and other intervening variable effects. Psychological
Methods, 7 (1), 83-104 |
VERPLANCK, W.S. (1992). Verbal concept "mediators" as
simple operants. Analysis of Verbal Behavior, 10,
45-68.
[PDF] |
KRAEMER, H.C., WILSON G.T., FAIRBURN, C.G. & AGRAS,
W.S. (2002). Mediators and moderators of treatment effects
in randomized clinical trials. Archives of General
Psychiatry, 59, 877-883. |
BOEHM, L.E. (1994). The validity effect : A search for
mediating variables. Personality & Social
Psychology Bulletin, 20, 285-293 |
ROSE, B.M., HOLMBECK, G.M., MILLSTEIN COAKLEY, R. &
FRANKS, E.A. (2004). Developmental & Behavioral
Pediatrices, 25 (1), 58-67. [PDF] |
|
HARWOOD, J., HEWSTONE, M., PAOLINI, S. & VOCI, A.
(2005). Grandparent-grandchild contact and attitudes
toward older adults : Moderator and mediator effects. Personality
& Social Psychology Bulletin, 31, 393-406. |
O'KEEFE, M. (1998). Factors mediating the link between
witnessing interparental violence and dating violence. Journal
of Family Violence, 13, 39-57. |
MULLER, D., JUDD, C.M. & YZERBYT, V.Y. (2005). When
moderation is mediated and mediation is moderated. Journal
of Personality & Social Psychology, 89,
852-863. [PDF] |
|
Voir aussi Construit
hypothétique,
Variable intermédiaire et
Variables |
|
 |
|
Variable modératrice : Variable parasite
qui atténue ou augmente la relation entre la variable
indépendante et la variable dépendante.
EX: Vous voulez mesurer l'effet du genre
(variable indépendante assignée ou invoquée) sur l'évaluation de
situations sexistes de la vie quotidienne (variable dépendante
mesurée au moyen d'une échelle : cette situation est sexiste, peu
sexiste, pas sexiste). Votre question de recherche est : Les
femmes sont-elles plus sensibles que les hommes au sexisme ? Pour
répondre à cette question, vous devez donc comparer l'évaluation
d'un groupe d'hommes à l'évaluation d'un groupe de femmes. Ici,
l'appartenance ethnique (variable modératrice) des participants
peut influencer cette évaluation; dans certains pays on ne tolère
pas ou peu le sexisme (les pays A), alors que dans d'autres pays
le mot sexisme n'existe même pas (les pays B). Pour neutraliser
l'effet de cette variable, le chercheur veillera à former des
groupes d'hommes et de femmes qui comportent autant d'individus
provenant de A que de B. Moderator variable,
moderator.

| EXEMPLE |
Variable
indépendante |
X |
Variable
modératrice |
 |
Variable
dépendante |
| Sexe |
Ethnie |
Sexisme |
| |
 |
| |
GHISELLI, E.E. (1972). Comment on the use of moderator
variables. Journal of Applied Psychology, 56
(3), 270. |
BRAUER, M. (2000). L'identification des processus
médiateurs dans la recherche en psychologie. L'Année
Psychologique, 100, 661-681. |
VELICER, W.F. (1972). The moderator variable viewed as
heterogeneous regression. Journal of Applied
Psychology, 56, 266-269. |
JUDD, C.M., KENNY, D.A. & McCELLAND, G.H. (2001).
Estimating and testing mediation and moderation in
within-participant designs. Psychological Methods, 6,
115-134. |
JAMES, L.R. & BRETT, J.M. (1984). Mediators,
moderators, and tests for mediation. Journal of
Applied Psychology, 69 (2), 307-321. |
KRAEMER, H.C., STICE, E., KAZDIN, A., OfFFORD, D. &
KUPFER, D. (2001). How do risk factors work together?
Mediators, moderators, and independent, overlapping, and
proxy risk factors. American Journal of Psychiatry,
158, 848-856.
[PDF] |
BARON, R.M. & KENNY, D.A. (1986). The
moderator-mediator variable distinction in social
psychological research : Conceptual, strategic, and
statistical considerations. Journal of Personality
& Social Psychology, 51, 1173-1182. [PDF] |
HOLMBECK, G.M. (2002). Post-hoc probing of significant
moderational and mediational effects in studies of
pediatric populations. Journal of Pediatric
Psychology, 27, 87-96. |
CRONBACH, L.J. (1987). Statistical tests for moderator
variables : Flaws in analyses recently proposed. Psychological
Bulletin, 102, 414-417. |
KRAEMER, H.C., WILSON, T.G., FIARBURN, C.G. & AGRAS,
W.S. (2002). Mediators and moderators of treatment effects
in randomized clinical trials. Archives of General
Psychiatry, 59, 877-883. |
HALL, J.A. & ROSENTHAL, R. (1991). Testing for
moderator variables in meta-analysis : Issues and methods.
Communication Monographs, 58, 437-448. |
MACKINNON, D.P., LOCKWOOD, C.M., HOFFMAN, J.M., WEST, S.G.
& SHEETS, V. (2002). A comparison of methods to test
the significance of the mediated effect. Psychological
Methods, 7, 83-104. [PDF] |
HULL, J.G. TEDLIE, J.C. & LEHN, D.A. (1992). Moderator
variables in personality research : The problem of
controlling for plausible alternatives. Personality&
Social Psychology Bulletin, 18, 115-117. |
KRAEMER, H.C., WILSON G.T., FAIRBURN C.G. & AGRAS W.S.
(2002). Mediators and moderators of treatment effects in
randomized clinical trials. Archives of General
Psychiatry, 59, 877-883. |
McCLELLAND, G.H. & JUDD, C.M. (1993). The statistical
difficulties of detecting interactions and moderator
effects. Psychological Bulletin, 114, 376-390. |
FRAZIOR, P.A., TIX, A.P. & BARRON, K.E. (2004).
Testing moderator and mediator effects in counseling
psychology research. Journal of Counseling
Psychology, 51, 115-134. |
|
ROSE, B.M., HOLMBECK, G.M., MILLSTEIN COAKLEY, R. &
FRANKS, E.A. (2004). Developmental & Behavioral
Pediatrices, 25 (1), 58-67. [PDF] |
|
PETTIGREW, T.F. & TROPP, L.R. (2008). How does
intergroup contact reduce prejudice? Meta-analytic tests
of three mediators. European Journal of Social
Psychology, 38 (6), 922-934. [PDF] |
|
SCHMID MAST, M. & HALL, J.A. (2004). When is dominance
related to smiling ? Assigned dominance, dominance
preference, trait dominance, and gender as moderators. Sex
Roles, 50, 387-399. [PDF] |
|
AGUINIS, H., BEATY, J.C., BOIK, R.J. & PIERCE, C.A.
(2005). Effect size and power in assessing moderating
effects of categorical variables using multiple regression
: A 30-year review. Journal of Applied Psychology,
90, 94-107. |
 |
|
HARWOOD, J., HEWSTONE, M., PAOLINI, S. & VOCI, A.
(2005). Grandparent-grandchild contact and attitudes
toward older adults : Moderator and mediator effects. Personality
& Social Psychology Bulletin, 31, 393-406. |
OVERTON, R.C. (1998). A comparison of fixed-effects and
mixed (random-effects) models for meta-analysis tests of
moderator variable effects. Psychological Methods, 3,
354-379. |
MULLER, D., JUDD, C.M. & YZERBYT, V.Y. (2005). When
moderation is mediated and mediation is moderated. Journal
of Personality & Social Psychology, 89,
852-863. [PDF] |
|
EDWARDS, J.R. & LAMBERT L.S. (2007). Methods for
integrating moderation and mediation : A general
analytical framework using moderated path analysis. Psychological
Methods, 12 (1), 1-22. |
|
PETTIGREW, T.F. & TROPP, L.R. (2008). How does
intergroup contact reduce prejudice ? Meta-analytic tests
of three mediators. European Journal of Social
Psychology, 38 (6), 922-934. [PDF] |
|
KRAEMER, H.C., KIERMAN, M., ESSEX, M. & KUPFER, D.
(2008). How and why criteria defining moderators and
mediators differ between the Baron & Kenny and
MacArthur approaches. Health Psychology, 27
(S2), 101-108. [PDF] |
|
BRÈRE J. & JORDAN, C.E. (2009). The relationship
between childhood maltreatment, moderating variables, and
adult psychological difficulties in women : An overview. Trauma,
Violence & Abuse : A Review Journal, 10, 375-388.
|
|
WIEMER, K., COLLOCA, L. & ENCK, P. (2015). Age and sex
as moderators of the placebo response – an evaluation of
systematic reviews an meta-analyses across medicine. Gerontology,
61 (2), 97-108. [PDF] |
 |
| |
 |
Voir aussi Variables |
 |
|
Variable
muette :
Dummy variable.
| |
|
WOLF, G. & CARTWRIGHT, B. (1974). Rules for coding
dummy variables in multiple regression. Psychological
Bulletin, 81, 173-179. |
COHEN, A. (1991). Dummy variables in stepwise regression.
The American Statistician, 45, 226-228. |
|
 |
Voir aussi Variables |
 |
|
|
|
|
|
Variable ordinale : Tout phénomène
mesuré au moyen d'une échelle
ordinale. EX: La scolarité exprimée sous
forme de diplôme (DEC, BAC, Maîtrise, doctorat). C-EX :
Le sexe d'un sujet - homme ou femme - n'est pas une variable
ordinale car on ne peut ordonner ce facteur. Ranked
variable, ordinal variable.
|
Variable parasite : VP : Variable qui ne fait pas partie du plan
de recherche, donc hors du contrôle volontaire du
chercheur, et qui de ce fait nuit à la mise en évidence claire
d'une relation entre la variable indépendante
et la variable dépendante (ou
à l'observation de Y). Ce type de variable augmente l'erreur et
diminue la validité des conclusions que l'on tire d'une recherche
(validité interne). Il existe deux
grandes familles de variables parasites : celles dont on connaît
bien les effets et que l'on peut contrôler (variables parasites
connues) et celles dont on ignore jusqu'à ce jour les effets
nuisibles (variables parasites potentielles). Ces deux familles se
subdivisent à leur tour en cinq sources d'invalidité : les
variables associées aux caractéristiques des sujets (variable propre), aux caractéristiques ou aux comportements de l'expérimentateur, aux caractéristiques de la mesure, de
l'échantillonnage et de la situation de recherche. On peut
neutraliser ces variables au moyen de
stratégies de contrôle, qui permettent d'éliminer
les effets nuisibles de ces variables, de les équilibrer
ou de les maintenir constantes.
= facteur parasite, variable
indésirable. ( ): variable
contaminante, variable modératrice.
Extraneous variable.
 
| |
| EXEMPLE |
|
|
Variable
dépendante |
| Variable
indépendante |
Nombre
de passants qui constatent une urgence |
 |
comportement
d'aide |
| Variable
parasite |
Les
passants des deux groupes qui constatent cette urgence
n'ont pas le même âge |
|
|
| Types
de variables |
Sources
d'invalidité connues |
Sources
inconnues |
| Variables
propres ou de sélection |
Sexe,
âge, ethnie, maturation et histoire personnelle des
sujets, mortalité différentielle pendant la recherche, |
? |
| Variables
situationnelles |
Bruit,
organisation du laboratoire, etc. |
| Variables
associées à la mesure |
Non
de la mesure, l'apprentissage ou la familiarisation avec
l'outil de mesure, régression statistique, effet Hawtorne |
| Variables
associées à l'échantillonnage |
Biais
ou effets non-prévus du hasard |
| Variables
associées aux sujets |
Conscience
d'être observé ou évalué (Effet
Hawthorne) |
| Variables
associées aux chercheurs |
Comportements
non-verbaux du chercheur, variations dans les consignes
données aux participants, observation sélective du
phénomène à observer,
effet Pygmalion |
|
|
|
| |
|
KORTH, B. (1979). Relationship of extraneous variables to
student ratings of instructors. Journal of Educational
Measurement, 16 (1), 27–-37. |
STREET, D.L. (1995). Controlling extraneous variables in
experimental research : a research note. Accounting
Education, 4 (2), 169-188. [PDF] |
OMOREGIE, P.O. & ADEGBESAN, O.A. (2011). Effects of
extraneous variables on performance of choking-susceptible
university athletes. Ife Psychologia : An
International Journal, 19 (2), 75-91 |
|
Voir aussi Variables,
Validité
interne et Stratégies
de contrôle |
 |
 |
|
Variable
parasite (contrôlée par élimination) : Stratégie
de contrôle qui consiste à neutraliser
l'effet parasite d'une variable en
éliminant cette variable. EX: Si la présence
d'autrui est une variable parasite, éliminer cette présence en
isolant le sujet de l'expérience.
|
Variable
parasite (contrôlée par équilibration) : Stratégie
de contrôle qui consiste à neutraliser
l'effet parasite d'une variable en
distribuant cette variable également dans les x groupes
expérimentaux de la recherche. EX: Si le
sexe des sujets est une variable parasite, distribuer autant
d'hommes que de femmes dans chacun des x groupes. Groupes A = 15
hommes - 15 femmes; Groupes B = 15 hommes - 15 femmes.
|
|
|
Variable
parasite (maintenue constante) : Stratégie
de contrôle qui consiste à neutraliser
l'effet parasite d'une variable en ne
choisissant qu'un des niveaux de la variable parasite dans les x groupes
expérimentaux de la recherche. EX: Si le
sexe des sujets est une variable parasite, choisir que des femmes
ou que des hommes. Groupes A = 30 hommes; Groupes B = 30 femmes.
|
Variable
prédite : Variable dont on
tente d'évaluer ou de mesurer la valeur
ou la fréquence avant
qu'elle ne se produise. Criterion variable.
|
Variable
prédictive : = prédicteur.
Predictor variable.
| |
|
GOCKA, E.F. (1973). Stepwise regression for mixed mode
predictor variables. Educational & Psychological
Measurement, 33, 319-325 |
BRUCK, E., ARNOLD, W., ADERHOLT, S.,& MURAN, J.C.
(2006). Predictive validity of patient and therapist
attachment and introject styles. American Journal of
Psychotherapy, 60 (4), 393-406. |
|
 |
Voir aussi Variables |
 |
|
|
|
|
Variable propre : Caractéristique physique ou psychologique
non-manipulable du sujet,
qui lui appartient en propre. EX: Sexe et âge
des enfants autistes. C-EX: Le nombre d'amis
d'un enfant autiste n'est pas une variable propre, car il s'agit
d'une caractéristique de son milieu.
= variable organismique, variable de sélection, variable intrinsèque, variable individuelle.
/variable
associée.
Intrinsic variable.
| EXEMPLE |
Variable
indépendante propre |
 |
Variable
dépendante |
| Âge |
Comportement d'aide |
|
Variable
qualitative : Toute variable
mesurée au moyen d'une échelle
nominale ou ordinale.
( ): variable nominale et variable
ordinale. Qualitative variable.
| |
|
GOODMAN, L.A. (1977). How not to analyze nonrecursive
systems pertaining to qualitative variables. Political
Methodology, 4, 23. |
GOODMAN, L.A. (1987). New methods for analyzing the
intrinsic character of qualitative variables using
cross-classified data. American Journal of Sociology,
93, 529. |
|
 |
Voir aussi Échelle
nominale et
Variables |
 |
|
|
|
|
|
|
|
|
Variable
structurale : Variable inventée par le chercheur pour
représenter des moments de mesures, ou des facteurs à contrôler
dans un plan de
recherche. Elles ont le statut de variable
indépendante sans pour autant à elles seules rendre la
recherche expérimentale, à moins que les sujets y soient assignés
aléatoirement. Structural variable.
|
|
|
|
|
Variance
(s 2) : En statistique,
mesure de
dispersion. Il s'agit en fait de la moyenne des carrés des
écarts à la moyenne ou,
dit autrement, de l'écart-type
au carré. Variance et covariation.
Variance, statistical variation.
| |
 |
| |
MORGAN, W.A. (1939). A test for the significance of the
differences between two variances in a sample from a
normal bivariate population. Biometrika, 31,
13-19. |
WILCOX. R.R. (1990). Comparing the variances of two
dependent groups. Journal of Educational Statistics,
15, 237-247. |
YUEN, K.K. (1974). The two-sample trimmed t for unequal
population variances. Biometrika, 61, 165-170. |
RAO, J.N.K. & SHAO, A.J. (1992). Jackknife variance
estimation with survey data under hot deck imputation. Biometrika,
79, 811-822. |
WOLTER, K.M. (1985). Introduction to variance
estimation. New York : Springer-Verla. |
ENGELHARD, G. (1994). Historical views of the concept of
invariance in measurement theory. In M. Wilson (Ed.), Objective
Measurement : Theory into Practice (Vol. 2, pp. 73-
99). Norwood, NJ : Ablex. |
ABELSON, R.P. (1985). A variance explanation paradox :
When a little is a Lot. Psychological Bulletin, 97
(1), 129-133.
[PDF] +
[PDF] |
RAO, J.N.K. & SITTER, R.R. (1995). Variance estimation
under two-phase sampling with application to imputation
for missing data. Biometrika, 82, 453-460. |
|
DAYAN, P. & SEJNOWSKI, T.J. (1996). The variance of
covariance rules for associative matrix memories and
reinforcement learning. Neural Computation, 5, 205-209.
[PDF] |
|
RAO, J.N.K. (1996). On variance estimation with imputed
survey data. Journal of the American Statistical
Association, 91, 499-506. |
|
TOROK, R. & WATSON, J.M. (2000). Development of the
concept of statistical variation : An exploratory study. Mathematics
Education Research Journal, 12, 147-169. |
ADAMS, K.M., BROWN, G.G. & GRANT, I. (1985). Analysis
of covariance as a remedy for demographic mismatch
ofresearch subject groups : some sobering simulations. Journal
of Clinical & Experimental Neuropsychology, 7
(4), 445-462. |
WATSON, J.M., KELLY, B.A., CALLINGHAM, R.A. &
SHAUGHNESSY, J.M. (2003). The measurement of school
students' understanding of statistical variation.
International Journal of Mathematical Education in
Science & Technology, 34, 1-29. |
WILCOX, R.R. (1987). New designs in the analysis of
variance. Annual Review of Psychology, 38, 29-60. |
WOLTER, K.M. (2007). Introduction to variance
estimation. Springer-Verlag. |
WILCOX. R.R. (1989). Comparing the variances of dependent
groups. Psychometrika, 54, 305-316. |
KAPUR, M. (2012). Productive failure in learning the
concept of variance. Instructional Science, 40 (4),
651-672. |
| |
SCHERRER,
B. (1984). Biostatistique. Chicoutimi : Gaëtan
Morin. |
Voir aussi Écart-type
et Mesure
de dispersion |
 |
|
Variance/Variation
(Co-) : Voir Covariable.
Covariation.
|
|
|
Variation : Changement - plus
ou moins grand - de la nature qualitative
ou quantitive d'un phénomène.
Variation et
style. Variation.
| |
|
SMITH, J.H. (1916). Individual variations in arithmetic. Elementary
School Journal, 17, 195-200. |
KOEHLER, L.J., IWATA, B.A., ROSCOE, E.M., ROLIDER, N.U.
& O'STEEN, L. (2005). Effects of stimulus variation on
the reinforcing capability of nonpreferred stimuli. Journal
of Applied Behavior Analysis, 38 (4), 469-484. [PDF] |
FENNER, D. (1980). The role of contingencies and
"principles of behavioral variation" in pigeons' pecking.
Journal of the Experimental Analysis of Behavior, 34 (1),
1-12.
[PDF] |
TSAI, J.L., LEVENSON, R.W. & McCOY, K. (2006).
Cultural and temperamental variation in emotional
response. Emotion, 6, 484-497. |
TESTU, F. (1982). Les variations journalières et
hebdomadaires de l'activité intellectuelle de l'élève.
Paris : Éditions du CNRS. |
CONWAY, A.R.A., JARROLD, C., KANE, M.J., MIYAKE, A. &
TOWSE, J. (2007). Variation in working memory.
Oxford University Press. |
STERN, D.L. (2000). Evolutionary developmental biology and
the problem of variation. Evolution, 54, 1079-1091. |
MARKS, D.F. (2010). IQ variations across time, race, and
nationality : An artifact of differences in literacy
skills. Psychological Reports, 106 (3), 643-664. |

|
 |
|
|
|
|
|
|
|
|
|
|
|
|
|
Variation
génétique :
Genetic variation.
| |
|
CAMPBELL, D.T. (1965). Variation, selection, and retention
in sociocultural evolution. In H.R. Barringer, G.I.
Blanksten & R.W. Mack (Eds.), Social change in
de-eloping areas : A reinterpretation of evolutionary
theory (pp. 19-49). Cambridge, Mass. : Schenkman. |
|
SANKAR, P. & CHO, M.K. (2002). Genetics : Toward a new
vocabulary of human genetic variation. Science, 298, 1337-1338. |
GRAIG, I.W. (2007). The importance of stress and genetic
variation in human aggression. BioEssays, 29,
227-236.
[PDF] |
JORDE, L.B. & WOODING, S.P. (2004). Genetic variation,
classification and "race". Nature Genetics, 36 (S),
28-33. [PDF] |
FOWLER, J., BAKER, L.A. & DAWES, C.T. (2008). Genetic
variation in political participation. American
Political Science Review, 102, 233-248. [PDF] |
JOHNSON, W. & KRUEGER, R.F. (2005). Higher perceived life control decreases genetic variance in physical health : Evidence from a national twin study. Journal of Personality & Social Psychology, 88, 165-173.
[PDF] |
GORELICK, R. & HENG, H.H.Q. (2011). Sex reduces
genetic variation : A multidisciplinary review. Evolution,
65, 1088-1098. [PDF] |
| |
ABERCROMBIE,
M., HICKMAN, C.J. & JOHNSON, M.L. (1980). Dictionary
of biology. Londres : Penguin. |
Voir aussi Race, Hérédité,
Mutation et
Variation |
 |
|
Variation
moyenne : Mesure
de l'augmentation ou de la diminution de la valeur
d'une variable par unité de temps.
|
Variation
naturelle : Variation d'un phénomène
que l'on peut observer en
laboratoire ou en milieu
naturel, mais que le chercheur ne peut manipulé ( EX
: L'âge des sujets). On dira alors que certaines
variations d'un phénomènes sont sélectionnées par le chercheur ( EX
: les asujets dultes pas les enfants).
= variable indépendante assignée ou
invoquée. Natural variation.
| |
|
MILLER, P.M., SALTZ, J.B., COCHRANE, V.A., MARCINKOWSKI,
C.M., MOBIN, R. & TURNER, T.L. (2011). Natural
variation in decision-making behavior in Drosophila
melanogaster. PLoS One, 6 (1), 1-7. [PDF] |
McGRATH, P.T. (2012). Varieties of behavioral natural
variation. Current Opinion in Neurobiology, 23, 1-5.
[PDF] |
|
 |
Voir aussi Variation,
Variation artificielle et Nature |
 |
|
|
|
|
|
Vasilachis
de Gialdino Irene : Spécialiste argentine de l'analyse
du discours.
 |
VASILACHIS DE GIALDINO, I. (2007). Representations of
young people associated with crime in El Salvador's
written press. Critical Discourse Studies, 4
(1), 1-28. |
VASILACHIS DE GIALDINO, I. (2009). Itinéraires "dans" et
"depuis" les situations de pauvrete´: une proposition
d'analyse sociologico-linguistique de la narration. Qualitative,
28 (1), 1-7. [PDF] |
VASILACHIS DE GIALDINO, I. (2009). Ontological and
epistemological foundations of qualitative research. Forum
Qualitative Sozialforschung / Forum : Qualitative Social
Research, 10 (2). |
VASILACHIS DE GIALDINO, I. (2010). Labour, workers and
work : sociological and linguistic analysis of political
discourse. Critical Discourse Studies, 7 (3),
203-217. |
VASILACHIS DE GIALDINO, I. (2012). L'interprétation dans
la recherche qualitative : problèmes et exigences.
Recherche Qualitative, 31 (3), 155-187. [PDF] |
 |
 |
|
|
|
Vasey Paul L. (Toronto 1966-) :
Primatologue canadien, spécialisé dans l'étude
de l'homosexualité. Étudiant de Chapais. Collaborateur de Bailey,
Bartlett,
Blanchard, Gunst, Leca
et Zucker.
 |
VASEY, P.L. (1995). Homosexual behavior in primates : a
review of evidence and theory. International Journal of
Primatology, 16 (2), 173-204. |
VASEY, P.L. (1998). Female choice and inter-sexual
competition for female sexual partners in Japanese
macaques. Behaviour, 135, 579–597.
|
VASEY, P.L., POCOK, D.S. & VANDERLAAN, D.P. (2007).
Kin selection and male androphilia in Samoan fa’afafine. Evolution
& Human Behavior, 28, 159–167. [PDF]
|
VASEY, P.L., VANDERLAAN, D.P., GOTHREAU, L.M. &
BARTLETT, N.H. (2009). Traits of separation anxiety in
childhood : A retrospective study of Samoan men, women,
and Fa'afafine. Archives of Sexual Behavior, 40
(3), 511-517. |
VASEY, P.L., VANDERLAAN, D.P., HAMES, R. & JAIDEE,
A. (2016). A problematic test of the kin selection
hypothesis among the Urak-Lawoi of Ko Lipeh, Thailand :
Commentary on Camperio Ciani, Battaglia, & Liotta
(2015). Journal of Sex Research, 53, 149-152.
|
 |
 |
|
Vasterling
Jennifer J. ( ) :
Neurocognitivste américaine et spécialiste dans l'étude du
trouble de stress post-traumatique. Collaboratrice de
Brewin.
 |
VASTERLING, J.J. BRAILEY, K., CONSTANS, J.I. & SUTKER,
P.B. (1998). Attention and memory dysfunction in
posttraumatic stress disorder. Neuropsychology, 12,
125-133. |
VASTERLING, J.J., CONSTANS, J.I. & HANNA-PLADDY, B.
(2000). Head injury as a predictor of psychological
outcome in combat veterans. Journal of Traumatic
Stress, 13, 441-451. |
VASTERLING, J.J., DUKE, L.M., BRAILEY, K., CONSTANS, J.I.,
ALLAIN, N. & SUTKER, P.B. (2002). Attention, learning,
and memory performances and intellectual resources in
Vietnam veterans : PTSD and no disorder comparisons. Neuropsychology,
16 (1), 5-14. [PDF] |
VASTERLING, J.J. & VERFAELLIE, M. (2009).
Posttraumatic stress disorder : A neurocognitive
perspective. Journal of the International
Neuropsychological Society, 15, 826-829. [PDF] |
VASTERLING, J.J., VERFAELLIE, M. & SULLIVAN, K.D.
(2011). Mild traumatic brain injury and posttraumatic
stress disorder in returning veterans : perspectives from
cognitive neuroscience. Clinical Psychoogyl Review,
29 (8), 674-684. [PDF] |
 |
 |
|
Vauclair
Jacques ( ) : Psychologue
cognitiviste européen
d'origine française, spécialisé dans l'étude de la cognition
et de l'intelligence
animale, notamment chez le
babouin. Professeur de
Houdé. Collaborateur de Hopkins,
Piolat et Zayan.

 |
VAUCLAIR, J. (1982). Sensorimotor intelligence in human
and nonhuman primates. Journal of Human Evolution, 11,
757-764.
[PDF] |
VAUCLAIR, J. & FAGOT, J. (1993). Manual and
hemispheric specialization in the manipulation of a
joystick by baboons. Behavioral Neuroscience, 107,
210-214. [PDF] |
VAUCLAIR, J. & HOUDÉ, O. (2000). Co-ordination of
actions, visual perception, and inhibition in human and
non-human primate development. Developmental Science,
3, 382-384. [PDF] |
VAUCLAIR, J. & DONNOT J. (2005). Infant holding biases
and their relations to hemispheric specializations for
perceiving facial emotions. Neuropsychologia, 43,
564-571. [PDF] |
VAUCLAIR, J. & SCOLA, C. (2009). Infant-holding biases
in mothers and affective symptoms during pregnancy and
after delivery. Infant & Child Development, 18,
106-121. [PDF] |
 |
 |
|
|
|
|
|
|
|
Vaughn
Brian E. ( ) : Psychologue
américain spécialisé dans l'étude du développement,
et plus particulièrement de l'attachement.
Collaborateur de Egeland,
Flavell, Langlois,
Strayer,
Sroufe, Van
Ijzendoorn et Waters.
 |
VAUGHN, B.E. & SROUFE, L.A. (1979). The temporal
relationship between infant heartrate acceleration and
crying in an aversive situation. Child Development,
50, 565-567. |
VAUGHN, B.E. & LANGLOIS, J.H. (1983). Physical
attractiveness as a correlate of peer status and social
competence in preschool children. Developmental
Psychology, 19, 561-567. |
VAUGHN, B.E. & WATERS, E. (1990). Attachment behavior
at home and in the laboratory. Child Development, 61,
1965-1973. |
VAUGHN, B.E., AZRIA, M.R., KRZYSIK, L., CAYA, L.R., BOST,
K.K., NEWELL, W. & KAZURA, K.L. (2000). Friendship and
social competence in a sample of preschool children
attending Head Start. Developmental Psychology, 36, 326-338. |
VAUGHN, B.E. (2001). A hierarchical model of social
competence for preschool-age children : Cross-sectional
and longitudinal analyses. Revue Internationale de
Psychologie Sociale, 14, 13-40. |
 |
 |
|
Vaughan
Margaret E. ( ) : Psychologue
béhavioriste
américaine. Elle s'intéresse au langage
et aux règles de
contingences. Collaboratrice de Michael
et Skinner.

 |
SKINNER, B.F. & VAUGHAN, M.E. (1983). Enjoy old
age : A program of self-management. New York :
Norton. |
VAUGHAN, M.E. (1989). Rule-governed behavior in behavior
analysis : A theoretical and experimental history. In S.C.
Hayes (Ed.), Rule-governed behavior : Cognition,
contingencies and instructional control (pp.
97-115). New York : Plenum Press. [PDF] |
VAUGHAN, M.E. & MICHAEL, J.L. (1982). Automatic
reinforcement : An important but ignored concept. Behaviorism,
10 (2), 217-227. [PDF] |
VAUGHAN, M.E. (1985). Repeated acquisition in the analysis
of rule-governed behavior. Journal of the Experimental
Analysis of Behavior, 44 (2), 175-184. [PDF] |
VAUGHAN, M.E. (1990). Reflections on B.F. Skinner. The
Behavior Analyst, 13, 101-102. [PDF] |
 |
 |
|
Vaughan
William ( ) : Psychologue
béhavioriste
américain. Étudiant de Herrnstein.
Collaborateur de Baum.
 |
VAUGHAN, W. (1981). Melioration, matching, and
maximization. Journal of the Experimental Analysis of
Behavior, 36 (2), 141-149. [PDF] |
VAUGHAN, W. (1982). Choice and the Rescorla-Wagner model.
In M.L. Commons, R.J. Herrnstein & H. Rachlin (Eds.),
Quantitative analyses of behavior : Matching and
maximizing acounts (Vol.2. pp. 263-279).
Cambridge, MA : Ballinger. |
VAUGHAN, W. (1984). Optimization versus response-strength
accounts of behavior. Journal of the Experimental
Analysis of Behavior, 42 (2), 337-348. [PDF] |
VAUGHAN, W. & HERRNSTEIN, R.J. (1987). Stability,
melioration, and natural selection. In L. Green & J.H.
Kagel (Eds.), Advances in behavioral economics (Vol
1, pp. 185-215). Norwood, NJ : Ablex. |
VAUGHAN, W. (1988). Formation of equivalence sets in
pigeons. Journal of Experimental Psychology : Animal
Behavior Processes, 14 (1), 36-42. |
 |
 |
|
Vautour :
Oiseau charognard. = (Neophron percnopterus, Sarcogyps calvus, Coragyps urubu).
Vulture.
| |
|
URNER, C.A. (1931). Black vulture (Coragyps urubu) in New
Jersey. The Auk, 48 (1), 116-117. [PDF]
|
|
CUNNINGHAM, A.A., PRAKASH, V., PAIN, D.J., GHALSASI, G.R.,
WELLS, G.A.H., KOLTE, G.N., NIGHOT, P., GOUDAR,
M.S., KSIRSAGAR, S. & RAHMANI, A. (2003). Indian
vultures : victims of an infectious disease epidemic ?
Animal Conservation, 6, 189–197 |
|
SHULTZ, S., BARAL, H.S., CHARMAN, S., CUNNINGHAM, A.A.,
DAS, D., GHALSASI, G.R., GOUDAR, M.S., GREEN, R.E., JONES,
A., NIGHOT, P., PAIN, D.J. & PRAKASH, V. (2004).
Diclofenac poisoning is widespread in declining vulture
populations across the Indian subcontinent. Proceedings
of the Royal Society of London. Series B, Biological
Sciences, 271 (S), 458–460. [PDF] |
|
OAKS, J.L., GILBERT, M., VIRANI, M.Z., WATSON, R.T., METEYER, C.U.,
RIDEOUT, B.A., SHIVAPRASAD, H.L., AHMED, S., CHAUDHRY, M.J., ARSHAD,
M., MAHMOOD, S., ALI, A. & KHAN A.A. (2004). Diclofenac residues
as the cause of population decline of vultures in
Pakistan. Nature, 427, 630–633. |
|
CUNNINGHAM, A.A., GREEN, R.E., NEWTON, I., SHULTZ, S.,
CUNNINGHAM, A.A., GILBERT, M., PAIN, D.J. & PRAKASH,
V. (2004). Diclofenac poisoning as a cause of vulture
population declines across the Indian subcontinent. Journal
of Applied Ecoloogy, 41 (5), 793–800. |
YEE, N., SHAFFER, L.G., GORE, M.L. & HARRELL, M.L.
(2021). Expert perceptions of conflicts in african vulture
conservation : implications for overcoming ethical
decision-making dilemmas. Journal of Raptor Research,
55 (3), 359–373.
|
CUTHBERT, R.J., GREEN, R.E., RANADE, S., SARAVANAN, S.,
PAIN, D.J., PRAKASH, V. & CUNNINGHAM, A.A. (2006).
Rapid population declines of Egyptian vulture (Neophron
percnopterus) and red-headed vulture (Sarcogyps calvus) in
India. Animal Conservation, 9 (3), 349–354.
|
HEEVER, L.V.D., THOMPSON, L.J., BOWERMAN, W.W.,
SMIT-ROBINSON, H., SHAFFER, L.J., HARRELL, R.M. &
OTTINGER, M.A. (2021). Reviewing the role of vultures at
the human–wildlife–livestock disease interface : an
African perspective. Journal of Raptor Research, 55
(3), 1–1
|
DAS, D., CUTHBERT, R.J. JAKATI, R. & PRAKASH, V.
(2011). Diclofenac is toxic to the Himalayan Vulture Gyps
himalayensis. Bird Conservation International, 21 (1),
72–75.
|
|
SWAN, G., NAIDOO, V., CUTHBERT, R., GREEN, R.E., PAIN,
D.J., SWARUP, D., PRAKASH, V., TAGGART, M., BEKKER, L.,
DAS, D., DIEKMANN, J, DIEKMANN, M., KILLIAN, E., MEHARG,
A., PATRA, R.C., SAINI, M. & WOLTER, K. (2006).
Removing the threat of diclofenac to critically endangered
Asian vultures. PLoS Biol 4 (3), 395-402. [PDF] |
|
MARKANDYA, A., TAYLOR, T., LONGO, A., MURTY, M.N., MURTY,
S. & DHAVALA, K. (2008). Counting the cost of vulture
decline—an appraisal of the human health and other
benefits of vultures in India. Ecological Ecoomics, 67
(2). 194–204
|
JALIHAL, S., RANA, S. & SHARMA, S. (2022). Systematic
mapping on the importance of vultures in the Indian public
health discours. Environmental Sustainability, 5, 135–143.
[PDF]
|
OGADA, D.L., KEESING, F. & VIRANI, M.Z. (2012).
Dropping dead : causes and consequences of vulture
population declines worldwide. Annals of the New York
Academy of sciences, 1249 (1), 57-71.
|
|
OGADA, D.L., TORCHIN, M.E., KINNAIRD, M.F. & EZENWA,
V.O. (2012). Effects of vulture declines on facultative
scavengers and potential implications for mammalian
disease transmission. Conservation Biology, 26 (3),
453–460.
|
|
PRAKASH, V., BISHWAKARMA, M.C., CHAUDHARY, A., CUTHBERT,
R., DAVE, R., KULKARNI, M., KUMAR, S., KHADANANDA, P.,
RANADE, S., SHRINGARPURE, R. & GREEN, R.E. (2012). The
population decline of gyps vultures in
India and Nepal has slowed since veterinary use of
diclofenac was banned. PLoS ONE, 7 (11), 1-10. [PDF] |
|
MARGALIDA, A., CAMPION, D. & DONAZAR, J. (2014).
Vultures vs livestock : conservation relationships in an
emerging conflict between humans and wildlife. Oryx,
48 (2), 172–176. |
|
SAFFORD, R., ANDEVSKI, J., BOTHA, A., BOWDEN, C.,
CROCKFORD, N., GARBETT, R., MARAGALIDA, A., RAMIREZ, I.,
SHOBRAK, M., TAVARES, J. & WILLIAMS, N. (2019).
Vulture conservation : the case for urgent action. Bird
Conservation International, 29 (1), 1–9. |
|
|
BURNIE, D. (Ed.) (2001). Animal. Londres :
Dorling Kindersley / Le règne animal.
Saint-Laurent : Erpi. |
Voir aussi Corvidé,
Animal et Oiseau |
 |
|
Vazire
Simine ( ) : Psychologue
américaine, d'origine française, spécialisée dans l'étude de
la personnalité,
notamment du narcissisme.
Collaboratice de Bootzin,
Gosling, Jussim, Krosnick
et Paulhus.
 |
VAZIRE, S. & GOSLING, S.D. (2003). Bridging psychology
and biology with animal research. American
Psychologist, 58, 407-408. [PDF] |
VAZIRE, S. (2006). Informant reports : A cheap, fast, and
easy method for personality assessment. Journal of
Research in Personality, 40, 472-481. [PDF] |
VAZIRE, S., NAUMANN, L.P., RENTFROW, P.J. & GOSLING,
S.D. (2008). Portrait of a narcissist : Manifestations of
narcissism in physical appearance. Journal of
Research in Personality, 42, 1439-1447. [PDF]
|
VAZIRE, S. (2010). Who knows what about a person ? The
self-other knowledge asymmetry (SOKA) model. Journal
of Personality & Social Psychology, 98,
281-300. [PDF]
|
VAZIRE, S. & CARLSON, E.N. (2011). Others sometimes
know us better than we know ourselves. Current
Directions in Psychological Science, 20, 104-108. [PDF]
|
 |
 |
|
| VÉCU - VERBAL BEHAVIOR -
VÉRIFICATION - VÉRIFICATION
COMPULSIVE - VÉRITÉ -
VERNON - VERTU - VERPLANCK
- VÊTEMENT - VI |
|
|
Veazy
Connie H. ( ) : Psychologue
américaine et spécialiste de l'étude des conséquences
psychologiques du Parkinson.
Collaboratrice de
Blanchard et Hickling.
 |
VEAZEY, C.H., AKI, S.O.E., COOK, K.F., LAI, E. &
KUNIK, M. (2005). Prevalence and treatment of depression
in Parkinson's disease. The Journal of
Neuropsychiatry & Clinical Neurosciences, 17 (3),
310-323. |
VEAZEY, C.H., BLANCHARD, E.B., HICKLING, E.J. &
BUCKLEY, T.C. (2004). Physiological responsiveness of
motor vehicle accident survivors with chronic
posttraumatic stress disorder. Applied psychophysiol
Biofeedback, 29 (1), 51-56. |
VEAZEY, C.H., WAGNER, A.L., HAYS, J.R. & MILLER, H.A.
(2050). Validity of the Miller forensic assessment of
symptoms test in psychiatric inpatients. Psychological
Reports, 96, 771-774. |
VEAZEY, C.H., AKI, S.O.E., COOK, K.F., LAI, E. &
KUNIK, M.E. (2005). Prevalence and treatment of depression
in Parkinson’s disease. Journal of Neuropsychiatry
& Clinical Neurosciences, 17 (3), 310-323. |
VEAZEY, C., COOK, K., STANLEY, M., LAI, E.C. & KUNIK,
M.E. (2009). Telephone administered cognitive behavioral
therapy : A case study of anxiety and depression in
Parkinson’s disease. Journal of Clinical Psychology
in Medical Settings, 16, 243-253.
[PDF] |
 |
 |
|
|
|
|
|
Vedette : Vedettariat
: Toute personne populaire auprès de ses pairs
ou dans la société en général et dont on reconnaît publiquement le
talent, les mérites ou les
compétences. Vedette
et adulation.
Celebrity.
| |
|
STEVER, G.S. (1991). The Celebrity Appeal Questionnaire.
Psychological Reports, 68, 859–866. |
ASHE, D.D. & McCUTCHEON, L.E. (2001). Shyness,
loneliness, and attitude toward celebrities. Current
Research in Social Psychology, 6, 124 133. |
ELBERSE, A. & VERLUENN, J. (2012). The economic value
of celebrity endorsements. Journal of Advertising
Research, 52 (2), 149-165 |
KRAUSS, L.M. (2015). Scientists as celebrities : Bad for
science or good for society ? Bulletin of the Atomic
Scientists, 71 (1), 26-32. |
 |
Voir aussi Adulation |
 |
|
Veenman Marcel J.V. (Hillegom 1959-) : Psychologie
néérlandais et spécialiste de l'étude de la métacognition,
notamment en milleu scolaire.
 |
VEENMAN, M.V.J., KERSEBOOM L. & IMTHORN, C. (2000).
Test anxiety and metacognitive skillfulness : Availability
versus production deficiencies. Anxiety, Stress, &
Coping, 13, 391-412. |
VEENMAN, M.V.J., WILHELM, P. & BEISHUIZEN, J.J.
(2004). The relation between intellectual and
metacognitive skills from a developmental perspective.
Learning & Instruction, 14, 89-109.
|
VEENMAN, M.V.J. & SPAANS, M.A. (2005). Relation
between intellectual and metacognitive skills : age and
task differences. Learning & Individual
Differences, 15, 159-176. |
VEENMAN, M.V.J., Van HOUT-WOLTERS, H.A.M. &
AFFLERBACH, P. (2006). Metacognition and learning :
Conceptual and methodological considerations.
Metacognition & Learning, 1, 3-14. |
VEENMAN, M.V.J. (2006). The role of intellectual and
metacognitive skills in math problem solving. In A.
Desoete & M.V.J. Veenman (Eds.), Metacognition in
mathematics education (pp. 35-50). Hauppauge, NY :
Nova Science. |
 |
 |
|
Veenstra
Gerry ( ) :
Sociologue canadien et spécialiste de l'étude des classes
sociales et du capital
social.
 |
VEENSTRA, G. (2000). Social capital and health : an
individual-level analysis. Social Science &
Medicine, 50, 619-629. |
VEENSTRA, G. (2002). Social capital and health (plus
wealth, income inequality and regional healthg overnance).
Social Science & Medicine, 54, 849-858. |
VEENSTRA, G., LUGINAAH, I., WAKEFIELD, S., BIRCH, S.,
EYLES, J. & ELLIOTT, S. (2005). Who you know, where
you live : Social capital, neighbourhood and health.
Social Science & Medicine, 60, 2799-2818. [PDF] |
VEENSTRA, G. & PATTERSON, A.C. (2012). Capital
relations and health : Mediating and moderating effects of
cultural, economic, and social capitals on mortality in
Alameda County, California. International Journal of
Health Services, 42 (2), 277-291. |
VEENSTRA, G. (2018). Infusing fundamental cause theory
with features of Bourdieu's theory of symbolic power. Scandinavian
Journal of Public Health, 46, (1), 49-52. |
 |
 |
|
Végétarisme : Végétarien
:
Vegetarianism.
| |
|
DIETZ, T., FRISCH, A.S., KALOF, L., STERN, P. &
GUAGNANO, G.A. (1995). Values and vegetarianism : An
exploratory analysis. Rural Sociology, 60,
533-542. |
LINDEMAN, M., STARK, K. & LATVALA, K. (2000).
Vegetarianism and eating-disordered thinking. Eating
Disorders, 8, 157-165. |
LINDEMAN, M. (2002). The state of mind of vegetarians :
psychological well-being or distress ? Ecology of
Food & Nutrition, 41 (1), 75-86. |
BARDONE-CONE, A.M., FITZSIMMONS-CRAFT, E.E., HARNEY, M.
B., MALDONADO, C.R., LAWSON, M.A., SMITH, R. &
ROBINSON, D.P. (2012). The inter-relationships between
vegetarianism and eating disorders among females. Journal
of the Academy of Nutrition & Dietetics, 112
(8), 1247-1252. [PDF] |
 |
 |
|
Veille
(État) :
|
Velicer
Wayne F. (Green Bay 1944-2017) : Psychologue
et statisticien américain et spécialiste de l'étude du comportement
de fumer. Il s'intéresse aux s éries
chrtonologique. Collaborateur de Collins,
Goodwin et Prochaska.

 |
VELICER, W.F. (1974). An empirical comparison of the
stability of factor analysis, principal component
analysis, and image analysis. Educational &
Psychological Measurement, 34, 563-572. |
VELICER, W.F., DICLEMENTE, C.C., PROCHASKA, J.O. &
BRANDENBERG, N. (1985). A decisional balance measure for
assessing and predicting smoking status. Journal of
Personality & Social Psychology, 48, 1279-1289. |
VELICER, W.F., DICLEMENTE, C.C., ROSSI, J.S. &
PROCHASKA, J.O. (1990). Relapse situations and
self-efficacy : An integrative model. Addictive
Behaviors, 15, 271-283. |
VELICER, W.F., PROCHASKA, J.O., ROSSI, J.S. & SNOW, M.
(1992). Assessing outcome in smoking cessation studies. Psychological
Bulletin, 111, 23-41. |
VELICER, W.F., PROCHASKA, J.O., FAVA, J.L., NORMAN, G.J.
& REDDING, C.A. (1998). Smoking cessation and stress
management : Applications of the transtheoretical model of
behavior change. Homeostasis, 38, 216-233. |
|
HARLOW, L. & al. (2020). A tribute to the mind,
methodology and mentoring of Wayne Velicer. Multivariate
Behavioral Research, 56 (1), 1-13. [PDF] |
 |
 |
|
Vellutino
Frank R. ( ) : Psychologue
anglais et spécialiste de l'étude de la lecture
et de la dyslexie.
Collaborateur de Lyon, Snowling
et Wolf.
 |
VELLUTINO, F. (1977). Alternative conceptualizations of
dyslexia : Evidence in support of a verbal-deficit
hypothesis. Harvard Educational Review, 47,
334-354. |
VELLUTINO, F.R., SCANLON, D.N. & TANZMAN, M.S. (1988).
Lexical memory in poor and normal readers : Developmental
differences in the use of category cues. Canadian
Journal of Psychology, 42, 216-241. |
VELLUTINO, F.R., SCANLON, D.N., SMALL, S.G. & TANZMAN,
M.S. (1991). The linguistic basis of reading ability :
Converting written to oral language. Text, 11,
99-133. |
VELLUTINO, F.R., SCANLON, D.N. & LYON, G.R. (2000).
Differentiating between difficult-to- remediate and
readily remediated poor readers : More evidence against
the IQ–achievement discrepancy definition of reading
disability. Journal of Learning Disabilities, 33,
223-238. |
VELLUTINO, F.R., FLETCHER, J.M., SNOWLING, M.J. &
SCANLON, D.N. (2004). Specific reading disability
(dyslexia) : what have we learned in the past four decades
? Journal of Child Psychology & Psychiatry, 45
(1), 2-40. [PDF] |
 |
 |
|
|
|
Venézuela
: Pays. Venezuela.
| |
|
KOLB, G.L. (1974). Democracy and dictatorship in
Venezuela, 1945-1958. Hamden, CT : Shoestring
Press. |
 |
 |
|
Vengence
: Venger : Action de punir
celui ou celle qui nous a puni, qui nous a fait souffrir.
Vengeance et escalde de la violence. =
oeil pour oeil, dent pour dent, loi du Tallion.
Revenge.
| |
|
DIAMOND, S.R. (1977). The effect of fear on the aggressive
responses of anger aroused and revenge motivated subjects.
Journal of Psychology, 95, 185-188. |
|
KIM, S.H. & SMITH, R.H. (1993). Revenge and conflict
escalation. Negotiation Journal, 9, 37-43. |
BARBER, L., MALTBY, J. & MACASKILL, A. (2005). Angry
memories and thoughts of revenge : The relationship
between forgiveness and anger rumination. Personality
& Individual Differences, 39, 253-262. |
STUCKLESS, N. & GORANSON, R. (1992). The vengeance
scale : Development of a measure of attitudes toward
revenge. Journal of Social Behavior & Personality,
7, 25-42. |
ZAILBERT, L. (2006). Punishment and revenge. Law &
Philosophy, 251, 81-118. |
KIM, S.H. & SMITH, R.H. (1993). Revenge and conflict
escalation. Negotiation Journal, 9 (1), 37-43. |
YOSHIMURA, S. (2007). Goals and emotional outcomes of
revenge activities in interpersonal relationships. Journal
of Social & Personal Relationships, 24, 87-98. |
FRIJDA, N.H. (1994). The lex talionis : On vengeance. In
S.H.M. van Goozen, N.E. Van de Poll & J.A. Sargeant
(Eds.), Emotions : Essays on emotion theory (pp.
263-289). Hillsdale NJ : Lawrence Erlbaum Associates. |
YSSELDYK, R., MATHESON, K. & ANISMAN, H. (2007).
Rumination : Bridging a gap between forgivingness,
vengefulness, and psychological health. Personality
& Individual Differences, 42, 1573-1584. |
STUCKLESS, N., FORD, B.D. & VITELLI, R. (1995).
Vengeance, anger, and irrational beliefs in inmates : A
caveat regarding social desirability. Personality
& Individual Differences, 18, 1-6. |
McCULLOUGH, M.E. (2008). Beyond revenge. San
Francisco : Jossey-Bass. |
BIES, R. & TRIPP, T.M. (1996). Beyond distrust :
"Getting even" and the need for revenge. In R.M. Kramer
& T.R. Tyler (Eds.), Trust in organizations (pp.
246-260). Newbury Park, CA : Sage. |
|
MINOW, M. (1998). Between vengeance and forgiveness :
Facing history after genocide and mass violence. Boston
: Beacon Press. |
|
BIES, R. & TRIPP, T.M. (1998). Revenge in
organizations: The good, the bad, and the ugly. in R.W.
Griffin, A. O'Leary-Kelly & J. Collins (Eds.), Dysfunctional behavior in organizations (Vol. 1, pp. 49-67).
Stamford, CT : JAI Press. |
|
BRADFIELD, M. & AQUINO, K. (1999). Effects of blame
attributions and offender likeableness on forgiveness and
revenge in the workplace. Journal of Management, 25,
607-631. |
|
VIDMAR, N. (2001). Retribution and revenge. In J. Sanders
& V.L. Hamilton (Eds.), Handbook of justice
research in law (pp. 31-63). Dordrecht,
Netherlands : Kluwer Academic Publishers. |
CARLSMITH, K.M., WILSON, T.D. & GILBERT, D.T. (2008).
The paradoxical consequences of revenge. Journal of
Personality & Social Psychology, 95, 1316-1324. |
COTA-McKINLEY, A.L., WOODY W.D. & BELL, P.A. (2001).
Vengeance : Effects of gender, age, and religious
background. Aggressive Behavior, 27, 343-350. [PDF] |
McKEE, I.R. & FEATHER, N.T. (2008). Revenge,
retribution, and values : Social attitudes and punitive
sentencing. Social Justice Research, 21,
138-163. |
McCULLOUGH, M.E., BELLAH, C.G., KILPATRICK, S.D. &
JOHNSON, J.L. (2001). Vengefulness : Relationships with
forgiveness, rumination, well-being, and the big five. Personality
& Social Psychology Bulletin, 27, 601-610. |
STILLWELL, A., BAUMEISTER, R.F. & DEL PRIORE, R.E.
(2008). We're all victims here : Toward a psychology of
revenge. Basic & Applied Social Psychology, 30 (3),
253-263. |
TRIPP, T.M., BIES, R.J. & AQUINO, K. (2002). Poetic
justice or petty jealousy ? The aesthetics of revenge. Organizational Behavior & Human Decision Processes, 89, 966–984. |
|
FLETCHER, R. (2003). Bloodfeud : Murder and revenge
in Anglo-Saxon England. New York : Oxford
University Press. |
SCHUMANN, K. & ROSS, M. (2010). The benefits, costs,
and paradox of revenge. Social & Personality
Psychology Compass, 4 (12), 1193-1205. [PDF] |
CROMBAG, H., RASSIN, E. & HORSELENBERG, R. (2003). On
vengeance. Psychology, Crime & Law, 9, 333-344. |
YEAGER, D.S., TRZESNIEWSKI, K. H., TIRRI, K., NOKELAINEN,
P. & DWECK, C.S. (2011). Adolescents' implicit
theories predict desire for vengeance after remembered and
hypothetical peer conflicts : Correlational and
experimental evidence. Developmental Psychology, 47, 1090-1107. |
CARDOZO, B.L., KAISER, R., GOTWAY, C.A. & AGANI, F.
(2003). Mental health, social functioning, and feelings of
hatred and revenge of Kosovar Albanians one year after the
war in Kosovo. Journal of Traumatic Stress, 16,
351-360. |
McCULLOUGH, M.E., KURZBAN, R. & TABAK, B.A. (2013).
Cognitive systems for revenge and forgivenes.
Behavioral & Brain Sciences, 36 (1), 1-15. [PDF] |
BROWN, R.P. (2004). Vengeance is mine : Narcissism,
vengeance, and the tendency to forgive. Journal of
Research in Personality, 38, 576-584. |
|
EISENBERGER, R., LYNCH, P., ASELAGE, J. & ROHDIECK, S.
(2004). Who takes the most revenge ? Individual
differences in negative reciprocity norm endorsement. Personality & Social Psychology Bulletin, 30, 787-799. |
|
 |
| |
 |
Voir aussi Pardon,
Guerre, Représailles
et Punir |
 |
|
Venlafaxine : Antidépresseur
de la classe des inhibiteur de
la recapture de a sérotonine/noradréanaline
| |
|
AMSTERDAM, J. (1998). Efficacy and safety of
venlafaxine in the treatment of bipolar II major
depressive episode. Journal of Clinical
Psychopharmacology, 18, 414-4177.
|
HACKETT, D. & SALINAS, E. (1999). A six-month
evaluation of three dose levels of venlafaxine
extended-released in nondepressed outpatients with GAD.
152nd Annual Meeting of the American Psychiatric
Association. Washington DC, USA. |
HACKETT, D., DESMET, A. & SALINAS, E. (1999).
Dose-response efficacy of long-term treatment of
venlafaxine extended-release in generalized anxiety
disorder. Journal of the European College of
Neuropsychopharmacology, 9 (S5), 315. |
HACKETT, D. (2000). Venlafaxine XR in the treatment of
anxiety. Acta Psychiatrica Scandinavica, 406
(S), 30-35. |
MEONI, P., SALINAS, E. BRAULY, Y. & HACKETT, D.
(20001). Pattern of symptom improvement following
treatment with venlafaxine XR in patients with generalized
anxiety disorder. Journal of Clinical Psychiatry, 62
(11), 888-893. |
ALLGULANDER, C., HACKETT, D. & SALINAS, E. (2001).
Venlafaxine extended release (ER) in the treatment of
generalized anxiety disorder. British Journal of
Psychiatry, 179, 15-22. |
 |
 |
|
Ver
: Worm.
| |
|
McCONNELL, J.V. (1962). Memory transfer through
cannibalism in planarium. Journal of Neuropsychiatry,
3 (1), 542-548. |
HATRY, A.L., KEITH-LEE, P. & MORTON, W.D. (1964).
Planaria : memory transfer through cannibalism
re-examined. Science, 146 (3641), 274-275. [PDF] |
BLOCK, R.A. & McCONNELL, J.V. (1967). Classically
conditioned discrimination in the planarian, Dugesia
dorotocephala. Nature, 215, 1465-1466. |
RANKIN, C.H. (2004). What can't a worm learn ? Current
Biology, 14, 617-618. |
 |
 |
|
Véracité
(psychologique) : Ce qu'un individu
considère comme vrai (ou
faux). What is true (and what is false).
| |
|
BARRES, P. & JOHNSON-LAIRD, P.N. (2003). On imagining
what is true (and what is false). Thinking &
Reasoning, 9, 1-42. |
 |
 |
|
|
|
Verbal Behavior : Livre écrit par Skinner
en 1957 dans lequel il défend la thèse selon laquelle parler est
un comportement,
comme les autres, qui doit donc être analysé comme le résultat ou
le produit d'un apprentissage
(essentiellement un conditionnement opérant). Cette thèse a été
contestée par de nombreux psychologues et
linguistes, notamment Chomsky.
NDLR : Il faut lire ce livre et la critique
qu'en a fait Chomsky pour constater à quel point les idées de
Skinner à ce propos ont été mal comprises par l'ensemble de la communauté
scientifique. Verbal behavior, analyse
fonctionelle du comportement et comportement
verbal.
| |
|
SKINNER, B.F. (1957). Verbal behavior. New York
: Appleton-Century-Crofts. |
BARNES-HOLMES, D., BARNES-HOLMES, Y. & CULLINAN, V.
(2000). Relational frame theory and Skinner's Verbal
Behavior : A possible synthesis. The Behavior Analyst,
23, 69-84. [PDF] |
OSGOOD, C.E. (1958). Review of Verbal Behavior. Contemporary
Psychology, 3, 209–212. |
|
CHOMSKY, N. (1959). A review of B.F. Skinner's Verbal
behavior. Language, 35, 26-58. [PDF] |
|
BROADBENT, D.E. (1959). Review of Verbal Behavior. British
Journal of Psychology, 50, 371–373. |
|
JENKINS, J. (1959). Review of Verbal Behavior. Journal
of Speech & Hearing Disorders, 24, 73-74. |
PALMER, D.C. (2006). On Chomsky’s appraisal of Skinner’s
Verbal Behavior. The Behavior Analyst, 29,
253-267. [PDF] |
CHOMSKY, N. (1964). A review of B.F. Skinner's Verbal
Behavior. In J. A. Fodor and J.J. Katz (Eds.), The
structure of language : Readings in the philosophy of
language (pp. 547-578). Englewood Cliffs, NJ :
Prentice-Hall. |
|
MacQUORDALE, K. (1970). A reply to Chomsky's review of
Skinner's Verbal Behavior. Journal of the
Experimental Analysis of Behavior, 13 (1), 83-99.
[PDF] |
FROST, L. & BONDY, A. (2006). A common language :
Using B.F. Skinner’s Verbal Behavior for
assessment and treatment of communication disabilities in
SLP-ABA. American Journal of Speech-Language
Pathology, 1 (2), 103-109. [PDF] |
RICHELLE, M. (1972). Analyse formelle et analyse
fonctionnelle du comportement verbal. Notes sur le débat
entre Chomsky et Skinner. Bulletin de Psychologie, 26,
252-259/ (1976). Formal analysis and functional analysis
of verbal behavior : Notes on the debate between Chomsky
and Skinner. Behaviorism, 4, 209-221. |
SAUTTER, R.A. & LEBLANC, L.A. (2006). Empirical
applications of Skinner's analysis of Verbal Behavior with
human. The Analysis of Verbal Behavior, 22 (1),
35-48. [PDF] |
McLEISH, J.M.J. (1975). Verbal behavior : A review and
experimental analysis. The Journal of General
Psychology, 93, 3-66. |
VIRUES-ORTEGA, J. (2006). The case against B. F. Skinner
45 years later : An encounter with N. Chomsky. The
Behavior Analyst, 29, 243-251. [PDF] |
KNAPP, T.J. (1980). Beyond Verbal behavior. Behaviorism,
8 (2), 187-194. |
|
PLACE, U.T. (1981). Skinner's verbal behavior I: why we
need it. Behaviorism, 9, 1-24. |
|
PLACE, U.T. (1981). Skinner's verbal behavior II : :What's
wrong with it. Behaviorism, 9, 131-152. |
DYMOND, S., O'HORA, D., WHELAN, R. & O'DONOVAN, A.
(2006). Citation analysis of Skinner's Verbal Behavior :
1984-2004. The Behavior Analyst, 29, 75-88. [PDF] |
SUNDBERG, M.L. & PARTINGTON, J.W. (1983). Skinner's
Verbal Behavior : An update on the 1982 reference list. The
Analysis of Verbal Behavior, 2, 9-10. |
|
 |
MCPHERSON, A., BONEM, M., GREEN, G. & OSBORNE, J.G.
(1984). A citation analysis of the influence on research
of Skinner’s Verbal Behavior. The Behavior Analyst, 7
(2), 157-167.
[PDF] |
PASSOS, M.L.R.F. (2007). Skinner's definition of verbal
behavior and the arbitrariness of the linguistic signal. Temas em Psicologia, 15 (2), 161-172. [PDF] |
MORRIS, E.K. & SCHNEIDER, S.M. (1986). References in
B.F. Skinner's Verbal Behavior. The Analysis of Verbal
Behavior, 4, 39-43. [PDF] |
SCHLINGER, H.D. (2008). The long good-bye : why B.F.
Skinner's Verbal Behavior is alive and well on the 50th
anniversary of its publication. Psychological Record,
58, 329-337. [PDF] |
KNAPP, T.J. (1992). Verbal Behavior and the history of
linguistics. The Analysis of Verbal Behavior, 4,
39-43. [PDF] |
SALZINGER, K. (2008). Skinner's Verbal Behavior. International
Journal of Psychology and Psychological Therapy, 8, 287-294.
[PDF] |
ANDRESON, J.T. (1990). Skinner and Chomsky 30 years. Historiographia
Linguistica, 17, 145-165. |
CATANIA, A.C. (2008). Skinner's "Verbal Behavior" in a new
century. International Journal of Psychology &
Psychological Therapy, 8, 277-285. [PDF] |
STEMMER, N. (1990). Skinner’s verbal behavior, Chomsky's
review, and mentalism. Journal of the Experimental
Analysis of Behavior, 54 (3), 307-319. [PDF] |
KNAPP, T.J. (2009). The Hefferline notes : B.F. Skinner's
first public exposition of his analysis of Verbal
Behavior. The Analysis of Verbal Behavior, 25,
99-107. [PDF] |
ANDRESEN, J. (1991). Skinner and Chomsky 30 years later or
: The return of the repressed. The Behavior Analyst,
14, 49-60. [PDF] |
DYMOND, S. & ALONSO-ALVAREZ, B. (2010). The Selective
impact of Skinner's Verbal behaVior on empirical research
: a reply To Schlinger (2008). The Psychological
Record, 60, 355-360. [PDF] |
KNAPP, T.J. (1992). Verbal Behavior : The other reviews. The
Analysis of Verbal Behavior, 10, 87-95. [PDF] |
SUNDBERG, M.L. (2013). Thirty points about motivation from
Skinner's book Verbal Behavior. The Analysis of
Verbal Behavior, 29, 13-40. [PDF] |
MARR, M.J. (1995). Quantum physics and radical behaviorism
: Some issues of scientific verbal behavior. In J.T. Todd
& E.K. Morris (Eds.), Modern perspectives on B.F.
Skinner and contemporary behaviorism (pp. 107-128).
Westport, CT : Greenwood Press. |
SUNDBERG, M.L. (2017). Skinner's book verbal behavior : It
is certainly about time. Operants, Issue, 4,
17-20. [PDF] |
PALMER, D.C. (1999). A call for tutorials on alternative
approaches to the study of verbal behavior. The
Analysis of Verbal Behavior, 16, 45-58. [PDF] |
|
 |
| |
 |
Voir aussi
Hefferline, Skinner
et Comportement
verbal |
 |
|
|
|
Verbe
: Verbe, nom et
qualificatif. Verb.
| |
|
BRAINE, M.D.S. (1966). The insufficiency of a finite state
model for verbal reconstructive memory. Psychonomic
Science, 2 (1-2), 291–292. [PDF] |
BOWERMAN, M. DE LEON, L. & CHOI, S. (1995). Verbs,
particles, and spatial semantics : Learning to talk about
spatial actions in typologically different languages. In
E.V. Clark (Ed.), Proceedings of the twenty-seventh
annual child language research forum (pp. 101-110).
Stanford, CA : Center for the Study of Language and
Information. |
|
JAEGER, J.J., LOCKWOOD, A.H., KEMMERER, D.L., VAN VALIN,
J., MURPHY, B.W. & KHALAK, H.G. (1996). A positron
emission tomographic study of regular and irregular verb
morphology in English. Language, 72 (3),
451-493. |
EHRI, L.C. & ROHWER, W.D. (1976). Verb facilitation of
paired-associated learning as a function of syntactic and
semantic relations. Journal of Verbal Learning &
Verbal Behavior, 8, 773-781. |
BERNDT, R.S., MITCHUM, C.C., HAENDIGES, A.N. &
SANDSON, J. (1997). Verb retrieval in aphasia : 1.
Characterizing single word impairments. Brain &
Language, 56, 68-106. |
|
BERNDT, R.S., HAENDIGES, A.N., MITCHUM, C.C. &
SANDSON, J. (1997). Verb retrieval in aphasia : 2.
Relationship to sentence processing. Brain &
Language, 56, 107–137. |
SCHUMAKER, J. & SHERMAN, J.A. (1970). Training
generative verb usage by imitation and reinforcement
procedures. Journal of Applied Behavior Analysis, 3
(4), 273-287. [PDF] |
AKHTAR, N. & TOMASELLO, M. (1997). Young children's
productivity with word order and verb morphology. Developmental Psychology, 33, 952-965. |
BOWERMAN, M. (1974). Learning the structure of causative
verbs : A study in the relationship of cognitive,
semantic, and syntactic development. Papers &
Reports on Child Language Development, 8, 142-178. |
TOMASELLO, M., AKHTAR, N., DODSON, K. & REKAU, L.
(1997). Differential productivity in young children's use
of nouns and verbs. Journal of Child Language, 24,
373-387. |
EHRI, L.C. & MUZIO, I.M. (1974). The influence of verb
meanings on memory for adjectives. Journal of Verbal
Learning & Verbal Behavior, 13, 265-271. |
MARSLEN-WILSON, W.D. & TYLER, L.K. (1998). Rules,
representations, and the English past tense. Trends
in Cognitive Science, 2, 428-435. |
GENTNER, D. (1975). Validation of a related-component
model of verb meaning. Papers & Reports on Child
Language Development, 10, 69-79. [PDF] |
NAIGLES, L.R. & HOFF-GINSBERG, E. (1998). Why are some
verbs learned before other verbs? Effects of input
frequency and structure on children's early verb use. Journal
of Child Language, 25, 95-120. |
|
LE NY, J.F. (1998). La sémantique des verbes et la
représentation des situations. Cahier de Recherche
Linguistique, 12, 85-100. |
JOHNSON-LAIRD, P.N. & WYKES, T. (1977). How do
children learn the meanings of verbs ? Nature, 268,
326-327. |
PINE, J.M., LIEVEN, E. & ROWLAND, C.F. (1998).
Comparing different models of the development of the
English verb category. Linguistics, 36, 807-830.
|
|
BREEDIN, S.D., SAFFRAN, E.M. & SCHWARTZ, M.F. (1998).
Semantic factors in verb retrieval : An effect of
complexity. Brain & Language, 63, 1–31 [PDF] |
GENTNER, D. (1978). On relational meaning : The
acquisition of verb meaning. Child Development, 49, 988-998.
[PDF] |
JOANISSE, M.F. & SEIDENBERG, M.S. (1999). Impairments
in verb morphology after brain injury : A connectionist
model. Proceedings of the National Academy of
Sciences, U.S.A., 96, 7592–7597. [PDF] |
GENTNER, D. (1981). Verb semantic structures in memory for
sentences : Evidence for componential representation. Cognitive
Psychology, 13, 56-83. [PDF] |
ALTMANN, G.T.M. & KAMIDE, Y. (1999). Incremental
interpretation at verbs : Restricting the domain of
subsequent reference. Cognition, 73 (3),
247-264. |
 |
|
LE NY, J.F. (2000). La sémantique des verbes et la
représentation des situations. Sémantique du lexique
verbal. Syntaxe et Sémantique, 2, 17-54. |
GENTNER, D. (1981). Integrating verb meanings into
context. Discourse Processes, 4, 349-375. [PDF] |
MARSLEN-WILSON, W.D., CSIBRA, G., FORD, M., HATZAKIS, H.,
GASKELL, G. & JOHNSON, M.H. (2000). Associations and
dissociations in the processing of regular and irregular
verbs : Electrophysiological evidence. Journal of
Cognitive Neuroscience, 12, (S), 55. |
BOWERMAN, M. (1982). Evaluating competing linguistic
models with language acquisition data : Implications of
developmental errors with causative verbs. Quaderni
di Semantica, 3, 5-66. [PDF] |
THEAKSON, A.L., LIEVEN, E., PINE, J.M. & ROWLAND, C.
(2001). The role of performance limitations in the
acquisition of verb-argument structure : an alternative
account. Journal of Child Language, 28, 127-152.
|
CHARLOP, M.E., SCHREIBMAN, L. & THIBODEAU, M.G.
(1985). Increasing spontaneous verbal responding in
autistic children using the time-delay procedure. Journal
of Applied Behavior Analysis, 18, 155-166. [PDF] |
PATTERSON, K., LAMBON RALPH, M.A., HODGES, J.R. &
McCLELLAND, J.L. (2001). Deficits in irregular past-tense
verb morphology associated with degraded semantic
knowledge. Neuropsychologia, 39 (7), 709-724. |
GERGELY, G. & BEVER, T.G. (1985). The mental
representation of causative verbs. Psychology, 5,
373-439. |
THEAKSON, A.L., LIEVEN, E., PINE, J.M. & ROWLAND, C.
(2002). Going, going, gone : The acquisition of the verb
"go". Journal of Child Language, 29, 783-811. [PDF] |
|
RAMSCAR, M. (2002). The role of meaning in inflection : why
the past tense does not require a rule. Cognitive
Psychology, 45, 45-94. |
GERGELY, G. & BEVER, T.G. (1986). Relatedness
intuitions and the mental representation of causative
verbs in adults and children. Cognition, 23,
211-277. |
McKOON, G. & MacFARLAND, T. (2002). Event templates in
the lexical representations of verbs. Cognitive
Psychology, 45, 1-44. [PDF] |
|
LE NY, J.F. et FRANQUARTt-DECLERCQ, C. (2002).
Signification des verbes, relations verbe/patient et
congruence sémantique. Le Langage et l'Homme, 37,
9-26. |
|
FAROQI-SHAH, Y. & THOMPSON, C.K. (2003). Regular and
irregular verb inflections in agrammatism : Dissociation
or association ? Brain & Language, 87, 9-10.
[PDF] |
ZINGESER, L.B. & BERNDT, S.R. (1990). Retrieval of
nouns and verbs in agrammatism and anomia. Brain
& Language, 39, 14–32. |
HARE, M., McRAE, K. & ELMAN, J.L. (2003). Sense and
structure : Meaning as a determinant of verb
subcategorization preferences. Journal of Memory
& Language, 48 (2), 281–303. |
CARAMAZZA, A. & HILLIS, A.E. (1991). Lexical
organization of nouns and verbs in the brain. Nature,
349, 788–790. |
TYLER, K.L., STAMATAKIS, E.A., ROY, W., JONES, P., BRIGHT,
P., ACRES, K. & MARSLEN-WILSON, W.D. (2004). Deficits
for semantics and the irregular past tense : A causal
relationship ? Journal of Cognitive Neuroscience, 16
(7), 1159-1172 [PDF] |
|
BASTIAANSE, R. & VAN ZONNEVELD, R. (2005). Sentence
production with verbs of alternating transitivity in
Broca,s agrammatic aphasia. Journal of
Neurolinguistics, 18, 57-66. [PDF] |
TOMASELLO, M. (1992). First verbs : : a case study of
early grammatical development. New York : Cambridge
University Press. |
JUSTUS, T., LARSEN, J., SE MORNAY DAVIES, P. & SWICK,
D. (2008). Interpreting dissociations between regular and
irregular past-tense morphology : Evidence from
event-related potentials. Cognitive, Affective, &
Behavioral Neuroscience, 8 (2), 178-194. [PDF] |
TRUESWELL, J.C., TANENHAUS, M.K. & KELLO, C. (1993).
Verb-specific constraints in sentence processing :
Separating effects of lexical preference from
garden-paths. Journal of Experimental Psychology :
Learning, Memory & Cognition, 19 (3), 528–553. |
WONNACOTT, E., NEWPORT, E.L. & TANENHAUS, M.K. (2008).
Acquiring and processing verb argument structure :
Distributional learning in a miniature language.
Cognitive Psychology, 56 (3), 165-209. [PDF] |
|
LUPYAN, G. & THOMPSON-SCHILL, S.L. (2012). The
evocative power of words : Activation of concepts by
verbal and nonverbal means. Journal of Experimental
Psychology : General, 141 (1), 170-186. [PDF]
|
 |
|
 |
Voir aussi Nom et Littéracie |
 |
|
Verbe
d'action :
| |
|
NEVID, J.S. & McCLELLAND, N. (2013). Using action
verbs as learning outcomes : Applying Bloom's taxonomy in
measuring instructional objectives in Introductory
Psychology. Journal of Education & Training
Studies, 1 (2), 19-24. |
|
Voir aussi Taxonomie
de Bloom et Objectif
d'apprentissage |
 |
 |
|
Verbruggen
Frederick ( ) :
Neuropsychologue belge et spécialiste de l'étude du contrôle
et de l'inhibition. Étudiant
de Logan. Collaborateur de
Schneider.
 |
VERBRUGGEN, F. & LOGAN, G.D. (2008). Response
inhibition in the stop- signal paradigm. Trends in
Cognitive Sciences, 12, (4), 18-424. |
VERBRUGGEN, F. & LOGAN, G.D. (2009). Proactive
adjustments of response strategies in the stop-signal
paradigm. Journal of Experimental Psychology : Human
Perception & Performance, 35, 835-854 |
VERBRUGGEN, F., ADAMS, R. & CHAMBERS, C.D. (2012).
Proactive motor control reduces monetary risk taking in
gambling. Psychological Science, 23, 805-815. |
VERBRUGGEN, F., McLAREN, I.P.L. & CHAMBERS, C.D.
(2014). Banishing the control homunculi in studies of
action control and behavior change. Perspectives on
Psychological Science, 9, 497-524. |
VERBRUGGEN, F., LAWRENCE, N.S., CHAMBERS, C.D. &
McLAREN, I.P.L. (2016). Winning and losing : Effects on
impulsive action. Journal of Experimental Psychology
Human Perception & Performance, 43 (1),
147-168. [PDF]
+ [PDF] |
 |
 |
|
Verdict
: Issue d'un procès
ou de tout processus formel, généralement écrit afin déviter toute
autre interprétation.
|
|
|
Verde
Michael F. ( ) : Psychologue
cognitiviste
américain, spécialisé dans l'étude de la mémoire,
notamment de la
familiarité. Étudiant de
Rotello. Collaborateur de
Handley, Perfect et
Trippas.
 |
VERDE, M.F. & ROTELLO, M.C. (2003). Does familiarity
change in the revelation effect ? Journal of
Experimental Psychology : Learning, Memory &
Cognition, 29, 739-746. [PDF] |
VERDE, M.F. & ROTELLO, M.C. (2004). Strong memories
obscure weak memories in associative recognition. Psychonomic
Bulletin & Review, 11, 1062-1066. [PDF] |
VERDE, M.F. (2009). The list-strength effect in recall :
Relative-strength competition and retrieval inhibition may
both contribute to forgetting. Journal of
Experimental Psychology : Learning, Memory &
Cognition, 35, 205-220. [PDF] |
VERDE, M.F., STONE, L.K., HATCH, H.S. & SCHNALL, S.
(2010). Distinguishing between mnemonic and attributional
sources of familiarity : Positive emotion bias as a case
study. Memory & Cognition, 38 (2), 142-153.
[PDF] |
VERDE, M.F. (2013). Retrieval-induced forgetting in recall
: Competitor interference revisited. Journal of
Experimental Psychology : Learning, Memory &
Cognition, 39, 1433-1448. [PDF] |
 |
 |
|
Vergnaud Gérard (Doué-la-Fontaine, 1933-2021 Paris) : Psychologue
cogntiviste européen
d'origine française et spécialiste de
l'enseignement des mathématiques.
 |
VERGNAUD, G. (1965). Note sur un cas de fausse
conservation. Psychologie Française, 11,
277-279. |
VERGNAUD, G. et COHEN R. (1968). Sur l'activité
combinatoire des enfants de 8 ans. Psychologie
Française, 14, 321-332. |
VERGNAUD, G. (1985). Concepts et schèmes dans une théorie
opératoire de la représentation. Concepts and schemes in a
working theory of representation. Psychologie
Française, 30, 245-252. |
VERGNAUD, G. (1994). Le raisonnement en physique et en
mathématiques. Psychologie Française, 39 (2),
153-160 |
VERGNAUD, G. (2001). Psychologie cognitive et éducation :
un enjeu scientifique et social. Dialogue, 100/101, 58-64. |
|
ÉDITEUR (2022). Hommage à Gérard Vergnaud. Bulletin de Psychologie, 578 269-270. [PDF] |
 |
 |
|
Verhaeghen Paul ( ) : Psychologue
américain et spécialiste du
vieillissement.

 |
VERHAEGHEN, P. (2002). Age differences in efficiency and
effectiveness of encoding for visual search and memory
search : A time-accuracy study. Aging,
Neuropsychology & Cognition, 9, 114-126. |
VERHAEGHEN, P., CERELLA, J. (2002). Aging, executive
control, and attention : a review of meta-analyses. Neuroscience
& Biobehavioral Reviews, 26, 849–857. [PDF] |
VERHAEGHEN, P., CERELLA, J. & BASAK, C. (2004). A
working memory workout : How to change to size of the
focus of attention from one to four in ten hours or less.
Journal of Experimental Psychology : Learning, Memory
& Cognition, 30, 1322-1337. |
VERHAEGHEN, P. & HOYER, W. J. (2007). Aging, focus
switching and task switching in a continuous calculation
task : Evidence toward a new working memory control
process. Aging, Neuropsychology & Cognition, 14
(1), 22-39. |
VERHAEGHEN, P. (2015). Aging and executive control :
Reports of a demise greatly exaggerated. Current
Direction in Psychological Science, 20 (3),
174-180. [PDF] |
 |
 |
|
Verhoeven
Ludo ( ) : Psychologue
allemand et spécialiste de l'étude de la lecture
et de la littéracie.
Collaborateur de Perfetti.
 |
VERHOEVEN, L. & PERFETTI, C.A. (2003). Introduction to
this special issue : The role of morphology in learning to
read. Scientific Studies of Reading, 7 (3),
209-217. [PDF] |
VERHOEVEN, L. & VERMEER, A. (2006). Literacy
achievement of children with intellectual disabilities and
differing linguistic backgrounds. Journal of
Intellectual Disability Research, 50 (10), 725-738.
[PDF] |
VERHOEVEN, L. (2009). Literacy outside the mainstream. International
Journal of the Sociology of Language, 119 (1),
1-12. |
VERHOEVEN, L. & PERFETTI, C.A. (2011). Vocabulary
growth and reading skill. Scientific Study of Reading,
15 (1), 1-7. [PDF] |
VERHOEVEN, L. & PERFETTI, C.A. (2011). Morphological
processing in reading acquisition : A cross-linguistic
perspective. Applied Psycholinguistics, 32,
457-466. [PDF] |
 |
 |
|
Verhofstadt
Lesley L. ( ) : Psychologue
belge, spécialisée dans l'étude du
mariage et du soutien
social.
 |
VERHOFSTADT, L.L., BUYSSE, A., ICKES, W.DE CLERCQ, A.
& PEENE, O.J. (2005). Conflict and support
interactions in marriage : An analysis of couples
interactive behavior and on-line cognition. Personal
Relationships, 12, 23-42. [PDF] |
VERHOFSTADT, L.L., BUYSSE, A., DAVIS, M., ICKES, W. &
DE CORTE, K. (2007). Social support in couples : An
examination of gender differences using self-report and
observational methods. Sex Roles, 57, 267-282. |
VERHOFSTADT, L.L., BUYSSE, A., DEVOLDRE, I. & DE
CORTE, K. (2007). The influence of personal
characteristics and relationship properties on marital
support. Psychologica Belgica, 47 (3), 195-217. |
VERHOFSTADT, L.L., BUYSSE, A., DAVIS, M., ICKES, W. &
DEVOLDRE, I. (2008). Support provision in marriage : The
role of emotional similarity and empathic accuracy.
Emotion, 8 (6), 792-802. [PDF] |
JAEKEN, M. VERHOFSTADT, L.L. & VAN BROECK, N. (2015).
Qu'est-ce qui détermine l'efficacité d'une psychothérapie
? Brève mise à jour scientifique. Bulletin de
Psychologie, 3 (537), 237-242. [PDF] |
 |
 |
|
|
|
|
|
Vérification
d'une hypothèse : Vérification empirique : En
méthodologie, épreuve
scientifique qui consiste à confronter une hypothèse
à un ensemble d'observations
directes ou indirectes.
Cette épreuve - on dit aussi test - a pour but de vérifier
si l'hypothèse est vraie (hypothèse
confirmée) ou fausse (hypothèse
infirmée) et, indirectement, d'éprouver la solidité de la théorie
sur laquelle se fonde cette hypothèse .
Vérification, vérificationnisme
et empirisme
scientifique. = épreuve
scientifique, soumettre à un test, tester empiriquement, tester
une hypothèse. Empirical verification,
verifying hypothese, hypothesis test.
| |
|
JOHNSON, H.M. (1954). On verifying hypotheses by verifying
their implicates. American Journal of Psychology, 67,
723-727. |
ROSSI, S., CAVERNI, J.P. & GIROTTO, V. (2001).
Hypothesis testing in a rule discovery problem : When a
focused procedure is effective. Quarterly Journal of
Experimental Psychology, 54A, 263-267. |
MEEHL, P.E. (1967). Theory testing in psychology and
physics : A methodological paradox. Philosophy of
Science, 34, 103-118. |
CONWAY, L.G. & SCHALLER, M. (2002). On the
verifiability of evolutionary psychological theories : An
analysis of the psychology of scientific persuasion. Personality
& Social Psychology Review, 6, 152-166. [PDF] |
BANDURA, A. (1978). On distinguishing between logical and
empirical verification. Scandinavian Journal of
Psychology, 19, 97-99. |
TRAFIMOW, D. (2003). Hypothesis testing and theory
evaluation at the boundaries : Surprising insights from
Bayes’s theorem. Psychological Review, 110,
526-535. |
WRIGHT, C. (1986). Scientific realism, observation and the
verification principle. In G. Macdonald & C. Wright
(Eds.), Fact, Science, and morality. Oxford :
Basil Blackwell. |
WAGENMAKERS, E.-J. & GRÜNWALD, P. (2006). A Bayesian
perspective on hypothesis testing : A comment on Killeen
(2005). Psychological Science, 17, 641-642. |
KLAYMAN, J. & HA, Y. (1987). Confirmation,
disconfirmation, and information in hypothesis testing. Psychological Review, 94 (2), 211-228. [PDF] |
MOREY, R.D., ROUDER, J.N., VERHAGEN, J. & WAGENMAKERS,
E.-J. (2014). Why hypothesis tests are essential to
psychological science : A Comment on Cummings. Psychological
Science, 24, 1291-1292. [PDF] |
| |
Voir aussi Hypothèse
confirmée, Hypothèse
infirmée, Épreuve
scientifique et Hypothèse |
|
 |
|
Vérification compulsive :
Symptôme du trouble
obsessionnel-compulsif. Comportement
qui consiste à vérifier et à contre-vérifier ce que l'on vient de
faire correctement, de peur qu'un drame survienne ou qu'on nous
blâme. EX: Vérifier à plusieurs reprises si la
porte est correctement verrouillée, si la cuisinière était fermée.
Vérification compulsive et trouble
obsessionnel-compulsif. Compulsive
checkers, repeated checking, safety behaviour.
| |
|
RACHMAN, S. (1976). Obsessional-compulsive checking. Behaviour
Research & Therapy, 14, 269-277. |
ROSSY, L. & BISHOP, A.K. (2000). Distinguishing
manifestations of anxiety : How do personality traits of
compulsive checkers differ from other anxious individuals?
Behaviour Research & Therapy, 38 (3),
229-241. |
FROST, R.O, SHER, K.J. & GEEN, T. (1986).
Psychopathology and personality characteristics of
nonclinical compulsive checkers. Behaviour Research
& Therapy, 24, 133-143. |
SCHUT, A.J., CASTONGUAY, L.G. & BORKOVEC, T.D. (2001).
Complusive checking behaviors in generalized anxiety
disorder. Journal of Clinical Psychology, 57,
705-715. |
SHER, K., MANN, B. & FROST, R. (1984). Cognitive
dysfuntion in compulsive checkers : Further explorations.
Behaviour Research & Therapy, 22, 493-502. |
RADOMSKY, A.S., RACHMAN, S. & HAMMOND, D. (2001).
Memory bias, confidence and responsibility in compulsive
checking. Behaviour Research & Therapy, 39 (7),
813-822. |
FROST, R. & SHER, K. (1989). Checking behavior in
threatening situation. Behaviour Research &
Therapy, 27, 385-390. |
RACHMAN, S. (2002). A cognitive theory of compulsive
checking. Behaviour Research & Therapy, 40, 625-639. |
|
ANDERSON, C.A., BENJAMIN, A J., WOOD, P.K. & BONACCI,
A.M. (2006). Development and testing of the Attitudes
Toward Violence scale : Evidence for a four-factor model.
Aggressive Behavior, 32, 122-136. |
SHER, K.J., MARTIN, E.D., RASKIN, G. & PERRIGO, R.
(1991).Prevalence of DSM-III-R disorders among nonclinical
compulsive checkers and noncheckers in a college student
sample. Behaviour Research & Therapy, 29
(5), 479-483. |
RADOMSKY, A.S., GILCHRIST, P.T. & DUSSAULT, D. (2006).
Repeated checking really does cause memory distrust.
Behaviour Research & Therapy, 44 (2), 305-316 |
|
ZERMATTEN, A., VAN DER LINDEN, M., LAROI, F. & CESCHI,
G. (2006). Reality monitoring and motor memory in
checking-prone individuals. Journal of Anxiety
Disorders, 20, 580-596. |
LOPATKA C. & RACHMAN, S. (1995). Perceived
responsibility and compulsive checking : an experimental
analysis. Behaviour Research & Therapy, 33
(6), 673-684. |
WOODS, C.M., VEVEA, J.L., CHAMBLESSE, D.L. & BAYEN,
U.T. (2006). Are compulsive checkers impaired in memory ?
A meta-analytic review. Clinical Psychology : Science
& Practice, 9 (4), 353-366. |
|
RADOMSKY, A.S., ASHBAUGH, A.R. & GELFAND, L.A. (2007).
Relationships between anger, symptoms and cognitive
factors in OCD checkers. Behaviour Research &
Therapy, 45 (11), 2712-2725. |
|
RACHMAN, S., RADOMSKY, A.S. & SHAFRAN, S. (2008).
Safety behaviour : A reconsideration. Behaviour
Research & Therapy, 46 (2), 163-173. [PDF] |
BELAYACHI, S. & VAN DER LINDEN, M. (2009). Level of
agency in sub-clinical checking. Consciousness &
Cognition, 18, (1), 293-299. |
BELAYACHI, S. & VAN DER LINDEN, M. (2010). Feeling of
doing in obsessive–compulsive checking. Consciousness
& Cognition, 19 (2), 534–546. |
SZECHTMAN, H., SULIS, W. & EILAM, D. (1998).
Quinpirole induces compulsive checking behavior in rats :
A potential animal model of obsessive-compulsive disorder.
Behavioral Neuroscience, 112, 1475-1485. |
RADOMSKY, A.S. & ALCOLADO, G.M. (2010). Don’t even
think about checking : Mental checking causes memory
distrust. Journal of Behavior Therapy &
Experimental Psychiatry, 41, 345-351. [PDF] |
RADOMSKY, A.S., SHAFRAN, S. & RACHMAN, S. (2010).
Cognitive-behavior therapy fo rcompulsive checking in OCD.
Cognitive & Behavioral Practice, 17, 119-131
[PDF] |
SALKOVSKIS, P.M., MILLAR, J., GREGORY, J. & WAHL, K
(2017). The termination of checking and the role of just
right feelings : A study of obsessional checkers compared
with anxious and non-clinical controls. Behavioural
& Cognitive Psychotherapy, 45 (2), 139-155. |
 |
| |
 |
Voir aussi Trouble
obsessionnel-compulsif |
 |
|
|
|
Vérification
statistique (d'une hypothèse) :
Démarche logique qui consiste à soumettre une hypothèse
à un test statistique
visant à démonter que cette hypothèse est
vraie ou fausse.
Testing hypothesis, tests of statistical
hypothese.
| |
|
FISHER, R.A. (1923). Statistical tests of agreement
between observation and hypothesis. Economica 3
(8), 139-147. |
NEYMAN, J. (1933). The testing of statistical hypotheses
in relation to probabilities a priori. Mathematical
Proceedings of the Cambridge Philosophical Society, 29,
492-510. |
NEYMAN, J. & PEARSON, E.S. (1933). On the problem
ofthe most efficient tests of statistical hypotheses. Philosophical
Transactions of the Royal Society of London, Series A,
231, 289-337. |
WALD, A. (1939). Contributions to the theory of
statistical estimation and testing hypothesis. Annals
of Mathematical Statistics, 10, 299-326. [PDF] |
WHARTON, C.M., CHENG, P.W. & WICKENS, T.D. (1993).
Hypothesis-testing strategies : Why two goals are better
than one. The Quarterly Journal of Experimental
Psychology, 46A, 743-758. |
LEHMANN, E.L. (1993). The Fisher, Neyman-Pearson theories of testing hypotheses : One theory or two ? Journal of the American Statistical Association, 88, 1242-1249. |
|
Voir aussi Test
d'hypothèse et Hypothèse
statistique |
 |
 |
|
Vérificationnisme
: Verificationism.
| |
|
SCHLICK, M. (1936). Meaning and verification. Philosophical
Review, 45. |
MISAK, C. (1985). Verificationism. London :
Routledge. |
WRIGHT, C. (1986). Scientific realism, observation and the
verification principle. In G. Macdonald & C. Wright
(Eds.), Fact, Science, and morality. Oxford :
Basil Blackwell. |
 |
 |
|
Vérisimilitude
: Plus ou moins grande correspondance entre une
proposition qui décrit le monde et ses propriétés et ce monde,
entre nos connaissances de la réalité et la réalité. =
versimilitude. Verisimilitude.
| |
|
TICHY, P. (1974). On popper's definitions of
verisimilitude. The British Journal for the Philosophy
of Science, 25 (2), 155-160. |
AGASSI J. (1981). To save verisimilitude. Mind,
90, 576-579. [PDF] |
POPPER, K.R. (1984). La logique de la découverte
scientifique. Paris : Payot. |
ZAMORA-BONILLA, J.P. (1996). Verisimilitude,
structuralism, and scientific method. Erkenntnis, 44,
25–47. |
ZAMORA-BONILLA, J.P. (2002). Verisimilitude and the
dynamics of scientific research programmes. Journal
for General Philosophy of Science, 33, 349-368. |
ZWART, S.D. & FRANSSEN, M. (2007). An impossibility
theorem for verisimilitude. Synthese, 158 (1),
75-92. |
 |
 |
|
Vérité :
Thruth.
| |
|
LEHRER, K. (1965). Knowledge, truth and evidence. Analysis,
25 (5), 168-175. |
SHAPIN, S. (1994). A social history of truth :
civility and science in seventeenth-century England. Chicago
: University of Chicago Press. |
RESCHER, N. (1967). Truth and necessity in temporal
perspective. In R.M. Gale (Ed.), The Philosophy of
time (pp. 182-220). New York : Palgrave
Macmillan. |
KARLSSON, G. (2000). The question of truth claims in
psychoanalysis. The Scandinavian Psychoanalytic
Review, 32 (1), 2-24. |
ARMSTRONG, D.M. (1973). Belief, truth and knowledge.
London : Press. |
ZAKZANIS, K.K. (2001). Statistics to tell the truth, the
whole truth, and nothing but the truth : Formulae,
illustrative numerical examples, and heuristic
interpretation of effect size analyses for
neuropsychological researchers. Archives of Clinical
Neuropsychology, 16 (7), 653-667. [PDF] |
GUPTA, A. (1978). Modal logic and truth. Journal of
Philosophical Logic, 7, 441-472. |
TOPOLINSKI, S. & REBER, R. (2010). Immediate
truth—Temporal contiguity between a cognitive problem and
its solution determines experienced veracity of the
solution. Cognition, 114 (1), 17-22. |
GUPTA, A. (1982). Truth and paradox. Journal of
Philosophical Logic, 11, 1-60. |
ARMSTRONG, D.M. (2004). Truth and truthmakers.
Cambridge University Press. |
GROFMAN, B., OWEN, G. & FELD, S. (1983). Thirteen
theorems in search of the truth. Theory &
Decision 15, 261-278. |
|
| |
 |
Voir aussi Loigique
et Empirique |
 |
|
Vérité
(Critères) : . En logique,
les critères de vérité renvoie
aux conditions logiques qui permettent d'affirmer qu'une proposition
est vraie ou fausse. En science, il existe deux critères de vérité
: la confirmation et
la falsification.
| |
|
Van PEURSEN, C.-A. (1978). Le critère de la vérité chez
Spinoza. Revue de Métaphysique et de Morale, 83
(4), 518-525. |
 |
 |
|
Vérité empirique : Vérité objective
: Toute proposition
ou énoncé qui correpond aux faits,
à la réalité mesurée ou
évaluée. EX : Il est vrai de dire que tous les
éléphants possèdent quatre pattes. La vérité est une propriété du
langage. La correspondance entre un énoncé et une réalité n'existe
pas en l'absence d'un langage pour la décrire. En ce sens, il
n'existe pas de vérité absolue, seulement des vérités relatives
(au langage et à ses caractéristiques).
Thruth, thruth by aggrement.
| |
|
|
STILES, W.B. (1981). Science, experience, and truth : A
conversation with myself. Teaching of Psychology, 8, 227-230. |
LEQUIER, J. (1865/1985). La recherche d’une première
vérité et autres textes. Paris : Presses
Universitaires de France. |
ACKER, J., BARRY, K. & ESSEVELD, J. (1983).
Objectivity and truth : Problems in doing feminist
research. Women's Studies International Forum, 6 (4),
423-435. |
|
DAVIDSON, D. (1984/93). Inquiries into thruth and
interpretation. Oxford : Clarendon Press. /
Enquêtes sur la vérité et l'interprétation. Nîmes :
J. Chambon. |
JAMES, W. (1909). The meaning of truth : a sequel to
pragmatism. New York : Longmans, Green. |
YABLO, S. (1985). Truth and reflection. Journal of
Philosophical Logic, 14, 297-349. |
RANK, O. (1936). Truth and reality. Knopf. |
YABLO, S. (1985). Truth, definite truth, and paradox. Journal
of Philosophy, 86, 539-541. |
QUINE, W.V.O. (1936/76). Truth by convention/Ways of
paradox and other essays. Cambridge, MA : Harvard
University Press. |
HORWICH, E. (1990). Thruth. Oxford : blackwell. |
RUSSEL, B. (1940). Inquiry into meaning and truth.
New York : Norton. |
QUINE, W. (1990/93). The pursuit of truth. Cambridge,
MA: Harvard University Press. / La poursuite de la
vérité. Paris : Seuil. |
TARSKI, A. (1956). The concept of truth in formalized
languages. In Logic, semantics and metamathematics.
Oxford, UK : Oxford University Press. |
SOSA, E. (1993). The truth of modest realism.
Philosophical Issues : Science and Knowledge.
Ridgeview Press. |
TARSKI, A. (1969/1972). Truth and proof. In O. Hanfling
(Ed.), Fundamental problems of philosophy (pp.
261-287). Blackwell : Oxford. |
MARKHAM, M.R. (1995). Truth, philosophy and behavioral
science : A reply to Hocutt. Behavior &
Philosophy, 23, 73-78. [PDF] |
|
DRENTH, P.J.D. (1996). Psychology as a science : Truthful
or useful ? European Psychologist, 1, 3-13. |
DAVIDSON, D. (1969). True to the facts. The Journal
of Philosophy, 66, 748-64. [PDF] |
HECKMAN, S. (1997). Truth and method : Feminist standpoint
theory revisited. Signs, 22, 341-365. |
KRIPKE, S.A. (1971). Outline of a theory of truth. The
Journal of Philosophy, 72, 690-716. |
MAIO, G.R. (2002). Values : truth and meaning. The
Psychologist, 15, 296-299. |
CUMMINS, R. (1975). Truth and logical form. Journal
of Philosophical Logic, 4 (1), 29-44. [PDF] |
BEAULIEU, A. (2002). Images are not the (only) truth :
Brain mapping, visual knowledge, and iconoclasm. Science,
Technology & Human Values, 27, 53–86. |
|
MORGAN, J. (2004). Distinguishing truth, knowledge, and
belief. Modern China, 30 (3), 398-427. |
DUMMETT, M. (1978). Truth and other enigmas. London
: Duckworth. |
THAGARD, P. (2007). Coherence, truth, and the development
of scientific knowledge. Philosophy of Science, 4, 28-47.
[PDF] |
FRIEDMAN, M. (1979). Truth and confirmation. Journal
of Philosophy, 76, 361-382. |
TOOLEY, M. (2010). Time, truth, actuality, and causation :
On the impossibility of divine foreknowledge. European
Journal for Philosophy of Religion, 2 (1),
143-163. |
 |
| |
 |
Voir aussi Théorie
de la correspondance |
 |
|
Vérité
(logique) : Toute proposition qui est
cohérente avec un
ensemble de règles ou de principes dont l'organisation est
logique. EX : Il est vrai de dire que si A >
B et que B > C, donc A > C. =
cohérence.
| |
|
SCHLICK, M. (1936). Meaning and verification. Philosophical
Review, 45. |
GUPTA, A. (1978). Modal logic and truth. Journal of
Philosophical Logic, 7, 441-472. |
FRIEDMAN, M. (1979). Truth and confirmation. Journal
of Philosophy, 76, 361-382. |
GUPTA, A. (1982). Truth and paradox. Journal of
Philosophical Logic, 11, 1-60. |
MISAK, C. (1985). Verificationism. London :
Routledge |
|
 |
 |
|
Vérité
(psychologique ou subjective) : Qui
consiste à dire ce que l'on fait, et vice-versa. Vérité et
exactitude. = cohérence interne
psychologique. /mensonge.
Thruth.
| |
|
FALLER, K.C. (1984). Is the child victim of sexual abuse
telling the truth ? Child Abuse & Neglect, 8,
473-481. |
LOFTUS, E.F. (1992). When a lie becomes memory's truth :
Memory distortion after exposure to misinformation. Current
Directions in Psychological Science, 1, 121-123. |
SHAPIN, S. (1994). A social history of truth.
Chicago : University of Chicago Press. |
DEPAULO, B.M. & BELL, K.L. (1996). Truth and
investment : Lies are told to those who care. Journal
of Personality & Social Psychology, 71 (4),
703-716. |
REBER R. & SCHWARZ, N. (1999). Effects of perceptual
fluency on judgments of truth. Consciousness &
Cognition, 8, 338-342. |
HOUDÉ, O. (2003). La construction du vrai dans le
développement cognitif de l’enfant. In J.-P. Changeux
(Ed.), La vérité dans les sciences (pp.
103-122). Paris : Odile Jacob. |
BLANDON-GITLIN. I., PEZDEK, K., LINDSAY, S. & HAGEN,
L. (2009). Criteria-based content analysis of true and
suggested accounts of event. Applied Cognitice
Psychology, 23, 901–917.[PDF] |
| |
 |
Voir aussi Fabuler,
Mythomanie
et Mensonge |
 |
|
Vérité (statistique) : Grande probabilité
qu'une proposition
soit vraie car sa réciproque - la probabilité qu'elle soit fausse - est faible.
| |
|
ZAKZANIS, K.K. (2001). Statistics to tell the truth, the whole truth, and nothing but the truth : Formulae,
illustrative numerical examples, and heuristic
interpretation of effect size analyses for
neuropsychological researchers. Archives of Clinical
Neuropsychology, 16 (7), 653-667. [PDF] |
 |
 |
|
Verkuyten Maykel (Mierlo 1955-) : Psychosociologue
néerlandais et spécialiste de l'étude du
multiculturalisme. Il s'intéresse aussi biais
intergroupe. Collaborateur de Sierksma
et Thjis.

 |
VERKUYTEN, M. (1986). The impact of ethnic and sex
differences on happiness among adolescents in the
Netherlands. Journal of Social Psychology, 126, 259-260. |
VERKUYTEN, M. & THIJS, J. (2002). Multiculturalism
among minority and majority adolescents in the
Netherlands. International Journal of Inter-cultural
Relations, 26, 91-108. [PDF] |
VERKUYTEN, M. (2005). Ethnic group identification and
group evaluation among minority and majority groups :
Testing the multiculturalism hypothesis. Journal of
Personality & Social Psychology, 88 (1),
121-138. [PDF] |
VERKUYTEN, M. (2007). Social psychology and
multiculturalism. Social & Personality Psychology
Compass, 1 (1), 280-297.
[PDF] |
VERKUYTEN, M. (2023). Group identity and in-group bias :
The social identity approach. Human Development, 65 (5-6),
311-324. [PDF] |
 |
 |
|
|
|
Vernon Philip Anthony (1950-) : Psychologue
canadien, d'origine britannique, et spécialiste de l'étude de la personnalité.
Il est un des signataires du Groupe
des 52. Collaborateur de Ashton,
Furham, Jackson,
Jensen,
Martin, Petrides et
Schermer.
= Tony Vernon.
 |
VERNON, P.A. & JENSEN, A.R. (1984). Individual and
group differences in intelligence and speed of information
processing. Personality & Individual Differences,
5 (4), 411-423. [PDF] |
VERNON, P.A., MARTIN, R.A., SCHERMER, J.A., CHERKAS, L.F.
& SPECTOR, T.D. (2008). Genetic and environmental
contributions to humor styles : A replication study. Twin
Research & Human Genetics, 11 (1), 44-47. [PDF] |
VERNON, P.A., VILLANI, V.C. SCHERMER, J.A. & PETRIDES,
K.V. (2008). Phenotypic and genetic associations between
the big five and trait emotional intelligence. Twin
Research & Human Genetics, 11 (5), 524-530. [PDF] |
VERNON, P.A., VILLANI, V.C., VICKER, L.C. & HARRIS,
J.A. (2008). A behavioral genetic investigation of the
dark triad and the big 5. Personality &
Individual Differences, 44, 445-452. |
VERNON, P.A., VILLANI, V.C., SCHERMER, J.A., KIRILOVIC,
S., MARTIN, R.A., PETRIDES, K.V. & SPECTOR, T.D.
(2009). Genetic and environmental correlations between
trait emotional intelligence and humor styles. Journal
of Individual Differences, 30, 130-137. |
 |
 |
|
Vernon Philip Ewart (Oxford Angleterre 1905-1987) : Psychologue
anglais, spécialisé en éducation
et plus particulièrement dans l'étude de
l'intelligence. Collaborateur d'Allport,
Lindzey, Olson et Mace.

 |
VERNON, P.E. (1928). The psychology of rowing. British
Journal of Psychology, 18 (3), 317-331. |
VERNON, P.E. & ALLPORT, G.W. (1931). A test for
personal values. Journal of Abnormal & Social
Psychology, 26 (3), 231-248. |
VERNON, P.E. (1950). The structure of human
abilities. London : Methuen. |
VERNON, P.E. (1969). Intelligence and cultural
environment. London : Methuen. |
VERNON, P.E. (1979). Intelligence : Heredity and
environment. San Francisco : W.H. Freeman &
Company. |
|
JENSEN, A.R. (1989). Obituary : Philip Ewart Vernon
(1905-1987). American Psychologist, 44 (6), 844. |
JACKSON, D.N. (1989). Philip E. Vernon : 1905-1987. Canadian
Psychology/Psychologie Canadienne, 30 (4), 699. |
 |
 |
|
Verplanck William Samuel (New York 1916-2002) :
Psychologue béhavioriste
américain. Il s'est notamment intéressé au comportement
verbal. Il a également intégré certaines méthodes de l'éthologie
à l'étude du conditionnement
opérant. Collaborateur de Skinner,
Kantor et Tinbergen.
 |
VERPLANCK, W.S. & HAYES, J.R. (1953). Eating and
drinking as a function of maintenance schedule.
Journal of Comparative Physiology & Psychology, 46
(5), 327-333. |
VERPLANCK, W.S. (1955). An hypothesis on imprinting. British
Journal of Animal Behavior, 5, 123. |
VERPLANCK, W.S. (1956). The operant conditioning of human
motor behavior. Psychological Bulletin, 53,
70-83. |
VERPLANK, W.S. & LAHEY, B.B. (1970). Contiguity and
reinforcement factors in multiple-choice verbal learning :
parametric influences. Psychonomic Science, 19 (2),
93-95. |
VERPLANCK, W.S. (1992). Verbal concept "mediators" as
simple operants. Analysis of Verbal Behavior, 10,
45-68.
[PDF] |
|
BURGHARDT, G.M. (2003). William Samuel Verplanck, Jr.
(1916-2002) : Obituary. American Psychologist, 58
(6/7), 491. |
 |
 |
|
Verrue : Tumeur bénigne
de la peau.
Wart.
| |
|
VOLLMER, H. (1946). Treatment of warts by suggestion. Psychosomatic
Medicine, 8, 138-142. |
STANKLER, L. (1967). A critical assessment of the cure of
warts by suggestion. Practitioner, 198, 690-694. |
COUPER, L. & DAVIS, T. (1952). A difficult wart
treated by suggestion. British Medical Jounal, 2,1398.
[PDF] |
TENZEL, J.H. & TAYLOR, R.L. (1969). An evaluation of
hypnosis and suggestion as treatment for warts. Psychosomatics,
10 (4), 252-257. |
SINCLAIR-GIEBEN, A.H.C. & CHALMERS, D. (1959).
Evaluation of treatment of warts by hypnosis. Lancet,
11, 480-482. |
SUMAN, O.S., GOTTLIEB, S.K., HACKETT, T.P. &
SILVERBERG, E.L. (1973). Hypnosis in the treatment of
warts. Archives of General Psychiatry, 28,
439-441. |
ULLMAN, M. (1959). On the psyche and warts : I. Suggestion
and warts, a review and comment. Psychosomatic
Medicine, 21, 473-488. |
JOHNSON, R.F.Q. & BARBER, T.X. (1978). Hypnosis,
suggestion and warts : An experimental investigation
implicating the importance of "believed in efficacy". American
Journal of Clinical Hypnosis, 20, 165-174. |
ULLMAN, M. & DUDEK, S. (1960). On the psyche and
warts: II. Hypnotic suggestion and warts. Psychosomatic
Medicine, 21, 68-76. |
SPANOS, N.P., STENSTROM, R.J. & JOHNSTON, J.C. (1988).
Hypnosis, placebo, and suggestion in the treatment of
warts. Psychosomatic Medicine, 50 (2), 45-260. [PDF] |
| |
 |
Voir aussi Tumeur
et Peau |
 |
|
|
|
Vertébré
: Embranchement du règne animal qui englobe tous les animaux
qui possèdent une colonne
vertébrale.
| |
|
MaCPHAIL, E.M. (1982). Brain and intelligence in
vertebrates. Clarendon Press : Oxford. |
MACKINTOSH, N.J., WILSON, B. & BOAKES, R.A. (1985).
Differences in mechanisms of intelligence among
vertebrates. Philosophical Transactions of the Royal
Society, London, 308B, 53-66. |
FREEBERG, T.M. (2000). Culture and courtship in
vertebrates : A review of social learning and transmission
of courtship systems and mating patterns. Behavioural
Processes, 51, 177-192. [PDF] |
|
 |
Voir aussi Animal |
 |
|
|
|
Vertige : Sensation
désagréable (parfois excitante) qui donne l'illusion
que notre corps est animé d'un mouvement
involontaore d'oscillation ou de rotation. =
J'ai la tête qui tourne. Vertigo.
|
Vertu : Attitude ou
disposition que l'on souhaite acquérir et que la plupart des gens
considère comme une qualité. /vice.
Virtue.
| |
|
RAND, A. (1964). The virtue of selfishness. New
York : New American Library. |
LOCKE, E.A. (1988). The virtue of selfishness. American
Psychologist, 43 (6), 481. |
VALDESOLO, P. & DeSTENO, D.A. (2007). Moral hypocrisy
: Social groups and the flexibility of virtue. Psychological
Science, 18 (8), 689-690. |
VALDESOLO, P. & DeSTENO, D.A. (2008). The duality of
virtue : Decon- structing the moral hypocrite. Journal
of Experimental Social Psychology, 44 (5),
1334-1338. |
VALDESOLO, P. & DeSTENO, D.A. (2011). The virtue in
vice : Short-sightedness in the study of moral emotions. Emotion
Review, 3 (3), 276-277. |
|
 |
Voir aussi Vice |
 |
|
Vertu épistémique : Vertu de la pensée,
notamment de la pensée
scientifique, qui favorise le développement et la diffusion
de la connaissance
scientifique et qui teinte notre point de vue sur le monde.
On peut acquérir ces vertus à l'école
(de moins en moins on dirait...), en fréquentant les scientifiques
ou en pratiquant soi-même la science.
Montaigne a dit :
«La vraie science est une ignorance qui se sait». En recherche,
ces vertus sont érigées en principe et servent de guide au travail
des chercheurs. L'exercice de ces vertus rend la science plus crédible.
Vertus, orthodoxie
scientifique et épistémologie.
= qualité scientifique, valeur scientifique, attitude
scientifique, bonne science. /obstacle
épistémologique, biais
scientifique. ( ): Voir tableau
ci-dessous. /antiscientifique, pseudoscientifique.
Scientific virtue, conduct.
| |
|
HOOKWAY, C. (1994). Cognitive virtues and epistemic
evaluations. International Journal of Philosophical
Studies, 2, 211-27. |
ZAMORA-BONILLA, J.P. (2013). Why are good theories good ?
Reflections on epistemic values, confirmation, and formal
epistemology. Synthese, 190 (9), 1533-1553. [PDF] |
WOODWARD, J. & GOODSTEIN, D. (1996). Conduct,
misconduct and the structure of science. American
Scientist, 84 (5), 479-491. [PDF]
+ [PDF] |
JUSSIM, L., CRAWFORD, J.T., STEVENS, S.T.ANGLIN, S.M.
& DURTE, J.L. (2016). Can high moral purposes undermine
scientific integrity ? In J. Forgas, P. van Lange & L.
Jussim (Eds), The Sydney Symposium on the social
psychology of morality. [PDF] |
BONJOUR, L. & SOSA, E. (2003). Epistemic
justification : Internalism vs. externalism, foundations
vs. virtues. Oxford : Blackwell. |
ROMERO, F. (2017). Novelty versus replicability : Virtues
and vices in the reward system of science. Philosophy
of Science, 84, 1031-1043. |
KILLEEN, P.R. (2003). The yins and yangs of science. Behavior
& Philosophy, 31, 251-258. [PDF] |
McINTYRE, L. (2019). The scientific attitude.
Cambridge : MIT Press. |
 |
|
|
| |
Voir aussi Publier ou
périr, Scientificité,
Pensée
scientifique et Marchandisation
de la connaissance |
 |
 |
|
Vervet (Cercopithecus aethiops/Chlorocebus sabaeus) : Singe
de la famille des cercopthecidae. =
singe vert.
Vervet.
| |
|
 |
| |
SEYFARTH, R.M., CHENEY, D.L. & MARLER P. (1980).
Vervet monkey alarm calls : semantic communication in a
free ranging primate. Animal Behaviour, 28,
1070-1094. |
ISBELL, L.A. & CHENEY, D.L. & SEYFARTH, R.M.
(1993). Are immigrant vervet monkeys, Cercopithecus
aethiops, at greater risk of mortality than residents ? Animal
Behaviour, 45, 729-734. [PDF] |
IVERSEN, I.H., RAGNARSDOTTIR, G.A. & RANDRUP, K.I.
(1984). Operant conditioning of autogrooming in vervet
monkeys (Cercopithecus aethiops). Journal of the
Experimental Analysis of Behavior, 42 (2), 171-189.
[PDF] |
ISBELL, L.A. (1994). The vervets' year of doom. Natural
History, 8, 48-55. |
ISBELL, L.A. (1990). Costs and benefits of home range
shifts among vervet monkeys (Cercopithecusaethiops)in
Amboseli National Park, Kenya. Behavioral Ecology
& Sociobiology, 27, 351-358. [PDF] |
ISBELL, L.A., PRUETZ, J.D. (2008). Differences between
vervets (Cercopithecus aethiops) and patas monkeys
(Erythrocebus patas) in agonistic interactions between
adult females. International Journal of Primatology,
19 (5), 837-855. [PDF] |
ISBELL, L.A. (1990). Sudden short-term increase in
mortality of vervet monkeys (Cercopithecus aethiops) due
to leopard predation in Amboseli National Park, Kenya.
American Journal of Primatology 21, 41-52. |
ISBELL, L.A., PRUETZ, J.D., LEWIS, M. & YOUNG, T.P.
(1999). Rank differences in ecological behavior : a
comparative study of patas monkeys (Erythrocebus patas)
and vervets (Cercopithecus aethiops). International
Journal of Primatology, 20, 257-272. [PDF]
|
ISBELL, L.A., CHENEY, D.L. & SEYFARTH, R.M. (1991).
Group fusions and minimum group sizes in vervet monkeys
(Cercopithecus aethiops). American Journal of
Primatology, 25, 57-65. [PDF]
|
PRUETZ, J.D. & ISBELL, L.A. (2000). Correlations of
food distribution and patch size with agonistic
interactions in female vervets (Chlorocebus aethiops) and
patas monkeys (Erythrocebus patas) living in simple
habitats. Behavioral Ecology & Sociobiology, 49,
38-47. [PDF]
|
DAWKINS,
R. (2004/07). The ancestor's tale : A pilgrimage to
the dawn of evolution / Il était une fois l'évolution. New
York : Houghton Mifflin/ Paris : Hachette. |
ALEXANDER, G.M. & HINES, M. (2002). Sex differences in
responses to children’s toys in a non-human primate
(cercopithecus aethiops sabaeus). Evolution &
Human Behavior, 23, 467-479. [PDF]
|
 |
| |
|
Voir aussi Singe |
 |
|
|
|
Vésicule :
|
Vésicule
séminale :
|
|
|
Vestibulite :
| |
|
NYIRJESY, P., SOBEL, J.D., WEITZ, M.V., LEAMAN, D.J.,
SMALL, M.J. & GELONE, S.P. (2001). Cromolyn cream for
recalcitrant idiopathic vulvar vestibulitis : results of a
placebo controlled study. Sexually Transmitted
Infections, 77 (1), 53-57. |
ROSEN, N.O., MUISE, A., BERGERON, S., DELISLE, I. &
BAXTER, M.L. (2015). Daily associations between partner
responses and sexual and relationship satisfaction in
couples coping with provoked vestibulodynia. The
Journal of Sexual Medicine, 12, 1028-1039. [PDF]
|
|
 |
Voir aussi Vulve |
 |
|
|
|
Vétéran (Guerre) : Militaire à la retraite, parfois éclopé ou traumatisé par les drames et les horreurs de la guerre. EX
: Un vétéran du Vietnam.
Vétéran, armée et
trouble de stress
post-traumatique.
Combat veteran,
National Guard soldiers.
| |
|
BOREN, J.J & COLMAN, A.D. (1970). Some experiments on
reinforcement principles within a psychiatric ward for
delinquent soldiers. Journal of Applied Behavior
Analysis, 3 (1), 29–37. [PDF]
|
VASTERLING, J.J., BRAILEY, K., ALLAIN, A.N., DUKE, L.M.,
CONSTANS, J.I. & SUTKER, P.B. (2002). Attention,
learning, and memory performances and intellectual
resources in Vietnam veterans : PTSD and no disorder
comparisons. Neuropsychology, 16 (1), 5-14. [PDF] |
|
FRUEH, C.B., HAMNER, M.B., BERNAT, J.A., TURNER, S.M.,
KEANE, T.M. & ARANA, G.W. (2002). Racial differences
in psychotic symptoms among combat veterans with PTSD. Depression
& Anxiety, 16, 157-161. |
BUTLER, J. & WISON, K.L. (1978). The American soldier
revisited: Race relations and the military. Social
Science Quarterly, 59 (3), 451-467. |
GRAMMER, K., RENNINGER, L. & FISCHER, B. (2004). Disco
clothing, female sexual motivation, and relationship
status : Is she dressed to impress ? Journal of Sex
Research, 41, 66-74. |
PITMAN, R.K. & MOFFETT, P.S. (1981). Somatization
disorder (Briquet's syndrome) in a male veteran. Journal
of Nervous& Mental Diseases, 169, 462-466. |
SHIN, L.M., ORR, S.P., CARSON, M.A., RAUCH, S.L., MACKLIN,
M.L., LASKO, N.B., MARZOL PETERS, P., METZGER, L.J.,
DOUGHERTY, D.D., CANNISTRARO, P.A., ALPERT, N.M.,
FISCHMAN, A.J. & PITMAN, R.K. (2004). Regional
cerebral blood flow in amygdala and medial prefrontal
cortex during traumatic imagery in male and female Vietnam
veterans with PTSD. Archives of General Psychiatry,
61, 168-176. [PDF]
|
MALLOY, P.F., FAIRBANK, J.A. & KEANE, T.M. (1983).
Validation of a multimethod assessment of post-traumatic
stress disorders in Vietnam veterans. Journal of
Consulting & Clinical Psychology 51, 488-494. |
|
PITMAN, R.K., ORR, S.P., FORFUE, D.F., DE JONG, J.B. &
CLAIBORN, J.M. (1987). Psychophysiologic assessment of
posttraumatic stress disorder imagery in Vietnam combat
veterans. Archives of General Psychiatry, 44,
970-977. |
TURNER, S.M., FRUEH, C.B. & BEIDEL, D.C. (2005).
Multicomponent behavioral ltreatment for chronic
combat-related posttraumatic stress disorder : Trauma
management therapy. Behavior Modification, 29,
39-69. |
ROBINS, N.L. (1993). Vietnam veterans rapid recovery from heroin addiction : A fluke or normal expectation ? Addiction, 88, 1041-1054. |
MONSON, C.M., SCHNURR, P.P., RESICK, P.A., FRIEDMAN, M.J.,
YOUNG-XU, Y. & STEVENS, S.P. (2006). Cognitive
processing therapy for veterans with military-related
posttraumatic stress disorder. Journal of Consulting
& Clinical Psychology, 74, 898-907. |
ORR, S.P., LASKO, N.B., SHALEV, A.Y. & PITMAN, R.K.
(1995). Physiologic responses to loud tones in Vietnam
veterans with posttraumatic stress disorder. Journal
of Abnormal Psychology, 104 (1), 75-82. |
|
YEHUDA, R., KEEFE, R.S., HARVEY, P.D., LEVENGOOD, R.A.,
GERBER, D.K., GENI, J. & SIEVER, LJ. (1995). Learning
and memory in combat veterans with posttraumatic stress
disorder. American Journal of Psychiatry, 152 (1),
137-139. |
|
FRUEH, C.B., SMITH, D.W. & LIBET, J.M. (1996). Racial
differences on psychological measures in combat veterans
seeking treatment for PTSD. Journal of Personality
Assessment, 66, 41-53. |
JAKUPCAK, M., ROBERTS, L., MARTELL, C., MULICK, P.,
MICHAEL, S., REED, R., BALSAM, K., YOSHIMOTO, D. &
McFALL, M. (2006). A pilot study of behavioral activation
for veterans with post- traumatic stress disorder. Journal
of Traumatic Stress, 19 (3), 387-391. |
HAMNER, M.B. (1996). Clozapine treatment for a veteran
with comorbid psychosis and PTSD. American Journal of
Psychiatry, 153, 841. |
KASHDAN, T.B., JULIAN, T., MERRITT, K. & USWATTE, G.
(2006). Social anxiety and posttraumatic stress in combat
veterans : Relations to well-being and character
strengths. Behaviour Research & Therapy, 44, 561-583.
[PDF] |
 |
ZATZICK, D.F., MARMAR, C.R., WEISS, D.S., BROWNER, W.S.,
METZLER, T.J., GOLDING, J.M., STEWART, A, SCHLENGER, W.E.
& WELLS, K.B. (1997). Post-traumatic stress disorder
and functioning and quality of life outcomes in a
nationally representative sample of male Vietnam veterans.
American Journal of Psychiatry, 154, 1690-1695. [PDF] |
KASHDAN, T.B., ELHAI, J.D. & FRUEH, B.C. (2007).
Anhedonia, emotional numbing, and symptom overreporting in
male veterans with PTSD. Personality & Individual
Differences, 43, 725-735. [PDF] |
ORR, S.P., LASKO, N.B., METZGER, L.J. & PITMAN, R.K.
(1997). Physiologic responses to non-startling tones in
Vietnam veterans with post-traumatic stress disorder. Psychiatry
Research, 73 (1-2), 103-107. |
GALE, C.R., DEARY, I.J. BOYLE, S.H., BAREFOOT, J.,
MORTENSEN, H. & BATTY, G.D. (2008). Cognitive ability
in early adulthood and risk of 5 specific psychiatric
disorders in middle age : The Vietnam experience study.
Archives of General Psychiatry, 65 (12), 1410-1418.
[PDF] |
FRUEH, C.B., GOLD, P.B. & De ARELLANO M.A. (1997).
Symptom overreporting in combat veterans evaluated for
PTSD : Differentiation on the basis of compensation
seeking status. Journal of Personality Assessment, 68,
369-384. |
SCHNURR, P.P., LUNNEY, C.A., BOIVIN, M.J. & MARX, B.P.
(2009). Posttraumatic stress disorder and quality of life
: Extension of findings to veterans of the wars in Iraq
and Afghanistan. Clinical Psychology Review, 29, 727-735.
[PDF] |
ORR, S.P., MEYERHOFF, J.L., EDWRADS, J.V. & PITMAN,
R.K. (1998). Heart rate and blood pressure resting levels
and responses to generic stressors in Vietnam veterans
with posttraumatic stress disorder. Journal of
Traumatic Stress, 11 (1), 155-164. |
JAKUPCAK, M., WAGNER, A., PAULSON, A. VARRA, A. &
McFALL, M. (2010). Behavioral activation as a primary
care-based treatment for PTSD and depression among
returning veterans. Journal of Traumatic Stress, 23 (4),
491-495. [PDF] |
HAMNER, M.B., FRUEH, C., ULMER, H.G. & ARANA, G.W.
(1999). Psychotic features and illness severity in combat
veterans with chronic posttraumatic stress disorder. Biological
Psychiatry, 45, 846-852. [PDF] |
GEWIRTZ, A.H., POLUSNY, M.A., DEGARMO, D.S., KHALYS, A.
& ERBES, C.R. (2010). Posttraumatic stress symptoms
among National Guard soldiers deployed to Iraq :
Associations with parenting behaviors and couple
adjustment. Journal of Consulting & Clinical
Psychology, 78 (5), 599-610. [PDF] |
NETTER, P., TOLL, C., ROHRMANN, S., HENNIG, J. &
NYBORG, H. (2000). Configural frequency analysis of
factors associated with testosterone levels in Vietnam
veterans. Psychologische Beiträge, Band, 42,
504-514. |
BEIDELA, D.C., FRUEH, C.B., UDHE, T.W., WONG, N. &
MENTRIKOSKI, M.J. (2011). Multicomponent behavioral
treatment for chronic combat-related posttraumatic stress
disorder : A randomized controlled trial. Journal of
Anxiety Disorders, 25 (2), 224-231. [PDF] |
KOONS, C.R., ROBINS, C.J., TWEED, J.L., LYNCH, T.R.,
GONZALEZ, A.M., MORSE, J.Q., BISHOP, C.K., BUTTERFIELD,
M.I. & BASTIAN, L.A. (2001). Efficacy of dialectical
behavior therapy in women veterans with borderline
personality disorder. Behavior Therapy, 32,
371-390. [PDF] |
YESAVAGE, J.A. (2014). Longitudinal assessment of sleep
disordered breathing in Vietnam veterans with
post-traumatic stress disorder Nature & Science
of Sleep, 6, 123-127. [PDF] |
FRUEH, C.B., TURNER, S.M., BEIDEL, D.C. & CAHILL, S.P.
(2001). Assessment of social functioning in combat
veterans with PTSD. Aggression & Violent
Behavior, 6, 79-90. |
MONTROSS THOMAS, L.P., PALINKAS, L.A., MEIER, E.A.,
IGLEWICZ, A., KIRKLAND, T. & ZISOOK, S. (2016).
Yearning to be heard : What veterans teach us about
suicide risk and effective interventions. Crisis : The
Journal of Crisis Intervention & Suicide Prevention,
35 (3), 161-167. |
|
O'TOOLE, B., PIERSE, K., FRIEDRICH, B., OUTRAM, S., DADDS,
M. & CATTS, S. (2019). Combat, posttraumatic stress
disorder and health of Australian Vietnam veteran
conscripts and volunteers in the three decades after
return. Journal of Military & Veterans' Health,
27 (1), 42-57. |
|
GUNTER, H., O'TOOLE, B., DADDS, M.R. & CATTS, S.
(2020). Family emotional climate in childhood and risk of
PTSD in adult children of Australian Vietnam veterans. Psychiatry
Research, 294, 1-7. |
 |
| |
Voir aussi Guerre, Armée,
Militaire, Entraînement
militaire et Trouble
de stress post-traumatique |
|
 |
|
| VICTIME
- VICTOIRE - VIDAL
- VIDÉO -
VIEILLIR - VIGILANCE - VILLE
- VIOL - VIOLENCE -
VISAGE - VISION - VITELES
- VO |
Viau
Rolland ( ) : Spécialiste de l'éducation,
notamment de la motivation
scolaire. Collaborateur de Barbeau.
 |
VIAU, R. (1994). La motivation en contexte scolaire.
Montréal : Éditions du Renouveau Pédagogique. |
VIAU, R. et LOUIS, R. (1997). Vers une meilleure
compréhension de la dynamique motivationnelle des
étudiants en contexte scolaire. Revue canadienne de
l’éducation, 22, 144–157. |
VIAU, R. (1999). La motivation dans l’apprentissage
du français. St-Laurent : Éditions du Renouveau
pédagogique. |
VIAU, R. & BOUCHARD, J. (2000). Validation d’un modèle
de dynamique motivationnelle auprès d’élèves du
secondaire. Revue Canadienne de l'Éducation, 25 (1),
16–26. [PDF] |
VIAU, R. (2007). La motivation dans la création
scientifique. Éditions des Presses de l'Université
du Québec. |
 |
 |
|
Vibration :
| |
|
SCHAEFER, H. (1960). Vibration as a reinforcer with infant
children. Journal of the Experimental Analysis of
Behavior, 3, 160. |
BAILEY, J.S. & MEYERSON, L. (1969). Vibration as a
reinforcer with a profoundly retarded child. Journal
of Applied Behavior Analysis, 2 (2), 135-137. [PDF] |
BAILEY, J.S. & MEYERSON, L. (1970). Effect of
vibratory stimulation on a retardate's self-injurious
behavior. Psychological Aspects of Disability, 17,
133-137. |
| |
 |
Voir aussi
Renforcement |
 |
|
Vicariant : Qualifie ce qui est acquis ou appris
par observation, en regardant les autres agir. EX:
apprentissage vicariant, motivation vicariante. Vicariant et
apprentissage par
observation. Vicarious, vicarious
experience, vicarious emotional response.
| |
|
LEWIS, D.J. & DUNCAN, C.P. (1958). Vicarious
experience and partial reinforcement. Journal of
Abnormal & Social Psychology, 57, 321-326. |
BANDURA, A., GRUSEC, J.E. & MENLOVE, F.L. (1967).
Vicarious extinction of avoidance behavior. Journal
of Personality & Social Psychology, 5, 16-23. |
ROSENBAUM, M.E. & DERCHARMS, R. (1960). Direct and
vicarious reduction of hostility. Journal of Abnormal
Social Psychology, 60, 105-111. |
BANDURA, A. & MENLOVE, F.L. (1968). Factors
determining vicarious extinction through symbolic
modeling. Journal of Personality & Social
Psychology, 8, 99-108. |
BANDURA, A. (1965). Vicarious processes : A case of
no-trial learning. In L. Berkowitz (Ed.), Advances in
experimental social psychology (Vol. 2, pp. 1-55).
New York : Academic Press. [PDF] |
BANDURA, A. (1971). Vicarious and self-reinforcement
processes. In R. Glaser (Ed.), The nature of
reinforcement (pp. 228-278). New York : Academic
Press. [PDF] |
|
LANZETTA, J.T. & ENGLIS, B.G. (1989). Expectations of
cooperation and competition and their effects on
observers' vicarious emotional responses. Journal of
Personality & Social Psychology, 46, 543-554. |
BANDURA, A. & ROSENTHAL, T. (1966). Vicarious
classical conditioning as a function of arousal level. Journal
of Personality & Social Psychology, 63,
575-582. |
McCULLOCH, K.C., FITZSIMONS, G., CHUA, S.N. &
ALBARRACIN, D. (2011). Vicarious goal satiation.
Journal of Experimental Social Psychology, 47,
685-688. [PDF] |
|
FALCONE, R., BRUNAMONTO, E. & GENOVESIO, A. (2012).
Vicarious learning from human models in monkeys. PLoS
ONE, 7 (7), 1-4. [PDF] |
| |
 |
Voir aussi Appris
par observation |
 |
|
|
|
|
|
Vicq d’Azir Félix (Valognes Normandie 1748-1794 Paris) :
Naturaliste, physiologiste
et anatomiste français.
Élu en 1788 à l'Académie française au fauteuil no 1. On lui doit
la découverte de la tache bleue ou
noyaux du locus coeruleus. = Vic
d'Azyr. Étudiant de Petit.
   
 |
VICQ D'AZIR, F. (1774). Table pour servir à l'histoire
anatomique et naturelle des corps vivants ou organiques.
Paris : l'Académie Royale des Sciences. |
VICQ D'AZIR, F. (1779). Observations anatomiques. Paris
: Mémoires de l'Académie royale des sciences. |
VICQ D'AZIR, F. (1784). Second mémoire contenant des
observations sur plusieurs régions du cerveau disséqué
par sa base, et sur l'origine des nerfs. Paris :
Mémoires de l'Académie royale des sciences. |
VICQ D'AZIR, F. (1786). Suite des recherches sur la
structure du cerveau. Sur la structure du cerveau des
animaux comparé avec celui de l'homme. Paris :
Mémoires de l'Académie royale des sciences. |
VICQ D'AZIR, F. (1786). Traité d'anatomie et de
physiologie avec des planches coloriées représentant au
naturel les divers organes de l'Homme et des Animaux /
Vol I-II (planches). Paris : François Didot l'aîné. |
|
SPILLMAN, R. (1941). Félix Vicq d’Azyr and Benjamin
Franklin. Journal of Nervous & Mental Disease, 94
(4), 428-44. |
GOLDBLATT, D. (1986). The key to the brain. Félix Vicq
d'Azyr (1748-1794). Seminars in Neurology, 6,
231-237. |
FARRELL, P.S. & McHENRY, L.C. (1987). Fragments of
neurologic history : Félix Vicq d'Azyr and neuroanatomy. Neurology,
37, 1349-1350. |
HANNAWAY, C. (1994). Vicq d'Azyr, anatomy and a vision of
medicine. Clio Medica, 25, 280-295. |
PEUMERY, J.J. (2001). Vicq d’Azyr et la Revolution
Francaise. Histoire des sciences médicales, 35, 263–270. |
PARENT, A. (2007). Félix Vicq d'Azyr : anatomy, medecine
and revolution. Canadian Journal of Neurological
Sciences, 34, 30-37. [PDF] |
VAN GIJN, J. (2009). Félix Vicq d’Azyr (1748–1794). Journal
of Neurology, 256 (8), 1384-1385. [PDF] |
PARENT,
A. (2009). Histoire du cerveau. Québec : Presses
de l'Univserité Laval. |
 |
|
Victime : Tout individu
qui subit une agression
ou tout autre forme de violence (voies de fait/ agressiont,
viol, vol, enlèvement,
meurtre, accident,
etc.). Certaines victimes développent un trouble
de stress post-traumatique. Victime, viol et
agression sexuelle.
Victim.
| |
|
PILIAVIN, J.A. & PILIAVIN, I.M. (1972). Effect of
blood on reaction to a victim. Journal of Personality
and Social Psychology, 23 (3), 353-361. |
BAUMEISTER, R.F., STILLWELL, A. & WOTMAN, S.R. (1990).
Victim and perpetrator accounts of interpersonal conflict
: Autobiographical narratives about anger. Journal of
Personality & Social Psychology, 59, 994-1005. |
KELMAN, H.C. (1973). Violence without moral restraint :
Reflections on the dehumanization of victims and
victimizers. Journal of Social Issues, 29 (4),
25-61. [PDF] |
COLLINS R.L., TAYLOR S.E. & SKOKAN, L.A. (1990). A
better world or a shattered vision ? : Changes in
perspectives following victimization. Social
Cognition, 8, 263-285. [PDF] |
PILIAVIN, I.M, PILIAVIN, J.A. & RODIN, J. (1975).
Costs, diffusion, and the stigmatized victim. Journal
of Personality & Social Psychology, 32 (3),
429-438. |
SHEPHERD, J. (1990). Victims of personal violence : The
relevance of Symond's model of psychological response and
loss theory. British Journal of Social Work, 20,
309-332. |
WALLER, I. & OKIHIRO, N. (1978). Burglary : The
victim and the public. Toronto : University of
Toronto Press. |
|
BILES, D., BRAITHWAITE, J. & BRAITHWAITE, V. (1979).
Mental health of the victims of crime. International
Journal of Offender Therapy & Comparative
Criminology, 23, 129-134. |
|
THISSEN, D. (1983). Toward the measurement and prediction
of victim proneness. Journal of Research in Crime
& Delinquency, 20 (2), 243-261. |
|
TAYLOR, S.E., WOOD, J.V. & LICHTMAN, R.R. (1983). It
could be worse : Selective evaluation as a response to
victimization. Journal of Social Issues, 39, 19-40.
[PDF] |
|
MILLER, D.T. & PORTER, C.A. (1983). Self-blame in
victims of violence. Journal of Social Issues, 39
(2), 139-152. |
FRIEDRICH, W.N. (1993). Sexual victimization and sexual
behavior in children : A review of recent literature. Child
Abuse & Neglect, 17, 59-66. |
SALES, E., BAUM, M. & SHORE, B. (1984). Victim
readjustment following assault. Journal of Social
Issues, 40, 117-136. |
TESTA, M. & PARKS, K.A. (1996). The role of women's
alcohol consumption in sexual victimization. Aggression
& Violent Behavior, 1 (3), 217-234. |
FALLER, K.C. (1984). Is the child victim of sexual abuse
telling the truth? Child Abuse & Neglect, 8,
473-481. |
BRIÈRE, J., WOO, R., McRAE, B., FOLTZ, J. & SITZMAN R.
(1997). Lifetime victimization history, demographics, and
clinical status in female psychiatric emergency room
patients. Journal of Nervous & Mental Disease,
185, 95-101. [LIRE] |
 |
WARR, M. (1984). Fear of victimization : Why are women and
the elderly more afraid ? Social Science Quarterly,
65, 681-702. |
BRIÈRE, J. & ELLIOTT, D.M. (1997). Psychological
assessment of interpersonal victimization effects in
adults and children. Psychotherapy : Theory, Research
& Practice, 34, 353-364. [PDF] |
ZIMRING, F.E. & ZEUL, J. (1986). Victim injury and
death in urban robbery : A Chicago study. Journal of
Legal Studies, 15, 1-40. |
WINKEL, F. W. (1998). Fear of crime and criminal
victimization. British Journal of Criminology, 38,
473–484. |
BARD, M. & SANGREY, D. (1986). The crime victims
book. New Jersey : Citadel Press. |
KINGMA, J. (1999). Repeat victimization of victims of
violence : A retrospective study from a hospital emergency
department for the Period 1971-1995. Journal of
Interpersonal Violence, 14 (1), 79-90. |
MILLER, D.T. & McFARLAND, C. (1986). Counterfactual
thinking and victim compensation : A test of norm theory.
Personality & Social Psychology Bulletin, 12,
513-519. |
DIXON, T.L. & LINZ, D. (2000). Race and the
misrepresentation of victimization on local television
news. Communication Reseach, 27 (5), 547-573.
[PDF] |
WIRTZ, P.W. & HARRELL, A.V. (1987). Assaultive versus
nonassaultive victimization : A profile analysis of
psychological response. Journal of interpersonal
violence, 2, 264-277. |
FETCHENHAUER, D. & ROHDE, P. (2002). Evolutionary
personality psychology and victimology : Sex differences
in risk attitudes and short-term orientation and their
relation to sex differences in victimizations. Evolution
& Human Behavior, 23, 233-244. |
RESICK, P.A. (1987). Psychological effects of
victimization : Implications for the criminal justice
system. Crime & Delinquency, 33, 468-478. |
GRAHAM, S., BELLMORE, A.D. & MIZE, J. (2006). Peer
victimization, aggression, and their co-occurrence in
middle school : Pathways to adjustment problems.
Journal of Abnormal Child Psychology, 34 (3),
363-378. [PDF] |
WIRTZ, P.W. & HARRELL, A.V. (1987). Victim and crime
characteristics, victimization. Journal of Consulting
& Clinical Psychology, 55, 866-871. |
BRIÈRE, J. & RICKARDS, S. (2007). Self-awareness,
affect regulation, and relatedness : Differential sequels
of childhood versus adult victimization experiences.
Journal of Nervous & Mental Disease, 195,
497-503. [PDF] |
WIRTZ, P.W. & HARRELL, A.V. (1987). Police and victims
of physical assault. Criminal Justice & Behavior,
14, 881-910. |
SALMIVALLI, C. & PEETS, K. (2008). Bullies, victims,
and bully–victim relationships. In K. Rubin, W. Bukowski
& B. Laursen (Eds.), Handbook of peer
interactions, relationships, and groups (pp.
322–340). New York : Guilford Press. |
WIRTZ, P.W. & HARRELL, A.V. (1987). Effects of
postassault exposure to attack-similar stimuli on
long-term recovery of victims. Journal of Consulting
& Clinical Psychology, 55, 10-16. |
BARKER, E. D., BOIVIN, M., BRENDGEN, M., FONTAINE, N.,
ARSENAULT, L., VITARO, F., BISSONNETTE, C. & TREMBLAY,
R.E. (2008). Predictive validity and early predictors of
peer victimization trajectories in preschool. Archives
of General Psychiatry, 65 (10), 1185-1192. [PDF] |
PERRY, D.G., KUSEL, S.J. & PERRY, L.C. (1988). Victims
of peer aggression. Developmental Psychology, 24,
807-814. |
DIXON, T.L. (2008). Who is the victim here ? : The
psychological effects of overrepresenting White victims
and Black perpetrators on television news. Journalism
: Theory, Practice & Criticism, 9, 582-605. [PDF] |
WALLER, I. (1989). The needs of crime victims. In E.A.
Fattah (Ed.), The plight of crime victims in modern
society. New York : St. Martin's Press. Warr, M.
(1990). Dangerous situations : Social context and the fear
of victimization. Social Forces, 68, 891-907. |
GRUBB, A.R. & HARROWER, J. (2009). Understanding
attribution of blame in cases of rape : An analysis of
participant gender, type of rape and perceived similarity
to the victim. Journal of Sexual Aggression, 15
(1), 63-81. [PDF] |
|
PUTRA, I. E., MASHURI, A. & ZADUQISTI, E.
(2015). Demonising the victim : Seeking the answer for how
a group as the violent victim is blamed. Psychology
& Developing Societies, 27 (1), 31–57.
|
 |
| |
Voir aussi Trouble
de stress post-traumatique, Viol,
Accident, Otage et
Agression sexuelle |
 |
 |
|
|
|
Victimologie
: Science au
carrefour de la criminologie,
de la psychologie et
de la psychiatrie, qui
étudie les comportements,
les émotions et les cognitions
des victimes d'agression.
Victimology.

| |
|
DEUTSCH, M., HEILMAN, M.E. & SLOCHOWER, J. (1976). The
effects of victimization on reactions to other victims. Journal
of Applied Social Psychology, 6, 193-205. |
PERLOFF, L.S. (1983). Perceptions of vulnerability to
victimization. Journal of Social Issues, 39,
41-61. |
SCHAFER, S. (1977). Victimology : The victim and his
criminal. Reston, VA : Reston Publishing. |
WEISAETH, L. (1985). Psychiatric studies in victimology in
Norway : Main findings and recent developments. Victimology,
10, 478-487. |
ZLONTICK, J. (1979). Victimology and crisis intervention
training with police. Crisis Intervention, 10, 2-17. |
LOPEZ, G. (1997). Victimologie. Dalloz : Paris. |
|
FETCHENHAUER, D. & ROHDE, P. (2002). Evolutionary
personality psychology and victimology : Sex differences
in risk attitudes and short-term orientation and their
relation to sex differences in victimizations. Evolution
& Human Behavior, 23, 233-244. |
WORTMAN, C.B. (1983). Coping with victimization :
Conclusions and implications for future research. Journal
of Social Issues, 39, 195-221. |
WEMMERS, J.A. (2003). Introduction à la victimologie.
Montréal : Presses de l'Université de Montréal. |
PETERSON, C. & SELIGMAN, M.P. (1983). Learned
helplessness and victimization. Journal of Social
Issues, 39, 103-116. |
KARMAN, A. (2003). Crime victims : An introduction to
victimology. Wadsworth Publishing |
|
 |
Voir aussi Victime |
 |
|
Victimology : An International Journal : Revue
scientifique.
BURGESS, R.L. (1986). Social incompetence as a
precipitant to and consequence of child maltreatment.
Victimology : An International Journal, 10,
72-86.
|
|
 |
|
|
|
Victoire : Issue d'un duel,
d'un conflit ou d'un combat
qui procure au gagnant un
avantage, un bénéfice, un gain. Victoire, jeu
de hasard et sport.
*réussite.
/défaite.
Win, winning, winner effect.
| |
|
REEVE, J., OLSON, B.C. & COLE, S.G. (1985). Motivation
and performance : Two consequences of winning and losing
in competition. Motivation & Emotion, 9 (3),
291-298. [PDF]
|
HSU, Y. & WOLF, L.L. (2001). The winner and loser
effect : what fighting behaviours are influenced ? Animal
Behaviour, 61, 777-786. [PDF] |
|
DUGGAN, M. & LEVITT, S.D. (2002). Winning isn't
everything : Corruption in Sumo wrestling. The
American Economic Review, 92 (5), 1594-1605. |
BEAUGRAND, J.P., GOULET, C. & PAYETTE, D. (1991).
Outcome of dyadic conflict in male green swordtail fish
(Xiphophorus helleri) : Effects of body size and prior
dominance. Animal Behaviour, 41, 187-194. |
DUGATKIN, L.A. & EARLY, R.L. (2004). Individual
recognition, dominance hierarchies and winner and looser
effect. Proceedings of the Royal Society B :
Biological Sciences, 271, 1537-1540. [PDF]
|
HIRT, E., ZILLMANN, D., ERICKSON, G.A. & KENNEDY, C.
(1992). Costs and benefits of allegiance : Changes in
fans' self-ascribed competencies after team victory versus
defeat. Journal of Personality & Social
Psychology, 63 (5), 724-728. [PDF] |
LARSEN, J.T., McGRAW, A.P., MELLERS, B A. & CACIOPPO,
J.T. (2004). The agony of victory and the thrill of defeat
: Mixed emotional reactions to disappointing wins and
relieving losses. Psychological Science, 15,
325-330. [PDF]
|
BAXTER-JONES, A. & HELMS, P. (1994). Born too late to
win ? Nature, 370, 186. |
CARRÉ, J.M. (2009). No place like home : testosterone
responses to victory depend on game location. American
Journal of Human Biology, 21, 392-394. [PDF] |
HSU, Y. & WOLF, L.L. (1999). The winner and loser
effect : integrating multiple experiences. Animal
Behaviour, 57, 903-910. [PDF] |
CARRÉ, J.M. & PUTNAM, S.K. (2010). Watching a previous
victory produces an increase in testosterone among elite
hockey players. Psychoneuroendocrinology, 35, 475-479.
[PDF] |
MESTERTON-GIBBONS, M. (1999). On the evolution of pure
winner and loser effects : a game-theoretic model.
Bulletin of Mathematical Biology, 61, 1151-1186. |
AMABILE, T.M. & KRAMER, S.J. (2011). The power of
small wins. Harvard Business Review, 89 (5),
70-80. |
|
EARLY, R.L., LU, C.-K., LEE, I-H., WONG, S.C. & HSU,
Y. (2013). Winner and loser effects are modulated by
hormonal states. Frontiers in Zoology, 10 (6),
1–13. [PDF]
|
|
VERBRUGGEN, F., LAWRENCE, N.S., CHAMBERS, C.D. &
McLAREN, IP.L. (2016). Winning and losing : Effects on
impulsive action. Journal of Experimental Psychology
Human Perception & Performance, 43 (1),
147-168. [PDF]
+ [PDF] |
 |
| |
Voir aussi Conflit,
Combat, Défaite,
Sport, Jeu
de hasard et Gagnant |
 |
 |
|
Victor Christina R. ( ) : Psychologue
brittanique et spécialiste de l'étude de
l'isolement social et de la solitude.

 |
VICTOR, C.R., SCAMBLER, S., BOND, J. & BOWLING, A.
(2000). Being alone in later life : Loneliness, social
isolation and living alone. Reviews in Clinical
Gerontology, 10 (4), 407-417. |
VICTOR, C.R., SCAMBLER, S., BOWLING, A. & BOND, J.
(2005). The prevalence of, and risk factors for,
loneliness in later life : A survey of older people in
Great Britain. Ageing & Society, 25 (3),
357-376 |
VICTOR, C.R. & YANG, K. (2012). The prevalence of
loneliness among adults : A case study of the United
Kingdom. The Journal of Psychology :
Interdisciplinary & Applied, 146 (1-2), 85-104. |
VICTOR, C.R. & BOWLING, A. (2012). A longitudinal
analysis of loneliness among older people in Great
Britain. The Journal of Psychology :
Interdisciplinary & Applied, 146 (3), 313-331. |
VICTOR, C.R., BURHOLT, V. & MARTIN, W. (2012).
Loneliness and ethnic minority elders in Great Britain :
an exploratory study, Journal of Cross Cultural
Gerontology, 27 (1), 65-78. |
 |
|
|
|
Vidal Catherine (1951-) : Neurobiologiste
et vulgarisatrice française. Elle
étudie notamment la relation entre le cerveau,
le milieu et l'identité
sexuelle.

 |
VIDAL, C. (1996). Le cerveau a-t-il un sexe ? La
Recherche, 290. |
VIDAL, C. (2002). Le cerveau, le sexe et l'idéologie dans
les neurosciences. L'Orientation Scolaire et
Professionnelle, 31 (4), 495-505. |
VIDAL, C. et BENOIT-BROWAEYS, D. (2005). Cerveau,
sexe et pouvoir. Paris : Belin. |
VIDAL, C. (Dir.) (2006). Féminin, masculin : Mythes
et idéologies. Paris : Belin. |
VIDAL, C. (2015). Nos cerveaux, tous pareils, tous
différents. Paris : Belin. |
 |
 |
|
Vidéo : Procédé d’enregistrement et de reproduction de l’image et du son utilisé à plusieurs fins : a)
En recherche, on l'utilise notamment afin d'observer
en détails le comportement.
b) En thérapie,
on l'utilise également pour fournir au patient
un modèle à
imiter, pour facilter
l'apprentissage de règle
ou corriger certains comportements
(par rétroaction). d) On sert aussi du vidéo en
éducation, notamment pour
produire des balados ou enseigner les tâches complexes. Recording,
podcasting. d) Le vidéo est également
un sujet d'étude, notamment dans le domaine de la psychologie
de la musique. e) Le terme est aussi
utilisé pour désigner les jeux
électroniques disponibles par ordinateur/console
de jeux. f) Finalement, on utilise le vidéo
dans le milieu de la justice notamment pour enregistrer la version
d'un témoin.
| |
|
| a |
|
|
Voir Observation
par vidéo-caméra |
| b |
FICHTEN, C. & WRIGHT, J. (1983). Problem-solving
skills in happy and distressed couples : Effects of
videotape and verbal feedback. Journal of Clinical
Psychology, 39, 340-352. [PDF] |
LEBLANC, L.A., COATES, A.M., DANESHVAR, S.,
CHARLOP-CHRISTY, M.H., MORRIS, C. & LANCASTER, B.M.
(2003). Using video modeling and reinforcement to teach
perspective-taking skills to children with autism. Journal
of Applied Behavior Analysis, 36 (2), 253-257. [PDF] |
WESTER-STRATTON, C., KOLPACOFF, M. & HOLLINSWORTH, T.
(1988). Self-administered videotape therapy for families
with conduct-problem children : Comparison with two
cost-effective treatments and a control group. Journal
of Consulting & Clinical Psychology, 56, 558-566. |
REHFELDT, R.A., DAHMAN, D., YOUNG, A., CHERRY, H. &
DAVIS, P. (2003). Using video modeling to teach simple
meal preparation skills in adults with moderate and severe
mental retardation. Behavioral Interventions, 18, 209-218. |
HAZEN, A., JOHNSTONE, C., MARTIN, G.L. & SRIKAMES-
WARAN, S. (1990). A videotaping feedback package for
improving skills of youth competitive swimmers. The
Sport Psychologist, 4, 213-227. |
SIMPSON, A., LANGONE, J. & AYERS, K.M. (2004).
Embedded video and computer based instruction to improve
social skills for students with autism. Education
& Training for Children with Developmental
Disabilities, 39, 240-252. |
KRANTZ, P.J., MacDUFF, G.S., WADSTROM, O. &
McCLANNAHAN, L.E. (1991). Using video with developmentally
disabled learners. In P.W. Dowrick (Ed.), A practical
guide to using video in the behavioral sciences
(pp. 256-266). New York : Wiley. |
AYRES, K. & LANGONE, J. (2005). Intervention and
instruction with video for students with autism : A review
of the literature. Education & Training in
Developmental Disabilities, 40, 183-196. |
WEBSTER-STRATTON, C. (1992). Individually administered
videotape parent training : "Who benefits ?" Cognitive
Therapy & Research, 16, 31-35. |
BOYER, E., MILTENBERGER, R.G., BATSCHE, C. & FOGEL, V.
(2009). Expert video modeling with video feedback to
enhance gymnastics skills. Journal of Applied
Behavior Analysis, 42 (4), 855-860. [PDF] |
CHARLOP, M.H., LE, L. & FREEMAN, K.A. (2000). A
comparison of video modeling with in vivo modeling for
teaching children with autism. Journal of Autism
& Developmental Disorders, 30 (6), 537-552. [PDF] |
|
SCHREIBMAN, L., WHALEN, C. & STAHMER, A. (2000). The
use of video priming to reduce disruptive behavior in
children with autism. Journal of Positive Behavioral
Interventions, 2 (1), 3-11. |
GERNSBACHER, M.A. (2015). Video captions benefit everyone.
Policy Insights from the Behavioral & Brain
Sciences, 2, 195-202. |
| |
Voir aussi Rétroaction
et Thérapie |
| c |
MARX, R.D. & FROST, P.J. (1998). Towards optimal use
of video in management education : Examining the evidence.
Journal of Management Development, 17 (4), 243-250. |
|
SHYU, H.C. (2000). Using video based anchored instruction
to enhance learning : Taiwan's experience. British
Journal of Educational Technology, 31, 57-69. |
WIELING, M. & HOFMAN, W. (2010). The impact of online
lecture recordings and automated feedback on student
performance. Computers & Education, 54 (4),
992-998. |
FOERTSCH, J., MOSES, G.A., STRIKWERDA, J.C. & LITZKOW,
M.J. (2002). Revising the lecture/homework paradigm using
eTechR web-based streaming video software. Journal of
Engineering Education, 91 (3), 267-274. |
|
SHEPHARD, K. (2003). Questioning, promoting and evaluating
the use of streaming video to support student learning. British
Journal of Educational Technology, 34 (3), 295-538. |
|
HITCHCOCK, C., PRATER, M. & DOWRICK, P. (2004).
Reading comprehension and fluency : Examining the effects
of tutoring and video self-modeling on first grade
students with learning difficulties. Learning
Disability Quarterly, 27, 89-103. |
SCHEELER, M.C., MCKINNON, K. & STOUT, J. (2011).
Effects of immediate feedback delivered via webcam and
bug-in-the-ear technology on preservice teacher
performance. Teacher Education & Special
Education, 20 (10) 1-14. |
SHRUN, W., DUQUE, R. & BROWN, T. (2005). Digital video
as research practice : Methodology for the millennium. Journal
of Research Practice, 1 (1), 1-19. |
HARGIS, J. & MAROTTA, S.M. (2011). Using flip
camcorders for active classroom metacognitive reflection.
Active Learning in Higher Education, 12 (1),
35-44. [PDF] |
CASPI, A., GORSKY, P. & PRIVMAN, M. (2005). Viewing
comprehension : Students' learning preferences and
strategies when studing from video. Instructional
Science, 33 (1), 31-47 |
|
CEBECI, Z. & TEKDAL, M. (2006). Using podcasts audio
learning objects. Interdisciplinary Journal of
Knowledge & Learning Objects, 2, 47-57. |
|
CHOI, H.J. & JOHNSON, S.D. (2007). The effect of
problem-based video instruction on learner satisfaction,
comprehension and retention in college courses. British
Journal of Educational Technology, 38, 885-895. |
WALLS, S.M., WALKER, J.D., ACEE, T.W., KUCSERA, J.V.
& ROBINSON, D.H. (2010). Are they as ready and eager
as we think they are ? Exploring student readiness and
attitudes towards two forms of podcasting. Computers
& Education, 54 (2), 371-378. |
BENNETT, P. & GLOVER, P. (2008). Video streaming :
Implementation and evaluation in an undergraduate nursing
program. Nurse Education Today, 28 (2),
253-258. |
KAY, R.H. (2012). Exploring the use of video podcasts in
education : A comprehensive review of the literature. Computers
in Human Behavior, 28 (3), 820-831. [PDF] |
JARVIS, C. & DICKIE, J. (2009). Acknowledging the
"forgotten" and the "unknown' : The role of video podcasts
for supporting field-based learning. Planet, 22, 61-63.
[PDF] |
WILLIAMS A., BIRCH, E. & HANCOCK, P. (2012). The
impact of online lecture recordings on student
performance. Australasian Journal of Educational
Technology, 28 (2), 199-213. [PDF] |
|
Voir aussi
TICS, Baladodiffusion
et Éducation |
| d |
TROSETH, G.L. & DELOACHE, J.S. (1998). The medium can
obscure the message : Young children's understanding of
video. Child Development, 69 (4), 950-965. |
|
|
|
Voir aussi Psychologie
de la musique et Cinéma |
| e |
MALONE, T.W. (1980). What makes things fun to learn ? A
study of intrinsically motivating computer games. (Report
CIS-7). Palo Altao, CA : Xerox Palo Alto Research Center. |
SEDLAK, R.A., DOYLE, M. & SCHLOSS, P. (1982). Video
games - a training and generalization demonstration with
severely retarded adolescents. Education &
Training in Mental Retardation & Developmental
Disabilities, 17 (4), 332-336. |
|
FERGUSON, C.J. & DONNELLAN, M.B. (2014). Were the
associations between children's baby video viewing and
poor language development a statistical artifact? A
reanalysis of Zimmerman, Christakis, and Meltzoff (2007).
Developmental Psychology, 50, 129-137. |
 |
|
| |
Voir aussi Jeu vidéo
et Ordinateur |
| f |
LASSITER, G.D., ANDREW L. GEERS, A.L., HANDLEY, I.M.
WEILAND, P.E. & MUNHALL.P.J. (2002). Videotaped
interrogations and confessions : A simple change in camera
perspective alters verdicts in simulated trials. Journal
of Applied Psychology, 87, 867-884. |
|
 |
 |
|
Vie : Vivant : Le concept renvoie à deux réalité
distinctes mais complémentaire : a) Il désigne
tout objet qui possède les propriétés
suivantes : 1) structure organique
à base de carbone. 2) cette structure a la
capacité de conserver son équilibre interne (homéostasie);
3) capacité de se réguler
(équilibre avec le milieu); 4) capacité de se reproduire;
5) capacité de se transformer, d'évoluer.
La capacité de se reproduire semble davantage s'appliquer à
l'espèce ou au groupe qu'aux éléments du groupe/espèce puisqu'un
organisme qui ne peut se reproduire disparaît après avoir vécu.
Ces cinq propriétés semblent
nécessaires et suffisantes à toute forme de vie.
Life. b) Il renvoie aussi aux
particularités et à la durée des objets vivants. =
durée de vie, toute la vie.
Lifespan.
| |
|
| a |
DYSON, F. (1985). Origins of life. Cambridge
University Press. |
RUFFIÉ, J. (1986). Traité du vivant. Paris :
Flammarion. |
VARELA, F. (1989). Autonomie et connaissance : essai
sur le vivant. Paris : Seuil. |
JACQUARD, A. (1995). La matière et la vie. Paris
: Les Essentiels, Milan. |
GADAGKAR, R. (1999). What is life ? - Reconsidered. A
review of : Origins of life, Freeman Dyson, Cambridge
University Press, (1985). Resonance : Journal of
Science Education, 4 (2), 88-90. [PDF] |
ENGELHARDT, H.T. & ILTIS, A.S. (2005). End-of-life :
the traditional Christian view. The Lancet, 366,
1045-1049. |
WIRTZ, D., CHIU, C., DIENER, E. & OISHI, S. (2009).
What constitutes a good life ? Cultural differences in the
role of positive and negative affect in subjective
well-being. Journal of Personality, 77, 1167-1196.
[PDF] |
|
| b |
DUMAS, J.E., BLECHMAN, E.A. & PRINZ, R.J. (1992).
Helping families with aggressive children and adolescents
change. In R. DeV. Peters, R.J. McMahon & V.L. Quinsey
(Eds.), Aggression and violence throughout the
lifespan (pp. 126-154). Newbury Park, CA : Sage. |
NOLEN-HOEKSEMA, S. (1995). Gender differences in coping
with depression across the lifespan. Depression, 3,
81-90. |
ROBINS, R.W., TRZESNIEWSKI, K., TRACY, J.L., GOSLING, S.
& POTTER, J. (2002). Self-esteem across the lifespan.
Psychology Aging, 17, 423-434. |
TRZESNIEWSKI, K.H., DONNELLAN, M.B. & ROBINS, R.W.
(2003). Stability of self-esteem across the life span.
Journal of Personality & Social Psychology, 84,
205-220. |
CRISTIA, A., SEIDL, A., VAUGHN, C., SCHMALE, R., BRADLOW,
A. & FLOCCIA, A. (2012). Linguistic processing of
accented speech across the lifespan. Frontiers in
Psychology, 3, 1-15. |
 |
| |
 |
Voir Vie après la mort |
 |
|
Vie
(Début) :
|
Vie
après la mort : Croyance
religieuse. Life after death.
| |
|
SIEGAL, R.K. (1980). The psychology of life after death. American
Psychologist, 35 (10), 911-931. |
THALBOURNE, M.A. (1996). Belief in life after death :
Psychological origins and influences. Personality
& Individual Differences, 21, 1043-104. |
GREELEY, A.M. & HOUT, M. (1999). Americans’ increasing
belief in life after death : Religious competition and
acculturation. American Sociological Review, 64,
813–835. |
BERING, J.M. (2002). Intuitive conceptions of dead agents'
minds : the natural foundations of aafterlife beliefs as
phenomenological boundary. Journal of Cognition &
Culture, 2, 263-308. |
FLANNELLY, K.J., KOENIG, H.G., ELLISON, C.G., GALEK, K.
& KRAUSE, N. (2006).Belief in life after death and
mental health : findings from a national survey.
Comparative Study, 194 (7), 524-529. |
FLANNELLY, K.J., ELLISON, C.G., GALEK, K. & SILTON,
N.R. (2012). Belief in life-after-death, beliefs about the
world, and psychiatric symptoms. Journal of Religion
& Health, 51 (3), 651-662. [PDF] |
RIEKKI, T.J.J., LINDEMAN, M.J. & LIPSANEN, J. (2013).
Conceptions about the mind-body problem and their
relations to afterlife beliefs, paranormal beliefs,
religiosity, and ontological confusions. Advances in
Cognitive Psychology, 9, 112-120. [PDF] |
BAUTISTA, J.S., ESCOBAR, V.H. & MIRANDA, R.C. (2018).
Psychological study on the origin of life, death and life
after death : Differences between beliefs according to age
and schooling. Universal Journal of Educational
Research, 6 (6), 1175-1186. [PDF] |
|
 |
Voir aussi Religion,
Vie et Croyance
ésotérique |
 |
|
Vie
bonne : Concept proposé par Rosa
pour désigner un style de
vie dont la qualité ou le bien-être ne repose pas sur la richesse
et l'accumulation des biens,
mais plutôt sur la capacité d'entrer activement en résonance avec
le monde physique et social.
| |
|
ROSA, H. (2018). Résonance : une sociologie de la
relation au monde. Paris : La Découverte. |
 |
 |
|
|
|
Vie
privée : Private life, private
use.
| |
|
ARIES, P & DUBY, G. (1985/88). Histoire de la vie
privé. Paris : Le Seuil / A history of private
life. Cambridge, MA : Harvard University Press. |
LARSON, R. (1995). Secrets in the bedroom : Adolescents'
private use of media. Journal of Youth &
Adolescence, 24, 535-550. |
CHAN, Y. (2000). Privacy in the family : Its hierarchical
and asymmetrical nature. Journal of Comparative Family
Studies 31 (1), 1-23. |
 |
 |
|
Vieillir
: Vieillissement : Dégénérescence biologique,
psychologique (déclin
cognitif), économique, généralement progressive, d'un organisme
(a) ou d'un groupe d'organisme (b)
de ses facultés physiques et mentales. Le rythme de cette
dégénérescence varie en fonction de nombreux facteurs
(patrimoine génétique, qualité du système
de santé, qualité de
vie, maladie,
richesse intellectuelle du milieu, handicap physique,
déficience intellectuelle,
condition physique,
accident, commotion
cérébrale, travail de nuit, etc.). Les variations interindivuelles étant nombreuses, on étudie de nos jours les conditions d'un «bon vieillessement». Vieillissement, déclin cognitif et âge.
Aging, ageing, older adult.
| |
|
| a
|
McFARLAND, R.A. (1956). The psychological aspects of
aging. Bulletin of the New York Academy of Medicine,
32 (1), 14-32. [PDF] |
EINSTEIN, G.O., McDANIEL, M.A., MANZI, M., COCHRAN, B.
& BAKER, M. (2000). Prospective memory and aging :
Forgetting over short delays. Psychology & Aging,
15, 671-683. [PDF] |
WELFORD, A.T. (1958). Ageing and human skill.
London : Oxford University Press. |
VERHAEGHEN, P. (2000). The parallels in beauty’s brow :
time-accuracy functions and their implications for
cognitive aging theories. In T.J. Perfect & E.A. Maylo
(Eds.), Models of cognitive aging. (pp. 50-86).
Oxford : Oxford University Press |
BIRREN, J.E. (1959). Principles of research on aging. In
J.E. Birren (Ed.), Handbook of aging and the
individual : Psychological and biological aspects
(pp. 3-42). Chicago, IL : University of Chicago Press. |
GLASS, J.M., SCHUMACHER, E.H., LAUBER, E.J., ZURBRIGGEN,
E.L., GMEINDL, L., KIERAS, D.E. & MEYER, D E. (2000).
Aging and the psychological refractory period :
Task-coordination strategies in young and old adults.
Psychology & Aging, 15, 571-595. |
MAYNARD SMITH, J. (1959). A theory of ageing. Nature,
184, 956-958. |
WEST, R.L. (2000). In defense of the frontal lobe
hypothesis of cognitive aging. Journal of the
International Neuropsychological Society, 6,
727–729. |
HAVIGHURST, R.J. (1961). Successful aging. The
Gerontologist, 1, 8-13. |
WENGER, G.C. (2001). Ageing without children : Rural
wales. Journal of Cross-Cultural Gerontology, 16,
79-109. |
HAVIGHURST, R.J., NEUGARTEN, B.L. & TOBIN, S.S.
(1968). Disengagement and patterns of aging. In B.L.
Neugarten (Ed.), Middle age and aging (pp.
161-172). Chicago, IL : Chicago University Press. |
|
RILEY, M.W., JOHNSON, M. & FONER, A. (1972). Aging
and society : A sociology of age stratification (Vol.
3). New York, NY : Russell Sage Foundation. |
|
BOTWINICK, J. (1973). Aging and behavior. New
York, NY : Springer. |
|
ZUCKERMAN, H. & MERTON, R.K. (1973). Age, aging and
age structure in science. In R.K. Merton (Ed.), The
sociology of science (pp 493–560). Chicago :
Chicago University Press. |
|
BLAZER, D.G. & PALMORE, E. (1976). Religion and aging
in a longitudinal panel. Gerontologist, 16, 82-85. |
|
SCHAIE, K.W. (1977). Quasi-experimental research designs
in the psychology of aging. In J.E. Birren & K.W.
Schaie (Eds.), Handbook of the psychology of aging (pp.
39-58). New York : Van Nostrand Reinhold. |
SCHAIE, K.W. & HOFER, S.M. (2001). Longityuindal
studies in research on aging. In J.E. Birren et K.W.
Schaie (Eds.), Handbook of the psychology of aging (pp.
53-77). San Diego, CA : Academic Press. |
FOZARD, J.L. & POPKIN, S.J. (1978). Optimizing adult
development : Ends and means of an applied psychology of
aging. American Psychologist, 33 (11), 975-989. |
DERENNE, A. & BARON, A. (2002). Behavior analysis and
the study of human aging. The Behavior Analyst, 25,
151-160. [PDF] |
PALMORE, E. (1979). Predictors of successful aging.
The Gerontologist, 19, 427-431. |
|
CHARNESS, N. (1981). Aging and skilled problem solving. Journal
of Experimental Psychology : General, 110, 21-38. |
SCHMITTER-EDGECOMBE, M. & NISSLEY, H.M. (2002).
Effects of aging on implicit covariation learning.
Aging, Neuropsychology & Cognition, 9 (1),
61-75. |
RYFF, C.D. (1982). Successful aging : A developmental
approach. The Gerontologist, 22, 209-214. |
STRAWBRIDGE, W.J., WALLHAGEN, M.I. & COHEN, R.D.
(2002). Successful aging and well-being : Self-rated
compared with Rowe and Kahn. The Gerontologist, 42,
727-733. |
CRAIK, F.I.M. & BYRD, M. (1982). Aging and cognitive
deficits: The role of attentional resources. In F.I.M.
Craik & S. Trehub (Eds.), Aging and cognitive
processes (pp. 191-211). New York : Plenum Press. |
PARK, D.C. & GUTCHESS, A.H. (2002). Aging, cognition,
and culture : a neuroscientific perspective. Neuroscience
& Biobehavioral Reviews, 26, 859-867. |
SKINNER, B.F. (1983), Intellectual self-management in old
age. American Psychologist, 38, 239-244. |
VAILLANT, G.E. (2002). Aging well. Boston :
Little Brown. |
WINGFIELD, A., POON, L.W., LAMBARDI, L. & LOWE, D.
(1985). Speed of processing in normal aging : Effects of
speech rate, linguistic structure and processing time.
Journal of Gerontology, 40, 579-585. |
SCHAIE, K.W. & WILLIS, S.L. (2002). Adult
development and aging. New York : Prentice-Hall. |
HORNER, K.L., RUSHTON, J.P. & VERNON, P.A. (1986).
Relation between aging and research productivity of
academic psychologists. Psychology & Aging, 1,
319–324. |
|
ROWE, J.W. & KAHN, R.L. (1987). Human aging : Usual
and successful. Science, 237, 143-149. |
VERHAEGHEN, P. & CERELLA, J. (2002). Aging, executive
control, and attention : a review of meta-analyses. Neuroscience
& Biobehavioral Reviews, 26, 849-857. [PDF] |
WOODRUFF-PAK, D.S. (1988). Psychology and aging. Englewood
Cliffs, NJ : Prentice Hall. |
LI, K.Z.H. & LINDENBERGER U. (2002). Relations between
aging sensory/sensorimotor and cognitive functions. Neuroscience
& Biobehavioral Reviews, 26, 777-783. |
WINGFIELD, A., STINE, A.L., LAHAR, C.J. & ABERDEEN,
J.S. (1988). Does the capacity of working memory change
with age ? Experimental Aging Research, 14, 103-107. |
MINKLER, M. & FADEM, P. (2002). "Successful aging": A
disabil- ity perspective. Journal of Disability
Policy Studies, 12, 229-235. |
SHINN, T. (1988). Hiérarchie des chercheurs et formes de
recherches. Actes de la Recherche en Sciences
Sociales, 74, 2–-22.
|
|
 |
ANDERSON, N.B. (1988). Aging and hypertension in Blacks :
A multidimensional perspective. In J. Jackson (Ed.), The
black American elderly : Research on physical &
psychosocial health (pp. 190-214). New York :
Springer Publishing Company. |
|
HASHER, L. & ZACKS, R.T. (1988). Working memory,
comprehension, and aging : A review and a new view. In
G.H. Bower (Ed.), The psychology of learning and
motivation (Vol. 22, pp. 193-225). San Diego, CA :
Academic Press. |
STRAWBRIDGE, W.J. & WALLHAGEN, M. I. (2003).
Self-reported successful aging : Correlates and
predictors. In L.W. Poon, S.H. Gueldner & B. Sprouse
(Eds.), Successful aging and adaptation with chronic
diseases in older adulthood (pp. 1-24). New York :
Springer. |
SPINNLER, H., DELLA SALA, S., BANDERA, R. & BADDELEY,
A.D. (1988). Dementia, ageing and the structure of human
memory. Cognitive Neuropsychology, 5, 193-211. |
HOOKER, K. & McADAMS, D.P. (2003). Personality
reconsidered : A new agenda for aging research. New
Directions in Aging Research, 58B (6), 296-304. [PDF] |
WILLIS, L. & YEO, R.A. (1988). Differential declines
in cognitive function with aging : The possible role of
health status. Developmental Neuropsychology, 4, 23-28. |
VERHAEGHEN, P. (2003). Aging and vocabulary scores : A
meta-analysis. Psychology & Aging, 18,
332–339. |
KROSNICK, J.A. & ALWIN, D.F. (1989). Aging and
susceptibility to attitude change. Journal of
Personality & Social Psychology, 57, 416-425. [PDF] |
McDANIEL M., EINSTEIN, G.O., STOUT, A.C. & MORGAN, Z.
(2003). Aging and maintaining intentions over delays : Do
it or lose it. Psychology & Aging, 8,
823-835. [PDF] |
CATTAN, R.A., BARRY, P.P., MEAD, G., REEFE, W.E., GAY, A.
& SILVERMAN, M. (1990). Electroconvulsive therapy in
octogenarians. Journal of the American Geriatrics
Society, 38 (7), 753-758. |
WOODRUFF-PAK, D.S. (2003). Aging and memory in animals. In
J.H. Byrne, H. Eichenbaum, H. Roediger & R.F. Thompson
(Eds), Learning and memory (pp. 6-10). New York
: Macmillan Reference USA. |
ROWE, J.W. (1990). Toward successful aging : Limitation of
the morbidity as- sociated with "normal" aging. In Principles
of geriatric medicine and gerontology (pp.
138-141). New York : McGraw Hill. |
KNIGHT, T. & RICCIARDELLI, A. (2003). Successful aging
: Perceptions of adults aged between 70 and 101 years. International
Journal of Aging & Human Development, 56, 223–245. |
BIRREN, J.E. & SCHAIE, K.W. (1990). Handbook of
the psychology of aging. San Diego : Academic
Press. |
GREICIUS, M.D., SRIVASTAVA, G., REISS, A.L. & MENON,
V. (2004). Default-mode network activity distinguishes
Alzheimer’s disease from healthy aging : Evidence from
functional MRI. Proceedings of the National Academy of
Sciences, 101 (13), 4637-4642. [PDF] |
BURKE, D.M., MacKAY, D.G., WORTHLEY, J.S. & WADE, E.
(1991). On the tip of the tongue : What causes word
finding failures in young and older adults ? Journal
of Memory & Language, 30, 542-579. |
PHELAN, E.A., ANDERSON, L.A., LACROIX, A.Z. & LARSON,
E. B. (2004). Older adults' views of "successful aging" -
how do they compare with researchers' definitions ? Journal
of the American Geriatrics Society, 52, 211-216. |
CONNELLY, S.L., HASHER, L. & ZACKS, R.T. (1991). Age
and reading : The impact of distraction. Psychology
& Aging, 6 (4), 533-541. [PDF] |
KANFER, R. & ACKERMAN, P.L. (2004). Aging, adult
development, and work motivation. Academy of
Management Review, 29, 440-458. [PDF] |
BENTIN, S., HAMMER, R. & CAHAN, S. (1991). The effects
of aging and first year schooling on the development of
phonological awareness. Psychological Science, 2,
271-274. |
|
HASHER, L., STOLZFUS, E.R., ZACKS, R.T. & RYMPA, B.
(1991). Age and inhibition. Journal of Experimental
Psychology : Learning, Memory, & Cognition, 17
(1), 163-169. [PDF] |
HAWKLEY, L.C. & CACIOPPO, J.T. (2004). Stress and the
aging immune system. Brain, Behavior & Immunity,
18, 114-119. [PDF] |
HARTMAN, M. & HASHER, L. (1991). Aging and suppression
: Memory for previously relevant information. Psychology
& Aging, 6 (4), 587-594. [PDF] |
LEFRANÇOIS, R. (2004). Les nouvelles frontières de
l'âge. Montréal : Presses de l'Université de
Montréal. |
GERARD, L., ZACKS, R.T., HASHER, L. & RADVANSKY, G.A.
(1991). Age deficits in retrieval : The fan effect.
Journal of Gerontology : Psychological Sciences, 46,
131-136. [PDF] |
AMERCIAN PSYCHOLOGICAL ASSOCIATION (2004). Guidelines for
psychological practice with older adults. American
Psychologist, 59, 236-260. |
SALTHOUSE, T.A. (1991). Cognitive facets of aging well. Generations,
15, 35-38. |
SIMONS, J.S., DODSON, C.S., BELL, D. & SCHACTER, D.L.
& (2004). Specific and partial source memory in aging
: Links to executive function. Psychology & Aging,
19, 689-694. |
 |
McFARLAND, C., ROSS, M. & GILTROW, M. (1992). Biased
recollections in older adults : The role of implicit
theories of aging. Journal of Personality &
Social Psychology, 62, 837-850. |
WEST, R.L. (2004). The effects of aging on controlled
attention and conflict processing in the Stroop task. Journal
of Cognitive Neurocience, 16 (1), 103-113. |
EINSTEIN, G.O., HOLLAND, L.J., McDANIEL, M.A. & GYNN,
M.J. (1992). Age-related deficits in prospective memory :
The influence of task complexity. Psychology &
Aging, 7, 471-478. |
SEKULER, R., KAHANA, M.J., McLAUGHLIN, C., GOLOMB, J.D.
& WINGFIELD, A. (2005). Preservation of episodic
visual recognition memory in aging. Experimental
Aging Research, 31, 1-13. [PDF] |
WENGER, G.C. (1992). Help in old age : Facing up to
change. Liverpool, U.K. : Institute of Human
Ageing, Liverpool University Press. |
JACOBY, L.L., BISHARA, A.J., HESSELS, S. & TOTH, J.P.
(2005). Aging, subjective experience, and cognitive
control : Dramatic false remembering by older adults.
Journal of Experimental Psychology : General, 134, 131-148.
|
SILVER, C.B. (1992). Personality structure and aging
style. Journal of Aging Studies, 6 (4),
333-350. |
|
CONNELLY, S.L. & HASHER, L. (1993). Aging and the
inhibition of spatial location. Journal of
Experimental Psychology : Human Perception &
Performance, 19, 1238-1250. [LIRE] |
MARTIN, N. et ALAPHILIPPE, D. (2005). Pressions sociales
et vieillissement : le conformisme chez des sujets âgés. Bulletin
de Psychologie, 478, 447-454. [PDF] |
MISHARA, B.L. et RIEDEL, R.G. (1994). Le
vieillissement. Paris : Presses universitaires de
France. |
BOPP, K.L. & VERHAEGHEN, P. (2005). Aging and verbal
memory span : a meta-analysis. The Journals of
Gerontology Series B : Psychological Sciences &
Social Sciences, 60, 223-233. [PDF] |
VAN DER LINDEN, M. et HUPET, M. (1994). Le
vieillissement cognitif. Paris : Presses
Universitaire de France. |
HESS, T.M., GERMAIN, C.M., ROSENBERG, D.C., LECLERC, C.M.
& HODGES, E.A. Aging-related selectivity and
susceptibility to irrelevant affective information in the
construction of attitudes. Aging, Neuropsychology
& Cognition, 12, 149-174. |
CANADIAN STUDY OF HEALTH AND AGING WORKING GROUP. (1994).
Canadian study of health and aging : Study methods and
prevalence of dementia. Canadian Medical Association
Journal, 150, 899-913. |
VERHAEGHEN, P. & BASAK, C. (2005). Aging and switching
of the focus of attention in working memory : Results from
a modified N-Back task. Quarterly Journal of
Experimental Psychology (A), 58, 134-154. [PDF]
|
KANE, M.J., HASHER, L., STOLTZFUS, E.R., ZACKS, R T. &
CONNELLY, S.L. (1994). Inhibitory attentional mechanisms
and aging. Psychology & Aging, 9, 103-112. [PDF] |
SIEDLECKI, K.L., SALTHOUSE, T.A. & BERISH, D.E.
(2005). Is there anything special about the aging of
source memory ? Psychology & Aging, 20 (1),
19-32. |
SHIMAMURA, A.P. & JURICA, P.J. (1994). Memory
interference effects and aging : findings from a test of
frontal lobe function. Neuropsychology, 5,
408-412. |
MATHER, M. & CARSTENSEN, L.L. (2005). Aging and
motivated cognition : the positivity effect in attention
and memory. Trends in Cognitive Sciences, 9, 296-502. |
SALTHOUSE, T.A. & MEINZ, E.J. (1995). Aging,
inhibition, working memory, and speed. Journal of
Gerontology : Psychological Sciences, 50B, 297-306. |
DASELAAR S.M., VELTMAN, D.J., ROMBOUTS, S.A.R.B.,
RAAIJMAKERS, J.G.W. & JONKER, C. (2005). Aging affects
both perceptual and lexical/semantic components of word
stem priming : An event-related fMRI study. Neurobiology
of Learning & Memory, 83, 251-262. |
CARLSON, M.C., HASHER, L., ZACKS, R.T. & CONNELLY,
L.S. (1995). Aging, distraction, and the benefits of
predictable location. Psychology & Aging, 10, 427-436.
[PDF] |
LEMAIRE, P. et BHERER, L. (2005). Psychologie du
vieillissement : une perspective cognitive. De
Boeck Éditeur. |
FERRANTE, L.S. & WOODRUFF-PAK, D.S. (1995).
Longitudinal investigation of eyeblink classical
conditioning in the old-old. Journal of Gerontology :
Psychological Science, 50B, 42-50. |
RENAUD, M. et BHERER, L. (2005). L'impact de la condition
physique sur le vieillissement cognitif. Psychologie
et NeuroPsychiatrie du Vieillissement, 3 (3),
199-206. [PDF] |
RUUSKKANEN, J.M. & RUOPPILA, I. (1995). Physical
activity and psychological well-being among people aged 65
to 84 years. Age & Ageing, 24 (4), 292-296. |
|
WOODRUFF-PAK, D.S. & FINKBINER, R.G. (1995). Larger
nondeclarative than declarative deficits in learning and
memory in human aging. Psychology & Aging, 10,
416-426. |
VERHAEGHEN, P., CERELLA, J. & BASAK, C. (2006). Aging,
task complexity, and efficiency modes : The influence of
working memory involvement on age differences in response
times for verbal and visuospatial tasks. Aging,
Neuropsychology & Cognition, 13 (2), 254-280. |
BIGLER, E.D., JOHNSON, S.C., JACKSON, C. & BLATTER,
D.D. (1995). Aging, brain size, and IQ. Intelligence,
21, 109-119. |
JACOBY, L.L. & RHODES, M.G. (2006). False remembering
in the aged. Current Directions in Psychological
Science, 15, 49-53. [PDF] |
SALTHOUSE, T.A., FRISTOE N. & RHEE, S.H. (1996). How
localized are age-related effects on neuropsychological
measures ? Neuropsychology, 10, 272–285. |
WEST, R.L. & SCHARWB, H. (2006). The influence of
aging and frontal function on the neural correlates of
regulative and evaluative aspects of cognitive control. Neuropsychology,
20 (4), 468-481. |
SCHAIE, K.W. (1996). Adulthood and old age. In T. Husen
& T.N. Postlewaithe (Eds.), International
encyclopedia of education (pp. 163-168). Oxford :
Pergamon Press. |
PIOLINO, P., CLARYS, D., TACONNAT, L., ISINGRINI, M.,
DESGRANGES, B., GUILLERY-GIRARD, B. & EUSTACHE, F.
(2006). Autobiographical memory, autonoetic consciousness,
and self-perspective in aging. Psychology &
aging, 21 (3), 510–525.
[PDF] |
WEST, R.L. (1996). An application of prefrontal cortex
functioning theory to cognitive aging. Psychological
Bulletin, 120 (2), 272-292. [PDF] |
KRAMER, A.F., FABIANI, M. & COLOMBE, S.J. (2006).
Contributions of cognitive neuroscience to the
understanding of behavior and aging. In J.E. Birrem &
K.W. Schaie (Eds.). Handbook of the psychology of
aging (pp. 57-83). Academic Press. |
 |
BALTES, P. & GRAF, P. (1996). Psychological aspects of
aging : Facts and frontiers. In D. Magnusson (Ed.),
The lifespan development of individuals : Behavioral,
neurobiological, and psychological perspectives : A
synthesis (pp. 427-460). New York : Cambridge
University Press. |
COLCOMBE, S.J., ERICKSON, K.I., SCALF, P.E., KIM, J.S.,
PRAKASH, R., MCAULEY, E., ELAVSKY, S., MARQUEZ, D.X., HU,
L. & KRAMER, A.F. (2006). Aerobic exercise training
increases brain volume in aging humans. Journal of
Gerontology : Medical Sciences, 61, 1166-1170. |
BAYEN, U.T. & MURNANE, K. (1996). Aging and the use of
perceptual and temporal information in source memory
tasks. Psychology & Aging, 11, 293-303. |
|
ALDWIN, C.M., SUTTON K. J., CHIARA, G. & SPIRO, A.
(1996). Age differences in stress, coping, and appraisal :
Findings from the normative aging study. Journal of
Gerontology, 51B (4), 179-188. |
VITIELLO, M.V. (2006). Sleep in normal aging. Sleep
Medicine Clinics, 1, 171-176. [PDF] |
NEUGARTEN, B.L. (1996). New perspectives on aging and
social policy. In D.A. Neugarten (Ed.), The meanings
of age : Selected papers of Bernice L. Neugarten
(pp. 366-376). Chicago : University of Chicago Press. |
RYAN, J.D., SHEN, J. & REINGOLD, E.M. (2006).
Modulation of distraction in ageing. British Journal
of Psychology, 97, 339-351. |
KRAMER, A.F. & LARISH, J. (1996). Aging and dual-task
performance. In W. Rogers, A.D. Fisk & N. Walker
(Eds.), Aging and skilled performance (pp.
83-112). Hillsdale, NJ : Erlbaum. |
VERHAEGHEN, P. & HOYER, W.J. (2007). Aging, focus
switching and task switching in a continuous calculation
task : Evidence toward a new working memory control
process. Aging, Neuropsychology & Cognition, 14,
22-39. |
STOLZFUS, E.R., HASHER, L. & ZACKS, R.T. (1996).
Working memory and aging : Current status of the
inhibitory view. In J.T.E. Richardson (Ed.),
Counterpoints in cognition : Working memory and human
cognition (pp. 66-68). Oxford, UK : Oxford
University Press.
[PDF] |
HAWKLEY, L.C. & CACIOPPO, J.T. (2007). Aging and
loneliness : Downhill quickly ? Current Directions in
Psychological Science, 16, 187-191. [PDF] |
POLICH, J. (1997). On the relationship between EEG and
P300: Individual differences, aging, and ultradian
rhythms. International Journal of Psychophysiology,
26, 299-317. |
DODSON, C.S., BAWA, S. & SLOTNICK, S.D. (2007). Aging,
source memory, and misrecollections. Journal of
Experimental Psychology : Learning, Memory &
Cognition. 33, 169-181. |
GROSS, J.J., CARSTENSEN, L.L., PASUPATHI, M., TSAI J.L.,
GOTTESTAM, K. & HSU, A.Y.C. (1997). Emotion and aging
: Changes in experience, expression, and control. Psychology
& Aging, 12, (4), 590-599.
[PDF] |
DODSON, C.S., BAWA, S. & KRUEGER, L.E. (2007). Aging,
metamemory and high confidence errors : A misrecollection
account. Psychology & Aging, 22, 122-133. |
MARR, M.J. (1997). Behavioral pharmacology and aging. In
A.D. Fisk. (Ed). Wendy A. Rogers (Eds.), Handbook of
human factors and the older adult. (pp. 171-197).
San Diego, CA, US : Academic Press. |
ROEDIGER, H.L. & GERACI, L. (2007). Aging and the
misinformation effect : A neuropsychological analysis. Journal
of Experimental Psychology : Learning, Memory &
Cognition, 33, 321-334.
[PDF] |
|
MOODY H. R. & SASSER, J.R. (2012). Aging :
Concepts & controversies. Thousand Oaks, CA :
Pine Forge Press. |
|
TACONNAT, L., CLARYS, D., VANNESTE, S., BOUZZAOUI, B.
& ISINGRINI, M. (2007). Aging and strategic retrieval
in a cued-recall test : The role of executive functions
and fluid intelligence. Brain & Cognition, 64
(1), 1-6. |
|
MALLLOY, P., CORREIA, S., STEBBINS, G. & LAIDLAW, D.H.
(2007). Neuroimaging of white matter in aging and
dementia. The Clinical Neuropsychogist, 21 (1),
73=109. |
|
BAARS, J. (2007). A triple temporality of aging :
Chronological measurement, personal experience, and
narrative articulation. In J. Baars & H. Visser
(Eds.), Aging and time : Multidisciplinary
perspectives (pp. 15-42). Amityville, NY : Baywood. |
BURKE, D.M. & MACKAY, D.G. (1997). Memory, language,
and ageing. Philosophical Transactions of the Royal
Society of London, B Series (Biological Sciences), 352,
1845- 1856. |
VERHAEGHEN, P. & HOYER, W.J. (2007). Aging, focus
switching, and task switching in a continuous calculation
task : Evidence toward a new working memory control
process. Aging, Neuropsychology & Cognition, 14 (1),
22-39. |
VERHAEGHEN, P. & SALTHOUSE, T.A. (1997). Meta-analyses
of age-cognition relations in adulthood : Estimates of
linear and non-linear age effects and structural models. Psychological
Bulletin, 122, 231-249. |
COPELAND, D.E. & RADVANSKY, G.A. (2007). Aging
and integrating spatial mental models. Psychology
& Aging, 22, 569-579. |
 |
ROWE, J.W. & KAHN, R.L. (1997). Successful aging.
Gerontologist, 37 (4), 433-40. [PDF] |
MAMMARELLA, N., FAIRFIELD, B. & CORNOLDI, C. (2007).
Does music enhance cognitive performance in healthy older
adults ? The Vivaldi effect. Aging Clinical &
Experimental Research, 19 (5), 394-399. [PDF] |
RADVANSKY, G.A. & CURRIEL, J.M. (1998). Narrative
comprehension and aging : The fate of completed goal
information. Psychology & Aging, 13, 69-79. |
CORNOLDI, C., BASSANI, C., BERTO, R. & MAMMARELLA, N.
(2007). Aging and the intrusion superiority effect in
visuo-spatial working memory. Aging Neuropsychology
& Cognition 14 (1), 1-21. |
|
BIGGS, S. (2008). Aging in a critical world : the search
for generational intelligence. Journal of Aging
Studies, 22 (2), 115-119. |
BELLEVILLE, S., ROULEAU, N. & CAZA, N. (1998). Effect
of normal aging on the manipulation of information in
working memory. Memory & Cognition, 26, 572-583. |
VAUGHAN, L., BASAK, C., HARTMAN, M. & VERHAEGHEN, P.
(2008). Aging and working memory inside and outside the
focus of attention : Dissociations of availability and
accessibility. Aging, Neuropsychology & Cognition,
15, 1-22. |
|
ROSSEN, E.K., KNAFL, K.A. & FLOOD, M. (2008). Older
women's percep- tions of successful aging. Activities,
Adaptation, & Aging, 32 (2), 73-88. |
|
UTTL, B. (2008). Transparent meta-analysis of prospective
memory and aging. PLoS One, 3 (2), 1-31. [PDF] |
|
WEST, R.L., BAGWELL, D.K. & DARK-FREUDEMAN, A. (2008).
Self-efficacy and memory aging : the impact of a memory
intervention based on self-efficacy. Aging
Neuropsychology & Cognition 15 (3), 302-329 |
VERHAEGHEN, P. & De MEERSMAN, L. (1998). Aging and
negative priming : a meta-analysis. Psychology &
Aging, 13 (3), 435-444. |
SCHAIE, K.W. (2008). Historical processes and patterns of
cognitive aging. In S.M. Hofer & D.F. Alwin (Eds.), Handbook
on cognitive aging : Interdisciplinary perspective (pp.
368–383). Thousand Oaks, CA : Sage. |
|
BRAVER, T.S. & WEST, R.L. (2008). Working memory,
executive control, and aging. In F.I.M. Craik & T.A.
Salthouse, (Eds.), The handbook of aging cognition (pp.
311-372). New York : Psychology Press. |
|
HEALY, M.K., CAMPBELL, K.L. & HASHER, L. (2008).
Cognitive aging and increased distractibility : Costs and
potential benefits. In W.S. Sossin, J.C. Lacaille, V.F.
Castellucci & S. Belleville (Eds.), Progress in
brain research (pp. 353-363). Elsevier. |
|
LINEWEAVER, T.T., BERGER, A.K. & HERZOG, C. (2009).
Expectations about memory change across the life span are
impacted by aging stereotypes. Psychology &
Aging, 24 (1), 169-176. [PDF] |
|
KONTULA, O. & HAAVIO-MANNILA, E. (2009). The impact of
aging on human sexual activity and sexual desire.
Journal of Sex Research, 46, 46-56. |
|
HESS, T.M., LECLERC, C.M., SWAIM, E. & WEATHERBEE,
S.R. (2009). Aging and everyday judgments : The impact of
motivational and processing resource factors. Psychology
& Aging, 24 (3) 735-740. |
VERHAEGHEN, P. & DE MEERSMAN, L. (1998). Aging and the
Stroop effect : a meta-analysis. Psychology &
Aging, 13, 120–126. |
RADVANSKY, G.A., LYNCHARD, N.A. & Von HIPPEL, W.
(2009). Stereotype activation, inhibition, and aging.
Aging, Neuropsychology, & Cognition, 16, 22–32.
[PDF] |
ROWE, J.W. & KAHN, R.L. (1998). Successful aging.
New York : Random House |
TORRES, S. & HAMMARSTRÖM, G. (2009). Successful aging
as an oxymoron : Older people - with and without home-help
care-talk about what aging well means to them. International
Journal of Ageing & Later Life, 4, 23-54. |
|
FERRARO, K.F. & SHIPPEE, T.P. (2009). Aging and
cumulative inequality : How does inequality get under the
skin ? The Gerontologist, 49, 333-343. |
|
GRANT, A.M. & WADE-BENZONI, K. (2009). The hot and
cool of death awareness at work : Mortality cues, aging,
and self-protective and prosocial motivations. Academy
of Management Review, 34 (4), 600-622.
[PDF] |
LI, K.Z., HASHER, L., JONAS, D., RAHHAL, T.A. & MAY,
C.P. (1998). Distractibility, circadian arousal, and aging
: A boundary condition ? Psychology & Aging, 13,
574- 583. |
BRICKMAN, A.M. & STERN, Y. (2009). Aging and memory in
humans. Encyclopedia of Neuroscience, 1,
175-180. [PDF] |
|
SALTHOUSE, T.A. (2010). Major issues in cognitive
aging. New York : Oxford University Press. |
|
RADVANSKY, G.A., COPELAND, D.E. & VON HIPPEL, W.
(2010). Stereotype activation, inhibition, and aging. Journal
of Experimental Social Psychology, 46, 51-60. [PDF] |
|
LAGACÉ, M. (Dir.) (2010). L'âgisme : Comprendre et
changer le regard social sur le vieillissement.
Québec : Presses de l'Université Laval. |
KRAMER, A.F., HAHN, S. & GOPHER, D. (1999). Task
coordination and aging : Explorations of executive control
processes in the task switching paradigm. Acta
Psychologica, 101, 339-378. |
DEPP, C., VAHIA, I. & JESTE, D.V. (2010). Successful
aging : focus on cognitive and emotional health. Annual
Review of Clinical Psychology, 6, 527-550. |
WEST, R.L. (1999). Visual distraction, working memory, and
aging. Memory & Cognition, 27 (6), 1064-1072. |
PRUCHNO, R.A., WILSON-GENDERSON, M., ROSE, M. &
CARTWRIGHT, F. (2010). Successful aging : Early in uences
and contemporary characteristics. The Gerontologist,
50, 821-833. |
BELSKY, J. (1999). The psychology of aging.
Pacific Grove, CA : Brooks/Cole. |
FIOCCO, A.J. & YAFFE, K. (2010). Defining successful
aging : the importance of including cognitive function
over time. Archives of Neurology, 67 (7),
876-880. |
BAYEN, U.J. (1999). Aging and source monitoring of
characters in literary texts. Aging, Neuropsychology,
& Cognition, 6, 187-200. |
ROZANOVA, J. (2010). Discourse of successful aging in The
Globe & Mail : Insights from critical gerontology.
Journal of Aging Studies, 24, 213-222. |
 |
|
SALTHOUSE, T.A. (2010). Selective review of cognitive
aging. Journal of the International
Neuropsychological Society, 16, 754–760. [PDF]
|
|
BASAK, C. & VERHAEGHEN, P. (2011). Aging and switching
of the focus of attention in working memory : age
differences in item availability but not in item
accessibility. The Journals of Gerontology, Series B
: Psychological Sciences & Social Sciences, 66 (5),
519-526.
[PDF] |
|
McDANIEL, M.A. & EINSTEIN, G.O. (2011). The
neuropsychology of prospective memory in normal aging : A
componential approach. Neuropsychologia, 49,
2147-2155. [PDF] |
|
MALASPINA, L., WOODS, S.P., MOORE, D.J., DEPP, C.,
LETENDRE, S.L., JESTE, D., GRANT, I. & THE HIV
NEUROBEHAVIORAL RESEARCH PROGRAMS (HNRP) GROUP. (2011).
Successful cognitive aging in persons living with HIV
infection. Journal of Neurovirology, 17 (1),
110-119. [PDF] |
|
HARRIS, S.E. & DEARY, I.J. (2011). The genetics of
cognitive ability and cognitive ageing in healthy older
people. Trends in Cognitive Sciences, 15 (9),
388-394. [PDF] |
|
HÉBERT, R. (2012). L'assurance autonomie : une innovation
essentielle pour répondre aux défis du vieillissement. Revue
Canadienne sur le Vieillissement, 31 (1), 1-11. |
|
MOODY, H.R. & SASSER, J.R. (2012). Aging :
Concepts & controversies Thousand Oaks, CA :
Pine Forge Press. |
|
MAGLIANO, J.P., KOPP, K., McNENRNEY, M.W., RADVANSKY, G.A.
& ZACKS, J.M. (2012). Aging and perceived event
structure as a function of modality. Aging,
Neuropsychology, & Cognition, 19, 264-282. |
|
DEPP, C.A., HARMEL, A. & VAHIA, I.V. (2012).
Successful cognitive aging. Current Topics in
Behavioral Neurosciences, 10, 35–50. [PDF] |
|
DOYLE, K., WEBER, E., ATKINSON, J.H., GRANT, I., WOODS,
S.P. & THE HIV NEUROBEHAVIORAL RESEARCH PROGRAMS
(HNRP) GROUP. (2012). Aging, prospective memory, and
health-related quality of life in HIV infection. AIDS
Behavior, 16 (8), 2309-2318. [PDF] |
|
LIANG J. & LUO, B. (2012). Toward a discourse shift in
social gerontology : From successful aging to harmonious
aging. Journal of Aging Studies, 26, 327-334. |
|
KRAWIETZ, S.A., TEMPLIN, A.K. & RADVANSKY, G.A.
(2012). Aging and mind wandering during text
comprehension. Psychology & Aging, 27,
951-958. |
|
EINSTEIN, G.O., McDANIEL, M.A. & SCULLIN, M.
(2012). Prospective memory and aging : Understanding the
variability. In N. Ohta & M. Naveh-Benjamin (Eds.), Memory
and aging (pp. 153-179). New York : Psychology
Press.
|
|
FAGERSTRÖM, J. & AARSTEN, M. (2013). Successful ageing
and its relationship to contemporary norms : A critical
look at the call to "age well". Recherches
Sociologiques et Anthropologiques, 44, 51-73. |
|
VAN WAGENEN, A., DRISKELL, J. & BRADFORD, J. (2013).
"I'm still raring to go" : Successful aging among lesbian,
gay, bisexual, and transgender older adults. Journal
of Aging Studies, 27, 1-14. [PDF] |
|
MULLET, H.G., SCULLIN, M.K., HESS, T.J., SCULLIN, R.B.,
ARNOLD, K.M. & EINSTEIN, G.O. (2013). Prospective
memory and aging : Evidence for preserved spontaneous
retrieval with exact but not related cues. Psychology
& Aging, 28, 910-922. |
|
McKOON, G. & RATCLIFF, R. (2013). Aging and predicting
inferences : A diffusion model analysis. Journal of
Memory & Language, 68, 240-254. [PDF] |
|
QUADRAGNO, J. (2014). Aging and the life course. New
York : McGraw-Hill. |
|
KATZ, S. & CALASANTI, T. (2014). Critical perspectives
on successful aging : Does it "Appeal more than It
illuminates" ? The Gerontologist, 55 (1), 26-33.
[PDF] |
|
VERHAEGHEN, P. (2015). Aging and executive control :
Reports of a demise greatly exaggerated. Current
Direction in Psychoogical Science, 20 (3), 174-180.
[PDF] |
|
WALLACE, G.L, BUDGETT, J. & CHARLTON, R.A. (2016).
Aging and Autism Spectrum Disorder : Evidence from the
Broad Autism Phenotype. Autism Research, 9 (12),
1294-1303 |
CRAIK, F.I.M. & SALTHOUSE, T.A. (Eds.) (2000). The
handbook of aging and cognition. Mahwah, NJ :
Erlbaum. |
MARTIN, A.C. (2016). Aging and Society: Canadian
Perspectives. Canadian Studies in Population, 43 (1-2),
146. |
LIGHT, L. (2000). Memory changes in adulthood. In S.H.
Qualls & N. Abeles (Eds.), Psychology and the
aging revolution : How we adapt to longer life (pp.
73-97). Washington, DC : American Psychological
Association. |
STEWART, G.R., CHARLTON, R.A. & WALLACE, G.L. (2018).
Aging with elevated autistic traits : Cognitive
functioning among older adults with the broad autism
phenotype. Research in Autism Spectrum Disorders, 54,
27-36. |
|
GREENE, N.R. & NAVEH-BENJAMIN, M. (2022). Online
experimentation and sampling in cognitive aging research.
Psychology & Aging, 37 (1), 72-83. |
| |
Voir aussi Différence
d'âge, Vieil
adulte, Déclin
cognitif, Bien vieillir et
Âgisme |
| b |
INSTITUT DE LA STATISTIQUE DU QUÉBEC (2009). Perspectives
démographiques du Québec et régions, 2006-2056. Québec. |
RHEAULT, S. et POIRIER, J. (2012). Le vieillissement
démographique : de nombreux enjeux à déchiffrer. Québec
: Institut de la statistique du Québec. [PDF] |
 |
|
 |
Voir aussi Démographie |
 |
|
Vieillir : Vieilissement
(Bien/Bon) : = bon
vieillissement.
Successful aging.
| |
|
HAVIGHURST, R.J. (1961). Successful aging. The
Gerontologist, 1, 8-13. |
MINKLER, M. & FADEM, P. (2002). "Successful aging": A
disability perspective. Journal of Disability Policy
Studies, 12, 229-235. |
|
KAHN, R.L. (2002). On "successful aging and well-being :
Self-rated compared with Rowe and Kahn". The
Gerontologist, 42, 725-726. |
|
TORRES, S. (2002). Relational values and ideas regarding
"successful aging". Journal of Comparative Family
Studies, 33 (3), 417-430. |
|
STRAWBRIDGE, W.J. & WALLHAGEN, M. I. (2003).
Self-reported successful aging : Correlates and
predictors. In L.W. Poon, S.H. Gueldner & B. Sprouse
(Eds.), Successful aging and adaptation with chronic
diseases in older adulthood (pp. 1-24). New York :
Springer. |
|
KNIGHT, T. & RICCIARDELLI, A. (2003). Successful aging
: Perceptions of adults aged between 70 and 101 years. International
Journal of Aging & Human Development, 56, 223-245. |
PALMORE, E. (1979). Predictors of successful aging.
The Gerontologist, 19, 427-431. |
PHELAN, E.A., ANDERSON, L.A., LACROIX, A.Z. & LARSON,
E.B. (2004). Older adults' views of "successful aging" -
how do they compare with researchers' definitions ? Journal
of the American Geriatrics Society, 52, 211-216. |
|
MOODY, H.R. (2005). From successful aging to conscious
aging. In M.L. Wykle, P.J. Whitehouse & D.L. Morris
(Eds.), Successful aging through the lifespan :
Intergenerational Issues in health (pp. 55-68).
New York, NY : Springer. |
RYFF, C.D. (1982). Successful aging : A developmental
approach. The Gerontologist, 22, 209-214. |
ROSSEN, E.K., KNA, K.A. & FLOOD, M. (2008). Older
women's perceptions of successful aging. Activities,
Adaptation & Aging, 32, 73-88. |
ROWE, J.W. & KAHN, R.L. (1987). Human aging : Usual
and successful. Science, 237, 143-149. |
TORRES, S. & HAMMARSTRÖM, G. (2009). Successful aging
as an oxymoron : Older people - with and without home-help
care-talk about what aging well means to them. International
Journal of Ageing & Later Life, 4, 23-54. |
ROWE, J.W. (1990). Toward successful aging : Limitation of
the morbidity associated with "normal" aging. In
Principles of geriatric medicine and gerontology (pp.
138-141). New York : McGraw Hill. |
ROZANOVA, J. (2010). Discourse of successful aging in The
Globe & Mail : Insights from critical gerontology.
Journal of Aging Studies, 24, 213-222. |
BALTES, M.M. & CARSTENSEN, L.L. (1996). The process of
successful ageing. Ageing & Society, 16, 397-422. |
PRUCHNO, R.A., WILSON-GENDERSON, M., ROSE, M. &
CARTWRIGHT, F. (2010). Successful aging : Early infuences
and contemporary characteristics. The Gerontologist,
50, 821-833. |
ROWE, J.W. & KAHN, R.L. (1997). Successful aging.
Gerontologist, 37 (4), 433-440. [PDF] |
FIOCCO, A.J. & YAFFE, K. (2010). Defining successful
aging : the importance of including cognitive function
over time. Archives of Neurology, 67 (7),
876-880. |
|
HÉBERT, R. (2012). L'assurance autonomie : une innovation
essentielle pour répondre aux défis du vieillissement.
Revue Canadienne sur le Vieillissement, 31 (1),
1-11 |
|
LIANG J. & LUO, B. (2012). Toward a discourse shift in
social gerontology : From successful aging to harmonious
aging. Journal of Aging Studies, 26, 327-334. |
|
VAN WAGENEN, A., DRISKELL, J. & BRADFORD, J. (2013).
"I'm still raring to go" : Successful aging among lesbian,
gay, bisexual, and transgender older adults. Journal
of Aging Studies, 27, 1-14. [PDF] |
|
FAGERSTRÖM, J. & AARSTEN, M. (2013). Successful ageing
and its relationship to contemporary norms : A critical
look at the call to "age well". Recherches
Sociologiques et Anthropologiques, 44, 51-73. |
|
GILLEARD, C. (2013). Renaissance treatises on successful
aging". Ageing & Society, 33, 189-215 |
|
KATZ, S. (2013). Active and successful aging : Lifestyle
as a gerontological idea. Recherches sociologiques et
anthropologiques, 44, 33-49. |
|
KATZ, S. & CALASANTI, T. (2014). Critical perspectives
on successful aging : Does it "Appeal more than It
illuminates" ? The Geromtologist, 55 (1), 26-33.
[PDF] |
ROWE, J.W. & KAHN, R.L. (1998). Successful aging.
New York : Random House |
STOWE, J.D. & COONEY, T.M. (2015). Examining Rowe and
Kahn's concept of successful aging : Importance of taking
a life course perspective. Gerontologist, 55 (1),
43-50. [PDF] |
 |
| |
Voir aussi Différence
d'âge, Vieil
adulte, Déclin
cognitif et Âgisme |
|
 |
|
|
|
Vieta Eduard (Barcelone 1963-) : Psychiatre
espagnol et spécialiste de l'étude du trouble
bipolaire. Collaborateur de Angst,
Colom, Ghaemi et Perugi.
 |
VIETA, E. & PHILLIPS, M.L. (2007). Deconstructing
bipolar disorder: a critical review of its diagnostic
validity and a proposal for DSM-V and ICD-11. Schizophrenia
Bulletin, 33, 886-892.
|
VIETA, E. & SUPPES, T. (2008). Bipolar II disorder :
arguments for and against a distinct diagnostic entity.
Bipolar Disorders, 10, 163-178 |
VIETA, E., GUNTHER, O, LOCKLEAR, J., EKMAN, M.,
MILTENBURGER, C., CHATTERTON, M.L., ASTRÔM, M &
PAULSSON, B. (2011). Effectiveness of psychotropic
medications in the maintenance phase of bipolar disorder :
a meta-analysis of randomized controlled trials.
International Journal of Neuropsychopharmacology, 14,
1029-1049. |
VIETA, E., REINARARES, M. & ROSA, A.R. (2011). Staging
bipolar disorder. Neurotoxicity Research, 19, 279–285.
|
VIETA, E., BERK, M., SCHULZE, T.G., CARVALHO, A.F.,
SUPPES, T., CALABRESSE, J.R., GAO, K., MISKOWIAK, K.W.
& GRANDE, I. (2018). Bipolar disorders. Nature
Reviews Disease Primers 4,
|
 |
 |
|
Vietnam
: Pays. Vietnam,
Guerre du Vietnam et Incidents
du Golfe du Tonkin.
| |
|
HERMAN, E.S. (1966). America's vietnam policy : The
strategy of deception. Washington : Public Affairs
Press. |
PARK, C. (2000). Learning style preferences of secondary
english learners : Armenian, Hmong, Korean, Mexican, and
Vietnamese. The CATESOL Journal, 12 (1), 21-35.
[PDF] |
ELLSBERG, D. (1968). Papers on the war. New York
: Simon & Schuster. |
|
KEANE, T.M., ZIMERING, R.T. & CADDELL, J.M. (1985). A
behavioral formulation of posttraumatic stress disorder in
Vietnam veterans. The Behavior Therapist, 8, 9-12. |
VASTERLING, J.J., DUKE, L.M., BRAILEY, K., CONSTANS, J.I.,
ALLAIN, N. & SUTKER, P.B. (2002). Attention, learning,
and memory performances and intellectual resources in
Vietnam veterans : PTSD and no disorder comparisons. Neuropsychology,
16 (1), 5-14. [PDF] |
URSANO, R.J., WHEATHLEY, R., SLEDGE, W., RAHE, E. &
CARLSON, E. (1986). Coping and recovery styles in Vietnam
era prisoners of war. Journal of Nervous & Mental
Disease, 174, 707-714. |
ELLSBERG, D. (2002). Secrets : A memoir of Vietnam
and the Pentagon papers. New York : Viking Press. |
PITMAN, R.K., ORR, S.P., FORFUE, D.F., DE JONG, J.B. &
CLAIBORN, J.M. (1987). Psychophysiologic assessment of
posttraumatic stress disorder imagery in Vietnam combat
veterans. Archives of General Psychiatry, 44,
970-977. |
|
KAYLOR, J.A., KING, D.W. & KING, L.A. (1987).
Psychological effects of military service in Vietnam : A
meta-analysis. Psychological Bulletin, 102,
257-271. |
WARREN, W., MEMORY D. & BOLINGER, K. (2004). Improving
critical thinking skills in the United States survey
course : An activity for teaching the Vietnam war. History
Teacher, 37 (2), 193-209. |
VINOKUR, A., CAPLAN. R.D. & WILLIAMS, C.C. (1987).
Effects of recent and past stress on mental health :
Coping with unemployment among Vietnam veterans and
non-veterans. Journal of Applied Social Psychology,
17, 708-728. |
SHIN, L.M., ORR, S.P., CARSON, M.A., RAUCH, S.L., MACKLIN,
M.L., LASKO, N.B., MARZOL PETERS, P., METZGER, L.J.,
DOUGHERTY, D.D., CANNISTRARO, P.A., ALPERT, N.M.,
FISCHMAN, A.J. & PITMAN, R.K. (2004). Regional
cerebral blood flow in amygdala and medial prefrontal
cortex during traumatic imagery in male and female Vietnam
veterans with PTSD. Archives of General Psychiatry,
61, 168-176. [PDF]
|
KEANE, T.M., FAIRBANK, J.A., CADDELL, J.M. & ZIMERING,
R.T. (1989). Implosive (flooding) therapy reduces symptoms
of PTSD in Vietnam combat veterans. Behavior Therapy,
20 (2), 245-260. |
KASHDAN, T.B., FRUEH, B.C., KNAPP, R.G., HEBERT, R. &
MAGRUDER, K.M. (2006). Social anxiety disorder in veterans
affairs primary care clinics. Behaviour Research
& Therapy, 44, 233-247 [PDF]
|
GRAFMAN, J., JONES, B. & SALAZAR, A. (1990). Wisconsin
Card Sorting Test performance based on location and size
of neuroanatomical lesion in Vietnam veterans with
penetrating head injury. Perceptual & Motor
Skills, 71, 1120-1122. |
BATTY, G.D., GALE, C.R., MORTENSEN, L.H., LANGENBERG, C.,
SHIPLEY M.J. & DEARY, I.J. (2008). Pre-morbid
intelligence, the metabolic syndrome and mortality : the
Vietnam Experience Study. Diabetologia, 51,
436-443. |
KULKA, R.A., SCHLENGER, W.E., FAIRBANK, J.A., HOUGH, R.L.,
JORDAN, B.K., MAMAR, C.R. & WEISS, D.S. (1990). Trauma
and the Vietnam war generation. New York :
Brunner/Mazel. |
GALE, C.R., DEARY, I.J., BOYLE, S.H., BAREFOOT, J.,
MORTENSEN, H. & BATTY, G.D. (2008). Cognitive ability
in early adulthood and risk of 5 specific psychiatric
disorders in middle age : The Vietnam experience study.
Archives of General Psychiatry, 65 (12),
1410-1418. [PDF] |
ROBINS, N.L. (1993). Vietnam veterans rapid recovery from heroin addiction : A fluke or normal expectation ?
Addiction 88, 1041-1054. |
|
McNALLY, R.J. & SHIN, L.M. (1995). Association of
intelligence with severity of posttraumatic stress
disorder symptoms in Vietnam combat veterans. American
Journal of Psychiatry, 152, 936-938. |
NGUYEN, M.H. & KRUSE, A. (2012). A randomized
controlled trial of Tai chi for balance, sleep quality and
cognitive performance in elderly Vietnamese. Clinical
Interventions in Aging, 7, 185-190. |
ZATZICK, D.F., MARMAR, C.R., WEISS, D.S., BROWNER, W.S.,
METZLER, T.J., GOLDING, J.M., STEWART, A, SCHLENGER, W.E.
& WELLS, K.B. (1997). Post-traumatic stress disorder
and functioning and quality of life outcomes in a
nationally representative sample of male Vietnam veterans.
American Journal of Psychiatry, 154, 1690-1695. [PDF] |
WEISS, A., GALE, C.R., BATTY, G.D. & DEARY, I. (2013).
A questionnaire-wide association study of personality and
mortality: The Vietnam Experience Study. Journal of
Psychosomatic Research, 74 (6), 523-529. [PDF] |
ORR, S.P., LASKO, N.B., METZGER, L.J. & PITMAN, R.K.
(1997). Physiologic responses to non-startling tones in
Vietnam veterans with post-traumatic stress disorder. Psychiatry
Research, 73 (1-2), 103-107. |
|
KING, D.W., KING, L.A., FOY, D.W., KEANE, T.M. &
FAIRBANK, J.A. (1999). Posttraumatic stress disorder in a
national sample of female and male Vietnam veterans : Risk
factors, war-zone stressors, and resilience-recovery
variables. Journal of Abnormal Psychology, 108, 164-170. |
|
 |
|
|
|
Voir aussi Pays et Guerre
du Vietnam |
 |
|
|
|
|
|
Vigil
Jacob Miguel ( ) :
Psychologue évolutionniste américain, spécialisé dans
l'étude des émotions, de
la douleur et des différences
sexuelles. Étudiant de
Geary.
 |
VIGIL, J.M. (2008). Sex differences in affect behaviors,
desired social responses, and accuracy at understanding
the social desires of other people. Evolutionary
Psychology, 6 (3), 506-522.
[PDF] |
VIGIL, J.M. (2009). A socio-relational framework of sex
differences in the expression of emotion. Behavioral
& Brain Sciences, 32 (5), 375-407. [PDF] |
VIGIL, J.M. (2009). The socio-relational framework of
expressive behaviors as an integrative psychological
paradigm. Behavioral & Brain Sciences, 32
(5), 408-428. |
VIGIL, J.M., GEARY, D.C., GRANGER, D.A. & FLINN, M V.
(2010). Sex differences in salivary cortisol,
alpha-amylase, and psychological functioning following
Hurricane Katrina. Child Development, 81 (4),
1228-1240. [PDF] |
VIGIL, J.M. & STRENTH, C. (2014). No pain, no social
gains : A social-signaling perspective of human pain
behaviors. World Journal of Anesthesiology, 3
(1), 18-30. [PDF] |
 |
 |
|
Vigilance
: Attention
soutenue en l'absence de stimulation.
Vigilance et concentration.
Vigilance.
| |
|
BROADBENT, D.E. (1953). Noise, paced performance and
vigilance tasks. British Journal of Pschology, 44,
295-303. |
WESENTEN, N.J., BELENKY, G., KAUTZ, M., THORNE, D.R.,
REICHARDT, R.M. & BALKIN, T.J. (2000). Maintaining
alertness and performance during sleep deprivation :
Modafinil versus caffeine. Psychopharmacology, 159, 238-247. |
DEESE, J. (1955). Some problems in the theory of
vigilance. Psychological Review, 62, 359-368. |
BEAUMONT, M., BATEJAT, D., PIERARD, C., VAN BEERS, P.,
DENIS, J.B., COSTE, O., DOIREAU, P., CHAUFFARD, F.,
FRENCH, J. & LAGARDE, D. (2000). Slow release caffeine
and prolonged (64-h) continuous wakefulness : Effects on
vigilance and cognitive performance. Journal of Sleep
Research, 10, 265-276. |
HOLLAND, J.G. (1958). Human vigilance : The rate of
observing an instrument is controlled by the schedule of
signal detections. Science, 128, 61-63. |
|
BAKER, C.H. (1960). Observing behavior in a vigilance
task. Science, 132, 674-675. |
FREEMAN, D., GARETY, P.A. & PHILLIPS, M.L. (2000). An
examination of hypervigilance for external threat in
individuals with generalised anxiety disorder and
individuals with persecutory delusions using visual scan
paths. Quarterly Journal of Experimental Psychology,
53A, 549-567. |
SURWILLO, W.W. & QUITTER, R.E. (1964). Vigilance, age
and response time. American Journal of Psychology, 77,
540-620. |
|
COLQUHOUN, W.P. & BADDELEY, A.D. (1967). Influence of
signal probability during pretraining on vigilance
decrement. Journal of Experimental Psychology, 11,
153-155. |
OLSON, J.M. & JANES, L.J. (2002). Asymmetrical impact
: Vigilance for differences and self-relevant stimuli. European
Journal of Social Psychology, 32, 383-393. |
GEREB, G. (1975). Work psychology experiments to examine
the vigilance level of high school students. Magyar
Pszichologiai Szemle, 32, 56-66. |
KAMIMORI, G.H., JOHNSON, D. & THORNE, D. (2003).
Efficacy of multiple caffeine doses for maintenance of
vigilance during early morning operation. Sleep, 26,
196. |
BAUM, W.M. (1975). Time allocation in human vigilance. Journal
of the Experimental Analysis of Behavior, 23 (1),
45-53.
[PDF] |
KAMIMORI, G.H., JOHNSON, D., THORNE, D. & BELENSKY, G.
(2003). Multiple caffeine doses maintain vigilance during
early morning operations. Aviation, Space &
Environmental Medicine, 76 (11), 1046-1050. [PDF] |
ROYET, J.P. et SAUCIER, D. (1976). Ontogénèse du rythme
nyctéméral des états de vigilance chez le rat-kangourou
(Potorous apicalis). Physiology & Behavior, 17,
39-42. |
VUILLEUMIER, P. (2005). How brains beware : Neural
mechanisms of emotional attention. Trends in
Cognitive Sciences, 9, 585-594. [PDF] |
POULTON, E.C. (1977). Arousing stresses increase
vigilance. In R.R. Mackie (Ed.), Vigilance : theory,
operational performance, and physiologicalcorrelates
(pp. 423-459). New York : Plenum Press. |
|
RHODEWALT, F. & O'KEEFFE, J. (1986). Type A behavior,
field dependence and hypervigilance : toward increased
Type A. Motivation & Emotion, 10, 105-114. |
|
PRATTO, F. & JOHN, O.P. (1991). Automatic vigilance :
The attention-grabbing power of negative social
information. Journal of Personality & Social
Psychology, 61, 380-391. |
HELTON, W.S., MATTHEWS, G. & WARM, J.S. (2009). Stress
state mediation between environmental variables and
performance : The case of noise and vigilance. Acta
Psychologica, 130 (3), 204-213. |
PENETAR, D H., McCANN, U. & THORNE, D. (1993).
Caffeine reversal of sleepdeprivation effects on alertness
and mood. Psychopharmacology, 112, 359-365. |
SPERBER, D., CLÉMENT, F., HEINTZ, C., MASCARO, O.,
MERCIER, H., ORIGGI, G. & WILSON, D. (2010). Epistemic
vigilance. Mind & Language, 25 (4), 359-393.
[PDF] |
ALBERTS, S.C. (1994). Vigilance in young baboons : effects
of habitat, age, sex and maternal rank on glance rate. Animal
Behaviour, 47, 749-755. |
EVERS, E., DE VRIES, H., SPRUITJ, B.M. & STERCK,
E.H.M. (2012). Look before you leap - individual variation
in social vigilance shapes socio-spatial group properties
in an agent-based model. Behavioral Ecology &
Sociobiology, 66 (6), 931-945. [PDF] |
WHALEN, P.J. (1998). Fear, vigilance, and ambiguity :
Initial neuroimaging studies of the human amygdala. Current
Directions in Psychological Science, 7 (6),
177-188. |
|
FINE, B.J., KOBRICK, J.L., LIEBERMAN, H.R., MARLOWE, B.
RILEY, R.H. & THARION, W.J. (1994). Effects of
caffeine or diphenhydramine on visual vigilance. Psychopharmacology,
114, 233-238. |
|
 |
|
 |
Voir aussi Attention
et Concentration |
 |
|
|
|
|
|
Viki : Chimpanzé,
dressé et étudié par Hayes
et Hayes, à qui l'on a
tenté d'apprendre le langage
humain.
|
|
| |
HAYES, J.K. & HAYES, C. (1951). The intellectual
development of a home-raised chimpanzee. Proceedings
of the American Philosophical Society, 95 (2),
105-109. |
HAYES, J.K. & HAYES, C. (1951). The intellectual
development of a home-raised chimpanzee.
Bobbs-Merrill Company Inc. |
HAYES, J.K. & HAYES, C. (1952). Imitation in a
home-raised chimpanzee. Journal of Comparative
& Physiological Psychology, 45 (5), 450–459. |
HAYES, C. (1953). Viki et nous. Paris :
Hachette. |
 |
 |
|
Village
: Chez les humains,
peuplement organisé et
de faible densité d'un territoire
au sein de la
campagne. Village, ville et
campagne. Small town, rural.
| |
|
BURNS, T. (1950). Village, town and suburb. Cambridge
Journal, 4, 96-105. |
AMATO, P.R. (1983). Helping behavior in urban and rural
environments. Journal of Personality & Social
Psychology, 45, 571-586. |
KORTE C. & KERR, N. (1975). Response to altruistic
opportunities in urban and nonurban settings. Journal
of Social Psychology, 95, 183-184. |
AMATO, P.R. (1993). Urban-rural differences in helping
friends and family members. Social Psychology
Quarterly, 56, 249-262. |
RUSHTON, J.P. (1978). Urban density and altruism : Helping
strangers in a Canadian city, suburb, and small town. Psychological
Reports, 43, 987-990. |
BEGGS, J.J., HAINES, V.A. & HULBERT, J.S. (1996).
Revisiting the rural-urban contrast : Personal networks in
nonmetropolitan and metropolitan settings. Rural
Sociology, 61, 306-325. |
KORTE, C. (1980). Urban-nonurban differences in social
behavior and social psychological models of urban impact.
Journal of Social Issues, 36 (3), 29-51. |
SING, G.K. & SIAHPSUH, M. (2002). Increasing
rural-urban gradients in US suicide mortality, 1970-1997.
American Journal of Public Health, 92, 1161-1167.
[PDF] |
|
KUNTZ, K.M. & GUNDERSON, S.K. (2002). Non-normative
and pro-social conformity : A study of rural and urban
differences. Journal of Undergraduate Research, 5, 233-239.
[PDF] |
|
 |
Voir aussi urbain,
Banlieue, Campagne
et Ville |
 |
|
Villatte Matthieu :
Psychologue cognitivo-béhavioriste
français et spécialiste de la thérapie
d'acceptation et d'engagement. Collaborateur de Hayes
et Monestès.
 |
VILLATTE, M., SCHOLIERS, D. & FREIXA i BAQUÉ, E.
(2004). Learning optimal behavior in the Monty Hall
dilemma through exposure to contingencies. Acta
Comportamentalia, 12, 5-24. |
VILLATTE, M., MONESTES, J.L., McHUGH, L., FREIXA i BAQUÉ,
E. & LOAS, G. (2008). Assessing deictic relational
responding in social anhedonia : A functional aproach to
the development of theory of mind impairments. International
Journal of Behavioral Consultation & Therapy, 4
(4), 360-373. |
VILLATTE, M., MONESTES, J.L., McHUGH, L. & FREIXA i
BAQUÉ, E. (2009). Studying Theory of Mind through
Relational Frame Theory : A review of the literature on
deictic relational responding. Acta Comportamentalia,
17, 117-136. |
VILLATTE, M. et MONESTES, J.L. (2010). La théorie des
cadres relationnels : La place du langage dans la thérapie
d'acceptation et d'engagement/ Relational frame theory :
The place of language in acceptance and commitment
therapy. Revue Québécoise de Psychologie, 31
(3), 85-104. |
VILLATTE, M., MONESTES, J.L., McHUGH, L., FREIXA i BAQUÉ,
E. & LOAS, G. (2010). Adopting the perspective of
another in belief attribution : Contribution of relational
frame theory to the understanding of impairments in
schizophrenia. Journal of Behavior Therapy &
Experimental Psychiatry, 41, 125-134. |
|
HERBERT, J.D. & PADOVANI, F. (2015). Breaking the
ontology taboo : Reply to Monestès and Villatte.
Journal of Contextual Behavioral Science, 4,
235-236. |
 |
 |
|
Ville : Chez les humains,
peuplement dense et organisé
d'un territoire. Ville,
banlieue et
densité de la population. = cité.
/campagne.
City, town, urban environment, urbanization.
| |
|
ULLMAN, E.L. (1941). A theory of location for cities. American
Journal of Sociology, 853-864. |
KORTE, C. (1980). Urban-nonurban differences in social
behavior and social psychological models of urban impact.
Journal of Social Issues, 36 (3), 29-51. |
HARRIS, C.D. & ULLMAN, EL. (1945). The nature of
cities. Annals of the American Academy of Political
& Social Science, 242, 7-17. |
AMATO, P.R. (1983). Helping behavior in urban and rural
environments. Journal of Personality & Social
Psychology, 45, 571-586. |
BURNS, T. (1950). Village, town and suburb. Cambridge
Journal, 4, 96-105. |
AMATO, P.R. (1983). The helpfulness of urbanites and small
town dwellers : A test between two broad theoretical
positions. Australian Journal of Psychology, 35, 233-243. |
ULLMAN, E.L. & DACEY, M.F. (1954). The minimum
requirements approach to the urban economic base.
Regional Science Association, 6, 175-194. |
AMATO, P.R. (1983). The effects of urbanization on
interpersonal behavior. Journal of Cross-Cultural
Psychology, 14 (3), 353-367. |
WIRTH, L. (1969). Human Ecology. In In R. Sennett. (Ed.),
Classic essays on the cultures of cities. New
York : Appleton-Century- Crofts. |
AMATO, P.R. (1993). Urban-rural differences in helping
friends and family members. Social Psychology
Quarterly, 56, 249-262. |
MILGRAM, S. (1970). The experience of living in cities. Science,
167, 1461-1468. |
GOTTDIENER, M. (1994). The new urban sociology.
New York : McGraw-Hill. |
GLASS, D.C. & SINGER, J.E. (1972). Urban stress.
Experiments on noise and social stressors. New York
: Academic Press. |
BEGGS, J.J., HAINES, V.A. & HULBERT, J.S. (1996).
Revisiting the rural-urban contrast : Personal networks in
nonmetropolitan and metropolitan settings. Rural
Sociology, 61, 306-325. |
KORTE C. & KERR, N. (1975). Response to altruistic
opportunities in urban and nonurban settings. Journal
of Social Psychology, 95, 183-184. |
ESPOSITO, C. (1999). Learning in urban blight : School
climate and its effect on the school performance of urban,
minority, low-income children. School Psychology
Review, 28 (3), 365-377. |
HOCH, I. (1976). City size effects, trends and policies. Science,
193, 856-863. |
SING, G.K. & SIAHPSUH, M. (2002). Increasing
rural-urban gradients in US suicide mortality, 1970-1997.
American Journal of Public Health, 92, 1161-1167.
[PDF] |
BOE, R.B. (1977). Economical procedures for the reduction
of aggression in a residential setting. Mental
Retardation, 15, 25-28. |
KUNTZ, K.M. & GUNDERSON, S.K. (2002). Non-normative
and pro-social conformity : A study of rural and urban
differences. Journal of Undergraduate Research, 5, 233-239.
[PDF] |
RUSHTON, J.P. (1978). Urban density and altruism : Helping
strangers in a Canadian city, suburb, and small town. Psychological
Reports, 43, 987-990. |
SING, K. & AGRAWAL, P. (2007). Masculinity and
femininity among working women in Indian urban culture. Journal
of Human Ecology, 21 (2), 135-138. [PDF] |
KRUPAT, E. & GUILD, W. (1980). Defining the city : The
use of objective and subjective measures for community
description. Journal of Social Issues, 36 (3),
9-28. |
JUVONEN, J., NISHINA, A. & GRAHAM, S. (2006). Ethnic
diversity and perceptions of safety in urban middle
schools. Psychological Science, 17, 393-400. [PDF] |
|
WOLFINGER, N. & WILCOX, W. (2008). Happily ever after
? Religion, marital status, gender and relationship
quality in urban families. Social Forces, 86,
1311-1337. [PDF] |
|
VALEYEVA, A. F., NUGAYEV, M.A. (2014). Intellectual
potential of modern city : content, structure, functions
and main factors. Bulletin of Economics, Law &
sociology, 1, 134-137. |
|
QUILLIAN, L. & LAGRANGE, H. (2016). Socioeconomic
segregation in large cities in France and the United
States. Demography, 53 (4), 1051–1084. |
 |
| |
Voir aussi Banlieue,
Quartier,
Village et Campagne |
|
 |
|
|
|
Villeneuve Sylvia ( ) : Neuropsychologue
québécoise et spécialiste de l'étude de l'alzheimer,
de la réserve cognitivie et et du vieillissement cérébral.
Collaboratrice de Belleville.
 |
VILLENEUVE, S. BELLEVILLE, S., MASSOUD, F., BOCTI, C.
& GAUTHIER, S. (2009). Impact of vascular risk factors
and diseases on cognition in persons with mild cognitive
impairment. Dementia and Geriatric Cognitive
Disorders, 27, 375-381. |
VILLENEUVE, S. & BELLEVILLE, S. (2010). Cognitive
reserve and neuronal changes associated with aging.
Psychologie & NeuroPsychiatrie du Vieillissement, 8,
133-140. |
VILLENEUVE, S., MASSOUD, F., BOCTI, C., GAUTHIER, S. &
BELLEVILLE, S. (2011). The nature of episodic memory
deficits in MCI with and without vascular burden. Neuropsychologia,
49, 3027-3035. |
VILLENEUVE, S. & BELLEVILLE, S. (2012). The nature of
memory failure in mild cognitive impairment : examining
association with neurobiological markers and effect of
progression. Neurobiology of Aging, 33,
1967-1978. [PDF] |
VILLENEUVE, S. (2016). Cause of suspected non-alzheimer
disease pathophysiology : If not tau pathology, Then what
? Journal of American Association/Neurology, 73 (10),
1177-1179. |
 |
 |
|
Vin
: Wine.
| |
|
LEHRER, A. (1975). Talking about wine. Language, 51,
901-923. |
CHOLLET, S. et VALENTIN, D. (2000). Le degré d’expertise
a-t-il une influence sur la perception olfactive ?
Quelques éléments de réponse dans le domaine du vin. L'Année
Psychologique, 100, 11-36. |
LAWLESS, H.T. (1984). Flavor description of white wine by
"expert" and nonexpert wine consumers. Journal of
Food Science, 49, 120-123. |
VALENTIN, D., CHOLLET, S. et AADI, H. (2003). Les mots du
vin : Experts et novices diffrent-ils quand ils décrivent
des vins ? Corpus, 2,183-200. /The Science of
Food & Agriculture, 35, 558–568. [LIRE] |
MELCHER, J. & SCHOOLER, J.W. (1996). The
misremembrance of wines past : Verbal and perceptual
expertise differentially mediate verbal overshadowing of
taste. The Journal of Memory & Language, 35,
231-245. [PDF] |
PARR, W.V., HEATHERBELL, D.A. & WHITE, K.G. (2002).
Demystifying wine expertise : olfactory threshold,
perceptual skill, and semantic memory in expert and novice
wine judges. Chemical Senses, 27, 747-755. |
SOLOMON, G.E.A. (1997). Conceptual change and wine
expertise. The Journal of the Learning Sciences, 6
(1), 41-60. |
PARR, W.V., WHITE, K.G. & HEATHERBELL, D.A. (2004).
Exploring the nature of wine expertise : what underlies
wine experts’ olfactory recognition memory advantage ?
Food Quality & Preference, 15 (5), 411–420. |
GAWELL, R. (1997). The use of language by trained and
untrained experienced wine testers. Journal of
Sensory Studies, 12, 267-284. |
DILWORTH, J. (2008). Imaginative versus analytical
experiences of wines. In F. Allhoff (Ed.), Wine and
philosophy (pp. 81-94). New York : Blackwell. [PDF] |
|
BLAND, M. (2018). Diabetes, blood sugar and red wine A
personal study. Signifiance, 15 (1), 34-37. [PDF] |
|
 |
Voir aussi Boire,
Bièreet alcoolisme |
 |
|
Vinokur Amiram D. ( ) : Psychologie
organisationnel américain,
spécialisé dans l'étude du stress
et du cancer. Collaborateur
de Caplan.

 |
VINOKUR, A.D., THREATT, B.A, VINOKUR-KAPLAN, D. &
SATARIANO, W.A. (1990). The process of recovery from
breast cancer for younger and older patients : changes
during the first year. Cancer, 65, 1242-1254. |
VINOKUR, A.D. & VAN RYN, M. (1993). Social support and
undermining in close relationships : Their independent
effects on the mental health of unemployed persons.
Journal of Personality & Social Psychology, 65,
350-359. |
BOLGER N., FOSTER, M., VINOKUR, A.D. & NG, R. (1996).
Close relations and adjustment to breast cancer. Journal
of Personality & Social Psychology, 70,
283-294. |
WESTMAN, M. & VINOKUR, A.D. (1998). Unraveling the
relationship of distress levels within couples : Common
stressors, empathic reactions, or crossovers via social
interaction ? Human Relations, 51 (2), 137-156. |
VINOKUR, A.D. & SCHUL, Y. (2002). The web of coping
resources and pathways to reemployment following a job
loss. Journal of Occupational Health Psychology, 7 (1),
68-83. [PDF]
|
 |
 |
|
Vingt et un grammes : Hypothèse
formulée par MacDougal
en 1907 pour défendre la thèse de l'existence matérielle de l'esprit,
selon laquelle l'être humain perdrait 21 grammes au moment de sa mort,
perte qui suggère que l'esprit, qui quitte le corps, aurait un
poids équivalent. Pour MacDougal, cette perte montre clairement
que l'esprit est matériel (et donc qu'il existe). De nos jours, on
explique cette perte par le relâchement des gaz contenus dans les
intestins. Vingt et un grammes et esprit.
21 grams.
 
|
|
| |
MacDOUGAL, D. (1907). The soul : Hypothesis concerning
soul substance together with experimental evidence of the
existence of such substance. American Medicine, |
MacDOUGAL, D. (1907). Soul has weight, physician thinks. The
New York Times, 11 March, 5. |
|
|
Voir aussi Croyanceet
Esprit |
 |
|
Viol : Violer : Agression
sexuelle commise par un violeur et
qui consiste à utiliser la force ou la menace pour pénétrer ou
tenter de pénétrer (sans consentement) sa victime.
Plusieurs victimes de viol souffrent du
trouble de stress post-traumatique. Viol, victime
et agression
sexuelle. Rape, sexual abuse, rape
experience.

| |
|
AMIR, M. (1971). Patterns in forcible rape.
Chicago : University of Chicago Press. |
RUSSELL, D. (1990). Rape in marriage. New York :
Macmillan. |
GOLDNER, N.S. (1972). Rape as a heinous but understudied
crime. Journal of Criminal Law. Criminology &
Police Science, 63, 402-407. |
JENNY, C., HOOTON, T.M., BOWER, A, COPASS, M.K., KRIEGER,
J.N., HILLIER, S.L., KIVIAT, N. COREY, L., STAMM, W.E.
& HOLMES, K.K. (1990). Sexually transmitted diseases
in victims of rape. The New England Journal of
Medicine, 322 (11), 713-716. |
JONES, C. & ARONSON, E. (1973). Attribution of fault
to a rape victim as a function of respectability of the
victim. Journal of Personality & Social
Psychology, 26, 415-419. |
BROADHURST, R. (1990). Counting rapes : reporting and
recording practices in Western Australia. Criminology
Australia, 2 (1), 8-10. |
WEIS, K. & BORGES, S. (1973). Victimology and rape :
The case of the legitimate victim. Issues in
Criminology, 8,71-115. |
ESTREICH, S., FORSTER, G.E. & ROBINSON, A. (1990).
Sexually transmitted diseases in rape victims. Archives
of Genitourinary Medicine, 66 (6), 433-438. |
WOOD, P.L. (1973). The victim in a forcible rape case : A
feminist view. American Criminal Law Review, 2,
335-354. |
McMULLEN, R.J. (1990). Male rape : Breaking the
silence on the last taboo. London : GMP Publishers
Ltd. |
BARD, M. & ELLISON, C. (1974). Crisis intervention and
the investigation of forcible rape. The Police Chief,
5, 68-74. |
KLEINKE, C.L. & MEYER, C. (1990). Evaluation of rape
victim by men and women with high and low belief in a just
world. Psychology of Women Quarterly, 14,
343-353. |
BROWNMILLER, S. (1975). Against our will : Men,
women, and rape. New York : Simon and Schuster. |
FOA, E.B., ROTHBAUM, B.O. & RIGGS, D. (1991).
Treatment of posttraumatic stress disorder in rape victims
: A comparison between cognitive-behavioral procedures and
counseling. Journal of Consulting & Clinical
Psychology, 59, 715-723. |
SCROGGS, J.R. (1976). Penalties for rape as a function of
victim provocativeness, damage and resistance. Journal
of Applied Social Psychology, 6, 360-368. |
GENTRY, C.S. (1991). Pornography and rape : An empirical
analysis. Deviant Behavior, 12, 277-288. |
CALHOUN, L.G., SELBY, J.W. & WARRING, L.J. (1976).
Social perception of the victim's causal role in rape : An
exploratory examination of four factors. Human
Relations, 29 (15), 517-526. |
BRADY, E.C., CHRISLER, J.C., HOSDALE, D.C., OSOWIEEKI,
D.M. & VEAL, T.A. (1991). Date rape : Expectations,
avoidance strategies and attitudes toward victims.
Journal of Social Psychology, 13, 427-429. |
FULERO, S. & DELARA, C. (1976). Rape victims and
attributed responsibility : A defensive attribution
approach. Victimology, 1, 551-563. |
BOWNES, I.T., O'GORMAN, E.C. & SAYERS, A. (1991). Rape
: a comparison of stranger and acquaintance assaults.
Medical Science Law, 31 (2), 102-109. |
ABEL, G.G., BARLOW, D.H., BLANCHARD, E.B. & GUILD, D.
(1977). The components of rapists' sexual arousal. Archives
of General Psychiatry, 34, 895-903. |
KUTCHINSKY, B. (1991). Pornography and rape : theory and
practice ? Evidence from crime data in four countries
where pornography is easily accessible. International
Journal of Law & Psychiatry, 14, 47-64. |
GROTH, A.N., BURGESS, A.W. & HOLMSTROM, L.L. (1977).
Rape : power, anger, and sexuality. American Journal
of Psychiatry, 134, 1239-1243. |
KRAHE, B. (1991). Social psychological issues in the study
of rape. In I. Anderson (Ed.), Explaining negative rape
victim perception : Homophobia and the male rape victim. Current
Research in Social Psychology, 10, 43-57. |
KAHN, A., GILBERT, L.A., LATTA, R.M., DEUTSCH, C., HAGEN,
R., HILL, M., MCGAUGHEY, T., RYEN, A.H. & WILSON, D.W.
(1977). Attribution of fault to a rape victim as a
function of respectability of the victim : A failure to
replicate or extend. Representative Research in
Social Psychology, 8, 98-107. |
FOA, E.B., ROTHBAUM, B.O., RIGGS, D. & MURDOCK, T.B.
(1991). Treatment of posttraumatic stress disorder in rape
victims : A comparison between cognitive-behavioral
procedures and counseling. Journal of Consulting
& Clinical Psychology, 59, 715-723. |
KRULEWITZ, J. & PAYNE, E. (1978). Attributions about
rape : Effects of rapist force, observer sex and sex role
attitudes. Journal of Applied Social Psychology, 8,
291-305. |
POLLARD, P. (1992). Judgements about victims and attackers
in depicted rapes : A review. Journal of Social
Psychology, 31, 307-326. |
 |
ABEL, G.G., BLANCHARD, E.B. & BECKER, J.V. (1978). An
integrated treatment program for rapists. In R.T. Rada
(Ed.), Clinical aspects of the rapist. (pp.
161-214). New York : Grune et Stratton. |
CORNE, S., BRIÈRE, J. & ESSES, L. (1992). Women's
attitudes and fantasies about rape as a function of early
exposure to pornography. Journal of Interpersonal
Violence, 4, 454-461. |
FEILD, H.S. (1978). Attitudes towards rape : A comparative
analysis of police, rapists, crisis counsellors, and
citizens. Journal of Personality & Social
Psychology, 36, 156-179. |
CARTER, M. & WILSON, B. (1992). Rape : good and bad
women and judges. Alternative Law Journal, 17 (1),
6-9. |
BURGESS, A.W. & HOLMSTROM, L.L. (1978). Recovery from
rape and prior life stress. Research in Nursing &
Health, 1, 165-174. |
YOUNG, R.K. & THIESSEN, D. (1992). The Texas Rape
Scale. Ethnology & Sociobiology, 13, 19-33. |
LERNER, M.J. & MILLER, D.T. (1978). Just world
research and the attribution process : Looking back and
ahead. Psychological Bulletin, 85, 1030-1051. |
DONAT, P. & D'EMILIO, J. (1992). A feminist
redefinition of rape and sexual assault : Historical
foundations and change. Journal of Social Issues, 48,
(1), 9-22. |
FEILD, H.S. (1978). Juror background characteristics and
attitudes towards rape. Law & Human Behaviour, 2,
73-93. |
RESICK, P.A. (1993). The psychological impact of rape. Journal
of Interpersonal Violence, 8 (2), 223-225. |
PAULSEN, K. (1979). Attribution of fault to a rape victim
as a function of locus of control. Journal of Social
Psychology, 107, 131-132. |
WHATLEY, M.A. & RIGGIO, R.E. (1993). Gender
differences in attributions of blame for male rape
victims. Journal of Interpersonal Violence, 8, 502-511. |
BURGESS, A.W. & HOLMSTROM, L.L. (1979). Rape : Sexual
disruption and recovery. American Journal of
Orthopsychiatry, 49, 648-657. |
FOA, E.B., ROTHBAUM, B.O. & STEKETEE, G. (1993).
Treatment of rape victims. Journal of Interpersonal
Violence, 8, 256-276. |
GROTH, A.N. & BIRNBAUM, B.A. (1979). Men who pape
: The psychology of the offender. New York :
Plenum. |
FOA, E.B. & RIGGS, D. (1993). Post-traumatic stress
disorder in rape victims. In J. Oldham, M.B. Riba & A.
Tasman, (Eds.), Annual review of psychiatry (Vol.
12, pp. 273-303). Washington, DC : American Psychiatric
Association. |
ELLIS, E.M., ALHOUN, K.S. & ATKENSON, B.M. (1980).
Sexual dysfunction in victims of rape. Women &
Health, 5, 39-47. |
SCOTT, C.S., LEFLEY, H.P. & HICKS, D. (1993).
Potential risk factors for rape in three ethnic groups. Community
Mental Health Journal, 29, 133-141. |
MORGAN, R. (1980). Theory and practice : Pornography and
rape. In L.J. Lederer (Ed.), Take back the night
(pp. 134-140). New York : William Morrow. |
ALLISON, J. & WRIGHTMAN, L. (1993). Rape : The
misunderstood crime. Thousand Oaks, CA : Sage. |
BURT, M.R. (1980). Cultural myths and support for rape. Journal
of Personality & Social Psychology, 38,
217-230. |
JENSEN, G.F. & KAPROS, M.M. (1993). Managing rape :
Exploratory research on the behavior of rape statistics. Criminology,
31, 363-385. |
GROTH, A.N. & BURGESS, A.W. (1980). Male rape :
Offenders and victims. American Journal of
Psychiatry, 13 (7), 806-810. |
FRAZIER, P.A. & SCHAUBEN, L. (1994). Causal
attributions and recovery from rape and other stressful
life events. Journal of Social & Clinical
Psychology, 12, 1-14. |
KAUFMAN, A., DIVASTO, P., JACKSON, R., VOORHEES, D. &
CHRISTY, J. (1980). Male rape victims : Noninstitutional
assault. American Journal of Psychiatry, 137,
221-223. |
MULLER, R.T., CALDWELL, R.A. & HUNTER, J.E. (1994).
Factors predicting the blaming of victims of physical
child abuse or rape. Canadian Journal of Behavioural
Science, 26, 259-279. |
|
LONSWAY, K.A. & FITZGERALD, L.F. (1994). Rape myths :
In review. Psychology of women quarterly 18 (2),
133-164. |
LUGINBUHL, J. & MULIN, C. (1981). Rape and
responsibility : How and how much is the victim blamed ? Sex
Roles, 7, 547-559. |
RICE, M.E., CHAPLIN, T.C., HARRIS, G.T. & COUTTS, J.
(1994). Empathy for the victim and sexual arousal among
rapists and nonrapists. Journal of Interpersonal
Violence, 9, 435-449. |
CALHOUN, L.G., CANN, A., SELBY, J.W. & MAGEE, D.L.
(1981). Victim emotional response : Effects on social
reaction to victims of rape. British Journal of Social
Psychology, 20, 17-21. |
BELL, S.T., KURILOFF, P.J. & LOTTES, I. (1994).
Understanding attributions of blame in stranger rape and
date rape situations : An examination of gender, race,
identification and students'social perceptions of rape
victims. Journal of Applied Social Psychology, 24, 1719-1734. |
TIEGER, T. (1981). Self-rated likelihood of raping and the
social perception of rape. Journal of Research in
Personality, 15, 147-158. |
PERSE, L.M. (1994). Uses of erotica and acceptance of rape
myths. Communication Research, 21, 488-515. |
NORRIS, J. & FELDMAN-SUMMERS, S. (1981). Factors
related to the psychological impact of rape on the victim.
Journal of Abnormal Psychology, 90, 562-567. |
WARD, C. A. (1995). Attitudes toward rape : Feminist
and Social-Psychological Perspectives. London :
Sage Publications. |
|
LONSWAY, K.A. & FITZGERALD, L.F. (1995). Attitudinal
antecedents of rape myth acceptance : A theoretical and
empirical reexamination. Journal of personality &
social psychology 68 (4), 704-711.
[PDF] |
MALAMUTH, N. (1981). Rape fantasies as a function of
repeated exposure to sexual violence. Archives of
Sexual Behavior, 10, 33-47. |
SIROIS, F. (1995). Le fantasme de viol. Canadian
Journal of Psychanalysis, 3, 223-253. |
SCHWARTZ, J., WILLIAMS, H. & PEPITONE-ROCKWELL, F.
(1981). Construction of a rape awareness scale. Victimology,
6 (1-4), 110-119. |
VANWIE, A. & GROSS, A. (1995). Females' perception of
date rape : An examination of two contextual variables.
Violence Against Women, 1, 351-366. |
KILPATRICK, D.G., RESICK, P.A. & VERONEN, J.L. (1981).
Effects of a rape experience : A longitudinal study. Journal
of Social Issues, 37 (4), 105-122. |
COWAN, G. & CAMPBELL, R. (1995). Rape causal attitudes
among adolescents. The Journal of Sex Research, 32 (2),
145-153. |
KRULEWITZ, J.E. (1982). Reactions to rape victims :
Effects of rape circumstances, victim's emotional
response, and sex of helper. Journal of Applied
Social Psychology, 9, 645-654. |
WEISZ, M.G. & EARLS, C.M. (1995). The effects of
exposure to filmed sexual violence on attitudes toward
rape. Journal of Interpersonal Violence, 10,
71-84. |
 |
L'ARAMAND, K. & PEPITONE, A. (1982). Judgments of rape
: A study of victim rapist relationship and victim sexual
history. Personality & Social Psychology
Bulletin, 8, 134-139. |
WHATLEY, M.A. (1996). Victim characteristics influencing
attributions of responsibility to rape victims : A meta-
analysis. Aggression & Violent Behaviour, 1,
81-95. |
DEITZ, S., BLACKWELL, K., DALEY, P. & BENTLEY, B.
(1982). Measurement of empathy toward rape victims and
rapists. Journal of Personality & Social
Psychology, 43, 372-384. |
MUEHLENHARD, C.L., DANOFF-BURG, S. POWCH, I.G. (1996). Is
rape sex or violence ? Conceptual issues and
complications. In D. M. Buss & N. M. Malamuth (Eds.),
Sex, power, conflict evolutionary and feminist
perspectives (pp. 119-137). New York : Oxford
University Press. |
RICHARDSON, D. & CAMPBELL, J.L. (1982). Alcohol and
rape : The effect of alcohol on attributions of blame for
rape. Personality & Social Psychology Bulletin,
8, 468-476. |
BRYDEN, D. & LENGNICK, S. (1997). Criminal law : Rape
in the criminal justice system. Journal of Criminal
Law & Criminology, 87, 1194-1384. |
BENEKE, T. (1982). Men on rape. New York : St.
Martin's Press. |
STORMO, K. & LANG, A. (1997). Attributions about
acquaintance rape : The role of alcohol and individual
differences. Journal of Applied Social Psychology,
27, 279-306. |
|
CAMPBELL, R. (1998). The community response to rape :
Victims' experiences with the legal, medical, and mental
health systems. American Journal of Community
Psychology, 26, 355-379. |
ATKESON, B.M., CALHOUN, K.S., RESICK, P.A. & ELLIS,
E.M. (1982). Victims of rape : Repeated assessment of
depressive symptoms. Journal of Consulting &
Clinical Psychology, 50, 96-102. |
FOA, E.B. & ROTHBAUM, B.O. (1998). Treating the
trauma of rape : Cognitive-behavioral therapy for PTSD.
New York : Guilford Press. |
CHECK, J.V.P. & MALAMUTH, N.M. (1983). Sex role
stereotyping and reactions to depictions of stranger
versus acquaintance rape. Journal of Personality &
Social Psychology, 45, 344-356. |
QUINSEY, V.L., KHANNA, A. & MALCOLM, B. (1998). A
retrospective evaluation of the Regional Treatment Centre
Sex Offender Treatment Program. Journal of
Interpersonal Violence, 13, 621-644. |
BOWKER, L.H. (1983). Marital rape : a distinct syndrome ?
Social Casework, 64 (6), 347-352. |
RUSSELL, D.E.H. (1998). Dangerous relationships :
Pornography, misogyny, and rape. Thousand Oaks, CA
: Sage. |
SHOTLAND, R.L. & GOODSTEIN, L. (1983). «Just because
she doesn't want to doesn't mean it's rape : an
experimentally based causal model of the perception of
rape in a dating situation». Social Psychology
Quarterly, 46 (3), 220-232. |
DIAMOND, M. & UCHIYAMA, A. (1999). Pornography, rape
and sex crimes in Japan. International Journal of Law
& Psychiatry, 22, 1-22. |
WYDRA, A., MARSHALL, W.L., EARLS, C.M. & BARBAREE,
H.E. (1983). Identification of cues and control of sexual
arousal by rapists. Behaviour Research & Therapy,
21, 469-476. |
SINCLAIR, H.C. & BOURNE, L.E. (1998). Cycle of blame
or just world : Effects of legal verdict on gender
patterns in rape myth acceptance and victim empathy. Psychology
of Women Quarterly, 22, 575-588. |
|
PAYNE, D.L., LONSWAY, K.A. & FITZGERALD, L.F. (1999).
Rape myth acceptance : Exploration of its structure and
its measurement using theIllinois rape myth acceptance
scale. Journal of Research in Personality, 33 (1),
27-68.
|
THORTON, B. & RYCKMAN, R.M. (1983). The influence of a
rape victim's physical attractiveness on observer's
attributions of responsibility. Human Relations, 34,
225-237. |
YESCAVAGE, K. (1999). Teaching women a lesson : Sexually
aggressive and sexually nonaggressive men's perceptions of
acquaintance and date rape. Violence Against Women, 5,
796-812. |
FINE, M. (1983). Coping with rape : Critical perspectives
on consciousnes. Imagination. Cognition, &
Personality, 3 (3), 249-267. |
WORKMAN, J E. & FRREBURG, E.W. (1999). An examination
of date rape, victim dress, and perceiver variables within
the context of attribution theory. Sex Roles, 41,
261-278. |
SCOTT, D. & HEWITT, L. (1983). Short term adjustment
to rape and the utilisation of a sexual assault
counselling service. Australian & New Zealand
Journal of Criminology, 16, 93-105. |
AHRENS, C.E. & CAMPBELL, R. (2000). Assisting rape
victims as they recover from rape : The impact on friends.
Journal of Interpersonal Violence, 15, 959-986. |
GILMARTIN-ZENA, P. (1983). Attribution theory and rape
victim responsibility. Deviant Behaviour, 4, 357-374. |
THORNHILL, R. & PALMER, C.T. (2000). Why men rape. The
Sciences, 40, 30-36. |
FELDMAN-SUMMERS, S. & NORRIS, J. (1984). Differences
between rape victims who report and those who do not
report to a public agency. Journal of Applied Social
Psychology, 14 (6), 562-573. |
EIGENBERG, H.M. (2000). Correctional officers and their
perceptions of homosexuality, rape, and prostitution in
male prisoners. The Prison Journal, 80 (4),
415-433. |
VAN NESS, S.R. (1984). Rape as instrumental violence : A
study of youth offenders. Journal of Offender
Counseling, Services & Rehabilitation, 9 (1),
161-170. |
THORNHILL, R. & PALMER, C.T. (2000). A natural
history of rape : Biological bases of sexual coercion. MIT
Press. |
WILLIAMS, J.E. (1984). Secondary victimisation :
Confronting public attitudes about rape. Victimology :
An International Journal, 9, 66-81. |
ROUSSEL, D.E. & BOLEN, R. (2000). The epidemic of
rape and child sexual abuse in the United States.
Thousand Oaks, CA : Sage Publications. |
|
CAMPBELL, R., WASCO, S.M., AHRENS, C.E., SEFL, T. &
BARNES, H.E. (2001). Preventing the "second rape" : rape
survivors' experiences with community service providers. Journal of Interpersonal Violence, 16, 1239-1259. |
FRANK, E. & STEWART, B.D. (1984). Depressive symptoms
in rape victims : A revisit. Journal of Affective
Disorders, 7, 77-85. |
ROTHBAUM, B.O., FOA, E.B., KOZAK, M.J. & WHITAKER,
D.J. (2001). Posttraumatic stress disorder in rape victims
: Autonomic habituation to auditory stimuli. Journal
of Traumatic Stress, 14 (2), 283-293. |
|
CAMPBELL, R. AHRENS, C.E., SRFL, T., WASCO, S.M. &
BARNES, H.E. (2001). Social reactions to rape victims :
Healing and hurtful effects on psychological and physical
health outcomes. Violence & Victims, 16,
287-302. |
CARMODY, M. (1984). The fear of rape. Social
Alternatives, 4 (3), 21-22. |
WASCO, S.M. & CAMPBELL, R. (2002). Emotional reactions
of rape victim advocates : A multiple case study of anger
and fear. Psychology of Women Quarterly, 26,
120-130. |
|
WASCO, S.M., CAMPBELL, R.L. & CLARK, M.L. (2002). A
multiple case study of rape victim advocates' self care
routines : The influence of organizational context. American
Journal of Community Psychology, 30, 731-760. |
WILLIAMS, L.S. (1984). The classic rape : When do victims
report ? Social Problems, 31, 459-467. |
LISAK, D. & MILLER, P.M. (2002). Repeat rape and
multiple offending among undetected rapists. Violence
& Victims, 17, 73-84. |
RUSSELL, D.E.H. (1984). Sexual Exploitation : Rape,
childsexua labuse and workplace harassment. Thousand
Oaks, CA : Sage Publications. |
COTTON, A., FARLEY, M. & BARON, R. (2002). Attitudes
toward prostitution and acceptance of rape myths. Journal
of Applied Social Psychology, 32 (9), 1790-1796. |
BODENHAUSEN, G.V. (1984). Cognitive mediators of reactions
to rape. Journal of Personality & Social
Psychology, 48 (2), 324-338. |
BURT, D.L. & DEMELLO, L.R. (2002). Attribution of rape
blame as a function of victim gender and sexuality, and
perceived similarity to the victim. Journal of
Homosexuality, 43 (2), 39-57. |
BRIERE, J., MALAMUTH, N. & CHECK, J. (1985). Sexuality
and rape-supportive beliefs. International Journal of
Women's Studies, 8, 398-403. |
CAMPBELL, R. (2002). Emotionally involved : The impact
of researching rape. New York : Routledge. |
WYER, R.S., BODENHAUSEN, G.V. & GORMAN, T.F. (1985).
Cognitive mediators of reactions to rape. Journal of
Personality & Social Psychology, 48, 324-338. |
TOBACH, E. & REED, R. (2003). Understanding rape. In
C.B. Travis (Ed.), Evolution, gender, and rape
(pp. 105-138). Cambridge, MA : The MIT Press. |
QUINSEY, V.L. & UPFOLD, D. (1985). Rape completion and
victim injury as a function of female resistance strategy.
Canadian Journal of Behavioural Science, 17,
40-50. |
WASCO, S.M. (2003). Conceptualizing the harm done by rape
: Applications of trauma theory to experiences of sexual
assault. Trauma, Violence, & Abuse, 4,
309-322. |
|
CAMPBELL, R., SEFL, T. & AHRENS, C.E. (2003). The
physical health consequences of rape : Assessing
survivors' somatic symptoms. Women's Studies
Quarterly, 31, 90-104. |
WARR, M. (1985). Fear of rape among urban women. Social
Problems, 32, 238–250. |
FRESE, B., MOYA, M. & MEGIAS, J.L. (2004). Social
perception of rape : How rape myth acceptance modulates
the influence of situational factors. Journal of
Interpersonal Violence, 19, 143-161. |
SEGAL, Z.V. & MARSHALL, W.L. (1985). Heterosexual
social skills in a population of rapists and child
molesters. Journal of Consulting & Clinical
Psychology, 53, 55-63. |
CAMPBELL, R., SEFL, T. & AHRENS, C.E. (2004). The
impact of rape on women's sexual health risk behaviors. Health
Psychology, 23, 67-74. |
LIZOTTE, A.J. (1985). The uniqueness of rape : Reporting
assaultive violence to the police. Crime &
Delinquency, 31, 169-190. |
NAGEL, B., MATSUO, H., MCINTYRE, K. P. & MORRISON, N.
(2005). Attitudes towards victims of rape : Effects of
gender, race, religion and social class. Journal of
Interpersonal Violence, 20, 725 737. |
 |
KANIN, E.J. (1985). Date rapists : Differential sexual
socialization and relative deprivation. Archives of
Sexual Behavior, 14, 219-231. |
BEAUREGARD, E., LUSSIER, P. & PROULX, J. (2005). The
role of sexual interests and situational factors on
rapists' modus operandi : Implications for offender
profiling. Legal & Criminological Psychology, 10
(2), 265-278. |
CHECK, J. & MALAMUTH, N. (1985). Sex role stereotyping
and reactions to depictions of stranger versus acquintance
rape. Journal of Personality & Social Psychology,
45 (2), 344-356.
[PDF] |
BUCHWALD, E., FLETCHER, P. & ROTH, M. (Eds.) (2005).
Transforming a rape culture. Milkweed Editions. |
KANEKAR, S., PINTO, N.J.P. & MAZUMDAR, D. (1985).
Causal and moral responsibility of victims of rape and
robbery. Journal of Applied Social Psychology, 7, 622-637. |
WALKER, J., ARCHER, J. & DAVIES, M. (2005). Effects of
rape on male survivors : A descriptive analysis. Archives
of Sexual Behaviour, 34, 69-80. |
EARLS, C.M. & PROULX, J. (1986). The differentiation
of francophone rapists and non-rapists using penile
circumference measures. Criminal Justice &
Behavior, 13 (4), 419-429. |
LALUMIÈRE, M.L., HARRIS, G.T., QUINSEY, V.L. & RICE,
M.E. (2005). The causes of rape : Understanding
individual differences in male propensity for sexual
aggression. American Psychological Association. |
GIRELLI, S.A., RESICK, P.A., MARHOEFER-DVORAK, S. &
HUTTER, C.K. (1986). Subjective distress and violence
during rape : their effects on long-term fear. Victims
& Violence, 1 (1), 35-46. |
|
BARNETT, M.A., TETREAULT, P.A., ESPER, J.A. & BRISTOW,
A.R. (1986). Similarity and empathy : The experience of
rape. Journal of Social Psychology, 126, 47-49. |
CAMPBELL, R. & WASCO, S.M. (2005). Understanding rape
and sexual assault : 20 years of progress and future
directions. Journal of Interpersonal Violence, 20 (1),
127-131. [PDF]
|
OVERHOLSER, J.C. & BECK, S. (1986). Multimethod
assessment of rapists, child molesters, and three control
groups on behavioral and psychological measures. Journal
of Consulting & Clinical Psychology, 54 (5),
682-687. |
PROULX, J. et SAUVÊTRE, N. (2005). Meurtriers sexuels et
violeurs : Aspects psychopathologiques. Dans J. Proulx, M.
Cusson, E. Beauregard et A. Nicole (Dirs.), Les
meurtriers sexuels : Analyse comparative et nouvelles
perspectives (p. 81-108). Montréal : Presses de
l’Université de Montréal. |
BATEMAN, A.W. (1986). Rape : the forgotten victim.
British Medical Journal, 292, 1306. |
WALP, G.A. & WALDEN, U. (2006). The missing link
between pornography and rape : Convicted rapists respond
with validated truth. Dissertation Abstracts
International Section A : Humanities & Social
Sciences, 66 (7-A), 2734. |
STERMAC, L.E. & QUINSEY, V.L. (1986). Social
Competence among rapists. Behavioral Assessment, 8, 171-185. |
STORMO, K., LANG, A.R. & STRITZKE, G.K.R. (2006).
Attributions about acquaintance rape : the role of alcohol
and individual differences. Journal of Applied Social
Psychology, 27, 279-305. |
MEYER, C.D. & TAYLOR, S.E. (1986). Adjustment to rape.
Journal of Personality & Social Psychology, 50, 1226-1234. |
CAMPBELL, R. (2006). Rape survivors' experiences with the
legal and medical systems : Do rape victim advocates make
a difference ? Violence Against Women, 12, 1-16. |
HALL, E.R., HOWARD, J.A. & BOEZIO, S.L. (1986).
Tolerance of rape : A sexist or antisocial attitude ?
Psychology of Women Quarterly, 10, 101 118. |
ULLMAN, S.E. & TOWNSEND, S.M. (2007). Barriers to
working with sexual assault survivors : A qualitative
study of rape crisis center workers. Violence Against
Women, 13, 412-443. |
YEGIDIS, B.L. (1986). Date rape and other forced sexual
encounters among college students. Journal of Sex
Education & Therapy, 12, 51-54. |
SIMS, C.M., NOEL, N. & MAISTO, S.A. (2007). Rape blame
as a function of alcohol presence and resistance type. Addictive
Behaviors, 32, 2766-2775. |
STERMAC, L.E. & QUINSEY, V.L. (1986). Social
competence among rapists. Behavioral Assessment, 8, 171-185. |
ULLMAN, S.E. (2007). A 10-year update on "Review and
critique of empirical studies of rape avoidance". Criminal
Justice & Behavior, 34, 411-429. |
BARNETT, M.A., TETRAULT, P.A., ESPER, J.A. & BRISTOW,
A.R. (1986). Similarity and empathy : The experience of
rape. Journal of Social Psychology, 126, 47-49. |
|
GREENDLINGER, V. & BYRNE, D. (1987). Coercive sexual
fantasies of college men as predictors of self-reported
likelihood to rape and overt sexual aggression.
Journal of Sex Research, 23, 1-11. |
MARTIN, E.K., TAFT, C.T. & RESICK, P.A. (2007). A
review of marital rape. Aggression & Violent
Behavior, 12 (3). |
BARON, L. & SRAUSS, M.A. (1987). Four theories of
rape in American society : A State-level analysis.
New Haven : Yale University Press. |
DILL, K.E., BROWN, B.P. & COLLINS, M.A. (2008).
Effects of media stereotypes on sexual harassment
judgments and rape supportive attitudes : Popular video
game characters, gender, violence and power. Journal
of Experimental Social Psychology, 44, 1402-1408. [PDF]
|
WIRTZ, P.W. & HARRELL, A.V. (1987). The effects of
threatening versus nonthreatening previous life events on
levels of fear in rape victims. Violence &
Victims, 2 (2), 89-98. |
MCKIBBIN, W.F., SHACKELFORD, T.K., GOETZ, A.T. &
STARRATT, V.G. (2008). Why do men rape ? An evolutionary
psychological perspective. Review of General
Psychology, 12, 86-97. |
KOSS, M.P. (1988). Hidden rape : Sexual aggression and
victimization in a national sample of students in higher
education. In A.W. Burgess (Ed.), Rape and sexual
assault II (pp. 3-25). New York : Garland. |
CHAPLEAU, K.M., OSWALD, L. & RUSSELL, B.L. (2008).
Male rape myths : The role of gender, violence, and
sexism. Journal of Interpersonal Violence, 23
(5), 600-615. |
SCOTT, J.E. & SCHWALM, L.A. (1988). Pornography and
rape : An examination of adult theater rates and rape
rates by state. In J.E. Scott & T. Hirschi (Eds.), Controversial
issues in crime and justice (pp. 40-53). Beverly
Hills, CA : Sage. |
DILL, K.E., BROWN, B.P. & COLLINS, M.A. (2008).
Effects of media stereotypes on sexual harassment
judgments and rape supportive attitudes : Popular video
game characters, gender, violence and power. Journal
of Experimental Social Psychology, 44, 1402-1408.
[PDF] |
WARD, C. (1988). The attitudes toward rape victims scale :
Construction, validation and cross-cultural applicability.
Psychology of Women Quarterly, 12, 127-146. |
CAMPBELL, R. (2008). The psychological impact of rape
victims' experiences with the legal, medical, and mental
health systems. American Psychologist, 68,
702-717. |
 |
MUEHLENHARD, C.L. (1988). Misinterpreted dating behaviours
and the risk of date rape. Journal of Social &
Clinical Psychology, 6, 20-37. |
|
MARSHALL, W.L. (1988). The use of sexually explicit
stimuli by rapists, child molesters and non-offenders. Journal
of Sex Research, 25 (2), 267-288. |
VICKERMAN, K.A. & MARGOLIN, G. (2009). Rape treatment
outcome research : Empirical findings and state of the
literature. Clinical Psychology Review, 29 (5),
431-448. |
SCOTT, J.E. & SCHWALM, L.A. (1988). Rape rates and the
circulation rates of adult magazines. The Journal of
Sex Research, 24, 241-250. |
FERGUSON, C.J. & HARTLEY, R.D. (2009). The pleasure is
momentary... the expense damnable ? The influence of
pornography on rape and sexual assault. Aggression
& Violent Behavior, 14, 323-329.
[PDF] |
KRAHE, B. (1988). Victim and observer characteristics as
determinants of responsibility attributions to victims of
rape. Journal of Applied Social Psychology, 18,
50-58. |
|
WARD, C. (1988). The attitudes toward rape victims scale :
Construction, validation and cross-cultural applicability.
Psychology of Women Quarterly, 12, 127-146. |
|
KOSS, M.P., DINERO, T.E., SEIBEL, C.A. & COX, S.L.
(1988). Stranger and acquaintance rape. Psychology of
Women Quarterly, 12, 1-24. |
GRUBB, A.R. & HARROWER, J. (2009). Understanding
attribution of blame in cases of rape : An analysis of
participant gender, type of rape and perceived similarity
to the victim. Journal of Sexual Aggression, 15
(1), 63-81. [PDF] |
KANEKAR, A.M. & NAZARETH, A.M. (1988). Attributed rape
victim's fault as a function of her attractiveness,
physical hurt, and emotional disturbance. Social
Behaviour, 3, 37-40. |
|
BREKKE, N. & BORGIDA, E. (1988). Expert psychological
testimony in rape trials : A social cognitive analysis. Journal
of Personality & Social Psychology, 55,
372-386. |
|
JOHNSON, J.D. & JACKSON, L.A. (1988). Assessing the
effects of factors that might underlie the differential
perception of acquaintance and stranger rape. Sex
Roles, 19, 37-45. |
|
MUEHLENHARD, C.L. (1988). Misinterpreted dating behaviours
and the risk of date rape. Journal of Social &
Clinical Psychology, 6, 20-37. |
|
GERDES, E.P., DAMMANN, E.J. & HEILIG, K.E. (1988).
Perceptions of rape victims and assailants : Effects of
physical attractiveness, acquaintance, and subject gender.
Sex Roles, 19, 141-153. |
ZURBRIGGEN, E.L. (2010). Rape, war, and the socialization
of masculinity: Why our refusal to give up war ensures
that rape cannot be eradicated. Psychology of Women
Quarterly, 35, 538-549. |
FRANK, E., ANDERSON, B., STEWART, B.D., DANCU, C., HUGHES,
C. & WEST, D. (1988). Efficacy of cognitive behavior
therapy and systematic desensitization in the treatment of
rape trauma. Behavior Therapy, 19, 403-420. |
SLEATH, E. & BULL, R. (2010). Male rape victim and
perpetrator blaming. Journal of Interpersonal
Violence, 25 (6), 969-988. |
MARGOLIN, L., MILLER, M. & MORAN, P.B. (1989). When a
kiss is not just a kiss : Relating violations of consent
in kissing to rape myth acceptance. Sex Roles, 20, 231-243. |
BIENECK, S. & KRAHÉ, B. (2011). Blaming the victim and
exonerating the perpetrator in cases of rape and robbery :
Is There a double standard ? Journal of Interpersonal
Violence 26 (9) 1785-1797. [PDF] |
QUAKENBUSH, R.L. (1989). A comparison of androgynous,
masculine sex-typed and undifferentiated males on
dimensions of attitudes toward rape. Journal of
Research in Personality, 23, 318-342. |
RUTHERFORD, A. (2011). Sexual violence against women :
Putting rape research in context. Psychology of Women
Quarterly, 35 (2), 342-347. [PDF] |
|
DELISI, M. (2015). Rape, murder! it’s just a shot away. Journal
of Criminal Justice, 43, 152-153. |
ELLIS, L. (1989). Theories of rape : Inquiries into
the causes of sexual aggression. Levittown, PA :
Hemisphere Publishing. |
BODUSZEK, D., DEBOWSKA, A., DHINGRA, K. & DELISI, M.
(2016). The effect of male incarceration on rape myth
acceptance : Application of propensity score matching
technique. Deviant Behavior, 37 (6), 634-643. |
BRIDGES, J.S. & MCGRAIL, C.A. (1989). Attributions of
responsibility for date and stranger rape. Sex Roles,
21, 273-286. |
CAMPBELL, R. Pierce, S.J., SHARM, D.B., FEENEY, H. &
Fehler-Cabral, G. (2016). Should rape kit testing be
prioritized by victim-offender relationship? An empirical
comparison of forensic testing outcomes for stranger and
non-stranger sexual assaults. Criminology &
Public Policy, 15, 555-583. |
KOSS, M.P., DINERO, T.E., SEIBEL, C.A. & COX, S.L.
(1989). Stranger and acquaintance rape : Are there
differences in the victim's experience ? Psychology
of Women Quarterly, 12, 1-24. [PDF] |
FEENEY, H., CAMPBELL, R. & CAIN, D. (2018). "Do you
wish to prosecute the person who assaulted you ?"Untested
sexual assault kits and victim notification of rape
survivors assaulted as adolescents. Victims &
Offenders, 13, 651-674. |
MISHKIN, B.D. (1989). Date rape : terror from a friend. Australian
Police Journal, 43 (4), 155-1557. |
|
BATEMAN, A.W. (1989). Helping the partners of rape
victims. Journal of Marital & Sexual Therapy, 4 (1),
5-9. |
|
 |
| |
Voir aussi Prostitution,
Victime, Trouble
de stress post-traumatique et Agression
sexuelle |
|
 |
|
Viol
(Mariage/Couple)
: Viol commis par
l'un des deux partenaires sexuelles d'un couple,
au sein d'un mariage
ou non.
| |
|
BOWKER, L.H. (1983). Marital rape : a distinct syndrome ?
Social Casework, 64 (6), 347-352. |
WEINGOURT, R. (1985). Wife rape : Barriers to
identification and treatment. American Journal of
Psychotherapy, 39 (2), 187-192. |
YEGIDIS, B.L. (1988). Wife abuse and marital rape among
women who seek help. Affilia, 3 (1), 62-68. |
YLLO, K. & LECLERC, D. (1988). Marital rape. In A.L.
Horton & J.A. Williamson (Eds.), Abuse and
religion : When praying isn't enough (pp. 48-57).
Lexington, MA : Lexington Books. |
SULLIVAN, J.P. & MOSHER, D.L. (1990). Acceptance of
guided imagery of marital rape as a function of macho
personality. Violence & Victims, 5 (4),
275-286. |
RUSSELL, D. (1990). Rape in marriage. New York :
Macmillan. |
|
 |
Voir aussi Viol |
 |
|
Viol
(Phantasme/Fanstasme) :
Fantasies about rapes, rape fantasies.
| |
|
MALAMUTH, N. (1981). Rape fantasies as a function of
repeated exposure to sexual violence. Archives of
Sexual Behavior, 10, 33-47. |
CORNE, S., BRIERE, J. & ESSES, L.M. (1992). Women's
attitudes and fantasies about rape as a function of early
exposure to pornography. Journal of Interpersonal
Violence, 7 (4), 454-461. |
| |
 |
Voir aussi Viol |
 |
|
Viol
(Culture) : Société ou sous-culture
qui banalise le viol (ou sa simulation) et
ses conséquences, déresponsabilise ou protège les agresseurs,
tout en culpabilisant leur victime.
culture, rape supportive attitudes.
| |
|
HERMAN, D.F. (1994). The rape culture. In J. Freeman
(Ed.), Women : A feminist perspective. Mcgraw
Hil.[PDF]
|
BUCHWALD, E., FLETCHER, P. & ROTH, M. (Eds.) (2005).
Transforming a rape culture. Milkweed Editions. |
DILL, K.E., BROWN, B.P. & COLLINS, M.A. (2008).
Effects of media stereotypes on sexual harassment
judgments and rape supportive attitudes : Popular video
game characters, gender, violence and power. Journal
of Experimental Social Psychology, 44, 1402-1408. [PDF]
|
|
 |
Voir aussi Viol |
 |
|
Violence : Ensemble des comportements
agressifs qu'une
société ou un groupe considère comme anormal et, dans certains
cas, condamnable, surtout lorsque cette violence s'exprime à
l'endroit d'un congénère (agression). Violence, représentation
de la violence et pouvoir.
= agression.
( ): Voir tableau ci-dessous.
Violence, assault.
| |
|
BERKOWITZ, L. (1964). The effects of observing violence. Scientific American, 210 (2), 313-324. [PDF] |
CAIRNS, R.B. & STOFF, D.M. (1996). A synthesis of
studies on the biology of aggression and violence. In D.M.
Stoff & R.B. Cairns (Eds.), Aggression and
violence : genetic, neurobiological, and biosocial
perspectives. New Jersey : Lawrence Erlbaum
Associates. |
|
FREEDMAN, J. (1996). Violence in the mass media and
violence in society : The link is unproven. Harvard
Mental Health Letter, 12, 4-6. |
LUDWIG, A.M. MARX A.J., HILL, P.A. & BROWNING, R.M.
(1969). The control of violent behavior through faradic
shock. Journal of Nervous & Mental Disease, 148,
624-637. |
RIKE, J.L. (1996). The cycle of violence and feminist
constructions of selfhood. Contagion Journal of
Violence Mimesis & Culture, 3 (1), 21-42. |
BERKOWITZ, L. & MACAULAY, J. (1971). The contagion of
criminal violence. Sociometry, 34, 238-260. |
ANDERSON, C.A. & ANDERSON, K.B. (1996). Violent crime
rate studies in philosophical context : A destructive
testing approach to heat and southern culture of violence
effects. Journal of Personality & Social
Psychology, 70, 740-756. |
SINGER, J.L. (1971). The control of aggression and
violence. New York : Academic Press. |
STAUB, E. (1996). Cultural-societal roots of violence :
The examples of genocidal violence and of youth violence
in the United States. American Psychologist, 51
(2), 117-132. |
KELMAN, H. (1973). Violence without moral restraint :
Reflections on the dehumanization of victims and
victimizers. Journal of Social Issues, 29 (4),
25-61. [PDF] |
JONES, K. (1997). Are rap videos more violent ? Style
differences and the prevalence of sex and violence in the
age of MTV. Howard Journal of Communications, 8
(4), 343-356. |
|
JOHNSON, J.D., ADAMS, M.S., HALL, W. & ASHBURN, L.
(1997). Race, media, and violence : Differential racial
effects of exposure to violent news stories. Basic
& Applied Social Psychology, 19 (1), 81-90. |
BANDURA, A. (1973). Institutionally sanctioned violence.
Journal of Clinical Child Psychology, 2, 23-24. |
FURLOW, B.F., GANGESTAD, S.W. & ARMIJO-PREWITT, T.
(1998). Fluctuating asymmetry and human violence. Proceedings
of the Royal Society of London B, 265, 1-6. |
LEYENS J.-P., CAMINO L., PARLE, R. & BERKOWITZ, L.
(1975). Effects of movie violence on aggression in a field
setting as a function of group dominance and cohesion. Journal of Personality & Social Psychology, 32, 346-360. |
ZILLMANN, D. (1998). The psychology of the appeal of
portrayals of violence. In J.H. Goldstein (Ed.), Why
we watch : The attractions of violent entertainment
(pp. 179-211). New York : Oxford University Press. |
GEEN, R.G. & STONNER, R. (1973). Context effects in
observed violence. Journal of Personality & Social
Psychology, 25, 145-150. |
DEMERS, L. (1998). Les programmes de prévention de la
violence chez les jeunes. Dans La violence...
l'affaire de qui ? Montréal : Actes du Colloque/Les
Centres jeunesse de Montréal. |
|
FARLEY, M. & BARKAN, H. (1998). Prostitution,
violence, and post-traumatic stress disorder. Women
& Health, 27 (3), 37-49. |
BACH-Y-RITA, G. & VENO, A. (1974). Habitual violence :
A profile of 62 men. American Journal of Psychiatry,
131, 1015-1017. |
BECK, A.T. (1999). Prisoners of hate : The cognitive
basis of anger, hostility and violence. New York :
Harper Collins. |
|
O'LEARY, K.D. (1999). Psychological abuse : A variable
deserving critical attention in domestic violence. Violence
& Victims, 14, 3–23. |
GEEN, R.G. (1975). The meaning of observed violence : Real
vs. fictional violence and consequent effects on
aggression and emotional arousal. Journal of Research
in Personality, 9, 270-281. |
KINGMA, J. (1999). Repeat victimization of victims of
violence : A retrospective study from a hospital emergency
department for the Period 1971-1995. Journal of
Interpersonal Violence, 14 (1), 79-90. |
|
DUTTON, M.A., GOODMAN, L.A. & BENNETT, L.
(1999). Court-involved battered women's responses to
violence : The role of psychological, physical, and sexual
abuse. Violence & Victims, 14, 89–104. |
BANDURA, A. (1976). New perspectives on violence. In V.C.
Vaughan & T.B. Brazelton (Eds.), The family.
Chicago : Year Book Medical Publishers. |
LE BLANC, M. (1999). L'évolution de la violence chez les
adolescents québécois : phénomène et prévention. Criminologie,
32 (1), 161-194. |
MONAHAN, J. (1981). The clinical prediction of
violent behavior. Rockville, MD : National
Institute of Mental Health. |
MARGOLIN, G. & GORDIS, E.B. (2000). The effects of
family and community violence on children. Annual
Review of Psychology, 51, 445-479. |
|
MECHANIC, M.B., WEAVER, T.L. & RESICK, P.A.
(2000). Intimate partner violence and stalking behavior :
Explorations of patterns and correlates in a sample of
acutely battered women. Violence & Victims,
15, 55–72. |
DONNERSTEIN, E. & BERKOWITZ, L. (1981). Victim
reactions in aggressive erotic films as a factor in
violence against women. Journal of Personality &
Social Psychology, 41, 710-724. |
RUSSO, N.F., KOSS, M.P. & RAMOS, L. (2000). Rape : A
global health issue. In J. Ussher (Ed.), Women's
health : Contemporary international perspectives
(pp. 129-142). London : British Psychological Society. |
HARDIN, G. (1983). Is violence natural ? Zygon, 18,
405-413. |
TREMBLAY, R.E. (2000). The origins of youth violence. Revue
Canadienne de Recherche sur les Politiques, 19-24. |
MONAHAN, J. (1984). The prediction of violent behavior :
Toward a second generation of theory and policy.
American Journal of Psychiatry, 141, 10-15. |
NOCK, M.K., KAUFMAN, J. & ROSENHECK, R. (2001).
Examination of predictors of severe violence in
combat-exposed Vietnam veterans. Journal of Traumatic
Stress, 14, 835-841. |
|
FELSON, R. B. (2002). Violence & gender
reexamined. Washington, DC : American Psychological
Association. |
 |
BRICKMAN, J. & BRIERE, J. (1984). Incidence of rape
and sexual assault in an urban Canadian population. International
Journal of Women's Studies, 7, 195-206. |
MARCUS, R. & SWETT, B. (2002). Violence and intimacy
in close relationships. Journal of Interpersonal
Violence, 17 (5), 570-586. |
BERGERET, J. (1984). La violence fondamentale.
Paris : Dunod. |
CASPI, A., McCLAY, J., MOFFITT, T. MILL, J., MARTIN, J.,
CRAIG, I., TAYLOR, A. & POULTON, R. (2002). Role of
genotype in the cycle of violence in maltreated children.
Science, 297 (5582), 851-854.
[PDF] |
MONAHAN, J. (1984). The prediction of violent behaviour :
toward a second generation of theory and policy. American
Journal of Psychiatry, 141, 10-15. |
CATALANO, R., NOVACO, R. & McCONNELL, W. (2002).
Layoffs and violence revisited. Aggressive Behavior,
28, 233-247. |
WILSON, M. & DALY, M. (1985). Competitiveness, risk
taking, and violence : The young male syndrome.
Ethology & Sociobiology, 6 (1), 59-73. [PDF] |
NUNEZ, S., PEREZ-MENDEZ, L. & AGUIRRE-JAIME, A.
(2002). Moon cycles and violent behaviours : myth or fact
? European Journal of Emergency Medicine, 9 (2),
127-130. |
SCOTT, J.E. & CUVELIER, S. (1987). Sexual violence in
Playboy magazine : A longitudinal content analysis.
Journal of Sex Research, 23, 534-539. |
STAUB, E. (2003). Preventing violence and generating
humane values : Healing and reconciliation in Rwanda. International
Committee of the Red Cross, 85 (852), 781-806. [PDF] |
WIDOM, C.S. (1989). Does violence beget violence ? A
critical examination of the literature. Psychological
Bulletin, 106, 3-28. |
FARLEY, M., COTTON, A., LYNNE, J., ZUMBECK, S., SPIWAK,
F., REYES, M.E., ALVAREZ, D. & SEZGIN, U. (2003).
Prostitution and trafficking in 9 countries : Update on
violence and posttraumatic stress disorder. Journal
of Trauma Practice, 2 (3/4), 33-74.
[PDF] |
PETERSON, D.L. & PFOST, K.S. (1989). Influence of rock
videos on attitudes of violence against women. Psychological
Reports, 64, 319-322. |
BRIÈRE, J. & JORDAN, C.E. (2004). Violence against
women : Outcome complexity and implications for treatment.
Journal of Interpersonal Violence, 19, 1252-1276.
[PDF] |
LINZ, D., DONNERSTEIN, E. & ADAMS, S.M. (1989).
Physiological desensitization and judgments about female
victims of violence. Human Communication Research,
15, 509-522. |
NEPSTAD, S.E. (2004). Religion, violence, and peacemaking.
Journal for the Scientific Study of Religion, 43, 297-301. |
DODGE, K.A., BATES, J.E. & PETIT, G.S. (1990).
Mechanisms in the cycle of violence. Science, 250, 1678-1683.
|
ADLER, L.L. & DENMARK, F.L. (Eds.) (2004). International
perspectives on violence. Westport, CT : Praeger
Publishers. |
BURGESS, R.L. (1991). Social and ecological issues in
violence toward children. In R.T. Ammerman & M. Hersen
(Eds.), Case studies in family violence (pp.
15-38). New York : Plenum. |
GUILBERT, S. (2004). Sport and violence : A typological
analysis. International Review for the Sociology of
Sport, 39 (1), 45-55. |
ST. LAWRENCE, J.S. & JOYNER, D.J. (1991). The effects
of sexually violent rock music on males' acceptance of
violence against women. Psychology of Women
Quarterly, 15, 49-63. |
FRIEZE, I.H. (2005). Female violence against
intimate partners : An introduction. Psychology of
Women Quarterly, 29 (3), 229–237. |
CORNE, S., BRIERE, J. & ESSES, L.M. (1992). Women's
attitudes and fantasies about rape as a function of early
exposure to pornography. Jourrnal of Interpersonal
Violence, 7, (4), 454-461. |
KELLY, R. (2005). The evolution of lethal intergroup
violence. Proceedings of the National Academy of
Sciences, 102, 15294-15298. [PDF] |
|
MILAN, S., LEWIS, J., ETHIER, K., KERSHAW, T.
& IICKOVICS, J.R. (2005). Relationship violence among
adolescent mothers: Frequency, dyadic nature, and
implications for relationship dissolution and mental
health. Psychology of Women Quarterly, 29,
302–312. |
MORRISON, E.F. (1992). A hierarchy of aggressive and
violent behaviours among psychiatric inpatients. Hospital
& Community Psychiatry, 43, 505-506. |
JARVIS, K.L., GORDON, E.E. & NOVACO, R.W. (2005).
Psychological distress of mothers and children in domestic
violence emergency shelters. Journal of Family
Violence, 20, 389-402. [PDF] |
|
BALSAM, K.F. & SZYMANSKI, D.M. (2005).
Relationship quality and domestic violence in women's
same-sex relationships : The role of minority stress. Psychology of Women Quarterly, 29, 258–269. |
|
McHUGH, M.C., LIVINGSTON, N.A. & FORD, A. (2005). A
postmodern approach to women's use of violence :
Developing multiple and complex conceptualizations. Psychology
of Women Quarterly, 29, 323–336. |
KAPPELER, S. (1992). Pornography : The representation of
power. In C. Itzin (Dir.), Pornography : Women,
violence and civil liberties (p. 88-101). Oxford :
Oxford University Press. |
DENMARK, F.L. GIELEN, U., KRAUSS, H.H., MIDLARSKY, E.
& WESNER, R. (Eds.) (2005). Violence in schools :
Cross-national and cross-cultural perspectives. New
York : Plenum. |
 |
MONAHAN, J. (1992). Mental disorder and violent behavior.
American Psychologist, 47, 511-521. |
GUILBERT, S. (2006). Violence in sports and among
sportsmen : a single or two-track issue ? Aggressive
Behavior, 32 (3), 231-240. |
BOOKWALA, J., FRIEZE, I.H., SMITH, C. & RYAN, K.
(1992). Predictors of dating violence : A multivariate
analysis. Violence & Victims, 7, 297–311 |
MAZUR, A. (2006). The role of testosterone in male
dominance contests that turn violent. Social Biology, 53
(1-2), 24-29. |
LYKKEN, D.T. (1993). Predicting violence in the violent
society. Applied & Preventive Psychology, 2, 13-20. |
ANDERSON, C.A., BENJAMIN, A.J., WOOD, P.K. & BONACCI,
A.M. (2006). Development and testing of the attitudes
toward violence scale : Evidence for a four-factor model.
Aggressive Behavior, 32, 122-136. [PDF] |
BLECHMAN, E.A., DUMAS, J.E. & PRINZ, R.J. (1994).
Prosocial coping by youth exposed to violence. Journal
of Child & Adolescent Group Therapy, 4, 205-227. |
HUESMANN, L.R. & KIRWIL, L. (2007). Why observing
violence increases the risk of violent behavior in the
observer. In D. Flannery (Ed.), The Cambridge
handbook of violent behavior and aggression.
Cambridge, UK : Cambridge University Press. [PDF] |
BERGERET, J. (1994). La violence et la vie. Paris
: Payot. |
KLEIM, B., EHLERS, A. & GLUCKSMAN, E. (2007).
Prediction of chronic posttraumatic stress disorder after
assault. Psychological Medicine, 37, 1457-1468.
[PDF] |
PERILLA, J.L., BAKEMAN, R. & NORRIS, F.H. (1994).
Culture and domestic violence : The ecology of
abused Latinas. Violence & Victims, 9,
325–339 |
BUSHMAN, B.J., RIDGE, R.D., DAS, E., KEY, C W. &
BUSATH, G.L. (2007). When God sanctions killing; Effect of
scriptural violence on aggression. Psychological
Science, 18, 204-207. [PDF] |
LAVOIE, F., VÉZINA, L., PICHÉ, C. & BOIVIN, M. (1995).
Evaluation of a prevention program for violence in teen
dating relationships. Journal of Interpersonnal
Violence, 10 (4), 516-524. |
TREMBLAY, R.E. (2008). Prevenir la violence dès la
petite enfance. Paris : Editions Odile Jacob. |
JOHNSON, J.D., ADAMS, M.S., ASBURN, L. & REED, W.
(1995). Differential gender effects of exposure to rap
music on African American adolescents' acceptance of teen
dating violence. Sex Roles, 33 (7-8), 597-605. |
DILL, K.E., BROWN, B.P. & COLLINS, M.A. (2008).
Effects of media stereotypes on sexual harassment
judgments and rape supportive attitudes : Popular video
game characters, gender, violence and power. Journal
of Experimental Social Psychology, 44, 1402-1408. [PDF]
|
|
COLLINS, R. (2008). Violence : A micro-sociological
theory. Princeton, NJ : Princeton University
Press. |
|
GUILBERT, S. (2008). Violence and accidents in competition
sports. Sport in Society (Cultures, Commerce, Media,
Politics), 11 (1), 17-31. |
|
ANDERSON, C.A., BUCKLEY, K.E. & CARNAGEY, N.L. (2008).
Creating your own hostile environment : A laboratory
examination of trait aggressiveness and the violence
escalation cycle. Personality & Social Psychology
Bulletin, 34, 462-473. [PDF] |
|
ZURBRIGGEN, E.L. (2009). Understanding and preventing
adolescent dating violence : The importance of
developmental, socio-cultural and gendered perspectives. Psychology
of Women Quarterly, 33, 30-33. [PDF] |
|
HERD, D. (2009). Changing images of violence in rap music
lyrics : 1979-1997. Journal of Public Health Policy,
30, (4), 395-406. [PDF] |
BERGERET, J. (1995). Freud, la violence et la
dépression. Paris : Presses Universitaires de
France. |
CHAN & YEUNG, J.W.K. (2009). Children living with
violence within the family and its sequel : A
meta-analysis from 1995-2006. Aggression &
Violent Behavior, 14. |
|
BARLING, J., DUPRÉ, K.E. & KELLOWAY, E.K. (2009).
Predicting workplace aggression and violence. Annual
Review of Psychology, 60, 671-692. [PDF] |
ADLER, L.L. & DENMARK, F.L. (Eds.) (1995). Violence
and the prevention of violence. Westport, CT :
Praeger Publishers. |
PAQUETTE, D., BIGRAS, M. et CREPALDI, M.A. (2010). La
violence : un jugement de valeur sur les rapports de
pouvoir. Revue de Psychoéducation, 39 (2),
247-276. |
MULLIN, C.R. & LINZ, D. (1995). Desensitization and
resensitization to violence against women : Effects of
exposure to sexually violent films on judgments of
domestic violence victims. Journal of Personality
& Social Psychology, 69, 449-459. |
RUTHERFORD, A. (2011). Sexual violence against women :
Putting rape research in context. Psychology of Women
Quarterly, 35 (2), 342-347. [PDF] |
|
BALZER CARR, B. & ZURBRIGGEN, E.L. (2016). Gender and
violence. In H.L. Miller (Ed.), The Sage encyclopedia
of theory in psychology (pp. 360-364). Thousand
Oaks, CA : Sage. |
|
ANDERMAN, E.M., ESPELAGE, D.L., REDDY, L.A., MCMAHON,
S.D., MARTINEZ, A., LANE, K.L., REYNOLDS, C. & PAUL,
N. (2018). Teachers' reactions to experiences of violence
: An attributional analysis. Social Psychology of
Education : An International Journal, 21 (3),
621-653. |
 |
|
Voir aussi
Représentation de la violence, Agression, Viol,
Armée et Pouvoir |
|
 |
|
Violence (Cycle) : Montée en violence
progressive et souvent ritualisée
des comportements
agressifs entre deux ou plusieurs individus/groupe/pays. =
escalade de la violence. Cycle de la violence,
menace et agression.
Cycle of violence.
| |
|
EGELAND, B., JACOBVITZ D. & SROUFE L.A. (1988).
Breaking the cycle of abuse : Relationship predictors. Child
Development, 59 (4), 1080-1088. |
|
WIDOM, C.S. (1989). The cycle of violence. Science,
244, 160-166. |
MAXFIELD, M.G. & WIDOM, C.S. (2001). An update
on the "cycle of violence". National Institute of
Justice Research in Brief. [PDF] |
DODGE, K.A., BATES, J.E. & PETIT, G.S. (1990).
Mechanisms in the cycle of violence. Science, 250,
1678-1681. |
CASPI, A., McCLAY, J., MOFFITT, T. MILL, J., MARTIN, J.,
CRAIG, I., TAYLOR, A. & POULTON, R. (2002). Role of
genotype in the cycle of violence in maltreated children.
Science, 297 (5582), 851-854.
[PDF] |
RIKE, J.L. (1996). The cycle of violence and feminist
constructions of selfhood. Contagion Journal of
Violence Mimesis & Culture, 3 (1), 21-42. |
|
MAXFIELD, M.G. & WIDOM, C.S. (1996). The cycle of
violence : Revisited six years late. Archives of
Pediatrics & Adolescent Medicine, 150, 390-395. |
ANDERSON, C.A. BUCKLEY, K.E. & CARNAGEY, N.L. (2008).
Creating your own hostile environment : A laboratory
examination of trait aggressiveness and the violence
escalation cycle. Personality & Social Psychology
Bulletin, 34, 462-473. [PDF] |
|
 |
Voir aussi
Escalade de la violence et Violence |
 |
|
Violence (Escalade) : Dans une
situation de conflit,
augmentation progressive et réciproque du niveau d'agressivité
entre deux individus/ groupes.
Entre deux pays, une escalade
de la violence se solde souvent par la rupture des relations
diplomatiques, parfois la
guerre. Escalade de la violence =
escalade de l'agressivité. Dyadic escalation,
violence escalation, escalation trajectory.
| |
|
CAIRNS, R.B. & SCHOLTZ, S.D. (1973). On fighting in mice : Dyadic escalation and what is learned. Journal of Comparative & Physiological Psychology, 85, 540-550. |
KRIESBERG, L. (1998). Constructive conflict : From
escalation to resolution. Rowman & Littlefield
Publishers. |
KNUTSON, J.F., FORDYCE, D.J. & ANDERSON, D.J. (1980).
Escalation of irritable aggression : Control by
consequences and antecedents. Aggressive Behavior, 6,
347-359. |
ANDERSON, C.A. BUCKLEY, K.E. & CARNAGEY, N.L. (2008).
Creating your own hostile environment : A laboratory
examination of trait aggressiveness and the violence
escalation cycle. Personality & Social Psychology
Bulletin, 34 (4), 462-473. [PDF] |
WINTER, D. (1987). Enhancement of an enemy's power
motivation as a dynamic of conflict escalation. Journal
of Personality & Social Psychology, 52,
41-46. |
|
FELD, S.L. & STRAUS, M.A. (1989). Escalation and
Desistance of Wife Assault in Marriage. Criminology,
27 (1), 141-162. |
OLIVA, J.R., MORGAN, R. & COMPTON, M.T. (2010). A
practical overview of de-escalation skills in law
enforcement : helping individuals in crisis while reducing
police liability and injury. Journal of Police Crisis
Negotiations, 10 (1), 15-29. |
|
Voir aussi Violence,
Vengeance, Guerre
et
Cycle de la violence |

|
 |
|
Violence
(Prévention) : Ensemble de
mesures prises afin de diminuer la probabilité
qu'un individu devienne
agressif ou violent.
Violence et prévention.
Prevention of violence.
| |
|
LAVOIE, F., VÉZINA, L., PICHÉ, C. & BOIVIN, M. (1995).
Evaluation of a prevention program for violence in teen
dating relationships. Journal of Interpersonnal
Violence, 10 (4), 516-524. |
CAPPELLA, E. & WEINSTEIN, R.S. (2006). The prevention
of social aggression in girls. Social Development,
15, 434-462. [PDF] |
ADLER, L.L. & DENMARK, F.L. (Eds.) (1995). Violence
and the prevention of violence. Westport, CT :
Praeger Publishers. |
TREMBLAY, R.E. (2008). Prevenir la violence dès la
petite enfance. Paris : Editions Odile Jacob. |
CATALANO, R.F., LOEBER, R. & McKINNEY, K.C. (1999).
School and community interventions to prevent serious and
violent offending. Juvenile Justice Bulletin,
1-12. [PDF] |
ZURBRIGGEN, E.L. (2009). Understanding and preventing
adolescent dating violence : The importance of
developmental, socio-cultural and gendered perspectives. Psychology
of Women Quarterly, 33, 30-33. [PDF] |
REEVE, C.E. & CARR, E.G. (2000). Prevention of severe
behavior problems in children with developmental
disorders. Journal of Positive Behavior
Interventions, 2, 144-160. |
|
SUGAI, G., SPRAGUE, J.R., HORNER, R.H. & WALKER, H.M.
(2000). Preventing school violence : The use of office
discipline referrals to assess and monitor school-wide
discipline interventions. Journal of Emotional &
Educational Disorder, 8, 94-101. |
WOLFE, D.A., CROOKS, C., JAFFE, P., CHIODO, D., HUGHES,
R., ELLIS, W. & DONNER, A. (2009). A school-based
program to prevent adolescent dating violence.
Archives of Pediatrics & Adolescent Medicine, 163
(8), 692-699. |
MISHARA, B.L. (2003). Succès, échecs en prévention du
suicide au Québec. Revue Québécoise de Psychologie,
24 (1), 125-134. |
|
|
 |
Voir aussi Prévention
et Violence |
 |
|
Violence
(Représentation) : Violence
feinte, actée ou simulée (donc rarement réelle) présentée dans les
médias (bande dessinée, cinéma,
jeu vidéo, littérature,
musique, télévision).
= scénario violent, violence à la
télévsion, image violente. Television
violence, violence in media, media viloence, graphic violence.
| |
|
ERON, L.D. (1963). Relationship of TV viewing habits and
aggressive behavior in children. Journal of Abnormal
& Social Psychology, 67 (2), 193-196. |
SCOTT, D. (1995). The effect of video games on feelings of
aggression. The Journal of Psychology, 129,
121-132. |
BANDURA, A., ROSS, D. & ROSS, S.A. (1963). Imitation
of film-mediated aggressive models. Journal of
Abnormal & Social Psychology, 66, 3-11. |
BUSHMAN, B.J. (1995). Moderating role of trait
aggressiveness in the effects of violent media on
aggression. Journal of Personality & Social
Psychology, 69,950-960. |
TURNER C.W. & BERKOWITZ, L. (1972). Identification
with film aggressor (covert role taking) and reactions to
film violence. Journal of Personality & Social
Psychology, 21, 256-264. |
|
CHAFFEE, S.H. (1972). Television and adolescent
aggressiveness (overview). In G.A. Comstock & E.A.
Rubinstein (Eds.), Television and social behavior : A
technical report to the Surgeon General's Scientific
Advisory Committee on Television and Social Behavior.
(Vol. 3., pp. 1-34). Washington, DC : U.S. Government
Printing Office. |
|
U.S. SURGEON GENERAL'S SCIENTIFIC ADVISORY COMMITTEE/On
Television and Social Behavior. (1972). Television
and growing up : The impact of televised violence.
Washington, DC. |
|
GERBNER, G. (1972). Violence in television drama : Trends
and symbolic functions. In G.A. Comstock & E.A.
Rubenstein (Eds.), Television and social behavior:
Media content and control (Vol. 1. pp. 28-187).
Washington, DC : U.S. Government Printing Office. |
|
ERON, L.D., HUESMANN, L.R., LEFKOWITZ, M.M. & WALDER,
L.O. (1972). Does television violence cause aggression ? American
Psychologist, 27, 253-263. [PDF] |
FUNK, J.B. & BUCHMAN, D.D. (1996). Playing violent
video and computer games and adolescent self-concept. Journal
of Communication, 46 (2), 19-32. |
FRIEDRICH, L.K. & STEIN, A.H. (1973). Aggressive and
prosocial television programs and the natural behavior of
preschool children. Monographs of the Society for
Research in Child Development, 38, 1-64. |
BALLARD, M.E. & WEIST, J.R. (1996). Mortal Kombat :
The effects of violent video game play on males' hostility
and cardiovascular responding. Journal of Applied
Social Psychology, 26, 717-730. |
SURBECK, E. (1975). Young children’s emotional reactions
to TV violence : The effect of children’s perceptions of
reality. Dissertation Abstracts International, 35,
5139-A. |
FREEDMAN, J. (1996). Violence in the mass media and
violence in society : The link is unproven. Harvard
Mental Health Letter, 12, 4-6. |
PERRY, D.G. & ERRY, L.C. (1976). Identification with
film characters, covert aggressive verbalization, and
reactions to film violence. Journal of Research in
Personality, 10, 399-409. |
|
THOMAS, M.H., HORTON, R.W., LIPPINCOTT, E.C. &
DRABMAN, R.S. (1977). Desensitization to portrays of real
life aggression as a function of television violence.
Journal of Personality & Social Psychology, 35, 450-458. |
|
EYSENK, H.J. & NIAS, D.K. (1978). Sex, violence,
and the media. New York : Saint Martin's Press. |
|
SIMON, A. (1979). Violence in the mass media : A case of
modeling. Perceptual & Motor Skills, 48,
1081-1082. |
HUESMANN, L.R., MOISE, J.F. & PODOLSKI, C.L. (1997).
The effects of media violence on the development of
antisocial behavior. In D.M. Stoff, J. Breiling & J.D.
Maser (Eds.), Handbook of antisocial behavior
(pp. 181-193). New York : John Wiley. |
SINGER, D.G. & SINGER, J.L. (1980). Television viewing
and aggressive behavior in preschool children : A field
study forensic psychology and Psychiatry. Annals of
the New York Academy of Science, 347, 289-303. |
|
SINGER, D.G. ZUCKERMAN, D.M. & SINGER, J.L. (1980).
Helping elementary school children learn about T.V. Journal
of Communication, 30, 166-174. |
|
 |
BRYANT, J., ARVETH, R.A. & BROWN, D. (1981).
Television viewing and anxiety : An experimental
examination. Journal of Communication, 31,
106-119. |
|
PHILLIPS, D.P. (1982). The impact of fictional television
stories on U.S. adult fatalities : New evidence on the
effect of the mass media on violence. American Journal
of Sociology, 87, 1340-1359. |
WILSON, B.J., KUNKEL, D., LINZ, D., POTTER, J.
DONNERSTEIN, E., SMITH, S.L., BLUMENTHAL, E. & GRAY,
T. (1997). Violence in television programming overall :
University of California, Santa Barbara study. In M.
Seawall (Ed.), National television violence study
(Vol. 1, pp. 3-184). Thousand Oaks, CA : Sage
Publications. |
ZILLMANN, D. (1982). Television viewing and arousal. In D.
Pearl, L. Bouthilet & J. Lazar (Eds.), Television
and behavior : Ten years of scientific progress and
implications for the eighties. (Vol. 2, pp. 53-67).
Washington, DC : U.S. Government Printing Office. |
SINGER, M.I., SLOVAK, K., FRIERSON, T. & YORK, P.
(1998). Viewing preferences, symptoms of psychological
trauma, and violent behaviors among children who watch
television. Journal of the American Academy of Child
& Adolescent Psychiatry, 37 (10), 1041-1048. |
HUESMANN, L.R. (1982). Television violence and aggressive
behavior. In D. Pearl, L. Bouthilet & J. Lazar (Eds.),
Television and behavior : Ten years of scientific
progress and implications for the eighties : Vol. 2.
Technical reviews (pp. 126-137). Washington, DC :
U.S. Government Printing Office. |
DIETZ, T.L. (1998). An examination of violence and gender
role portrayals in video games : Implications for gender
socialization and aggressive behavior. Sex Roles, 38,
425-442. |
THOMAS, M.H. (1982). Physiological arousal, exposure to a
relatively lengthy aggressive film, and aggressive
behavior. Journal of Research in Personality, 16,
72-81. |
CANTOR, J. (1998). Children’s attraction to violent
television programming. In J.H. Goldstein (Ed.), Why
we watch : The attractions of violent entertainment
(pp. 88-115). New York : Oxford University Press. |
NATIONAL INSTITUTE OF MENTAL HEALTH (1982). Television
and behavior : Ten years of scientific progress and
implications for the eighties. Washington, DC :
U.S. Government Printing Office. |
DILL, K.E. & DILL, J.C. (1998). Video game violence : A review of the empirical literature. Aggression & Violent Behavior : A Review Journal, 3 (4), 407-428.
[PDF] |
MILAVSKY, J.R., KESSLER, R.C., STIPP, H. & RUBBENS, W.
(1982). Television and aggression : A panel study.
New York : Academic Press. |
SMITH, S.L. & DONNERSTEIN, E. (1998). Harmful effects
of exposure to media violence : Learning of aggression,
emotional desensitization, and fear. In R.G. Geen & E.
Donnerstein (Eds.), Human aggression : Theories,
research, and implications for social policy (pp.
167-202). New York : Academic Press. |
GUNTER, B. (1983). Do aggressive people prefer violent
television ? Bulletin of the British Psychological
Society, 36, 166-168. |
GRIFFITHS, M. (1998). Video games and aggression : a
review of the literature. Aggression & Violent
Behavior, 4, 203-212. |
PHILLIPS, D.P. (1983). The impact of mass media violence
on U.S. homicides. American Sociological Review, 48,
560-568. |
HUESMANN, L.R. (1999). The effects of childhood aggression
and exposure to media violence on adult behaviors,
attitudes, and mood : Evidence from a 15-year
cross-national longitudinal study. Aggressive
Behavior, 25, 18-29. |
DOMINICK, J.R. (1984). Videogames, television violence,
and aggression in teenagers. Journal of
Communication, 34, 136-147. |
VAN HORN, R. (1999). Violence and video games. Phi
Delta Kappan, 81, 173-174. |
SINGER, J.L., SINGER, D.G. & RAPACZYNSK, W.S. (1984).
Family patterns and television viewing as predictors of
children's beliefs and aggression. Journal of
Communication, 34 (2), 73-89. |
LYNCH, P.J. (1999). Hostility, type A behavior, and stress
hromones at rest and after playing violent video games in
teenagers. Psychosomatic Medicine, 61, 113. |
KENNY, D.A. (1984). Television violence, aggression, and
the NBC study. Journal of Communication, 34,
176-188. |
FUNK, J.B., FLORES, G., BUCHMAN, D.D. & GERMANN, J.N.
(1999). Rating electronic games : Violence is in the eye
of the beholder. Youth & Society, 30,
283-312. |
SINGER, J.L., SINGER, D. G. & RAPACZYNSK, W.S. (1984).
Family patterns and television viewing as predictors of
children's beliefs and aggression. Journal of
Communication, 34 (2), 73-89. |
NAITO, M., KOBAYASHI, K. & SAKAMOTO, A. (1999).
Testing a causal relationship between video game use and
aggression : a panel study on junior high school students
[in Japanese]. Proceedings of the 40th Convention of
the Japanese Society of Social Psychology, 40, 288-289. |
|
POTTER, W.J. (1999). On media violence. Thousand
Oaks, CA : Sage Publications. |
BARON, J.N. & REISS, P.C. (1985). Same time, next year
: Aggregate analyses of the mass media and violent
behavior. American Sociological Review, 50,
347-363. |
ZILLMANN, D. & WEAVER, J.B. (1999). Effects of
prolonged exposure to gratuitous media violence on
provoked and unprovoked hostile behavior. Journal of
Applied Social Psychology, 29, 145-165. |
ZUCKERMAN, M. & ZUCKERMAN, B.S. (1985). Television's
impact on children. Pediatrics, 75, 233-240. |
GRIFFITHS, M.D. (1999). Violent video games and aggression
: A review of the literature. Aggression &
Violent Behavior, 4 (2), 203-212. |
 |
GRAYBILL, D., KIRSCH, J.R. & ESSELMAN, E.D. (1985). Effects of playing violent versus nonviolent video games
on the aggressive ideation of aggressive and nonaggressive
children. Child Study Journal, 15, 199-205. |
BUSHMAN, B.J. & HUESMANN, L.R. (2000). Effects of
televised violence on aggression. In D.G. Singer &
J.L. Singer (Eds.), Handbook of children and the
media (pp. 223-254). Thousand Oaks, CA : Sage
Publications. |
CAPLAN, R.E. (1985). Violent program content in music
video. Journalism Quarterly, 62, 144-147. |
ANDERSON, C.A. & DILL, K.E. (2000). Video games and
aggressive thoughts, feelings, and behavior in the
laboratory and in life. Journal of Personality &
Social Psychology, 78 (4), 772-790. |
|
BUSHMAN, B.J. & ANDERSON, C.A. (2001). Media violence
and the American public : Scientific facts versus media
misinformation. American Psychologist, 56,
477-489. |
|
THOMPSON, K.M. & HANINNGER, K. (2001). Violence in
E-rated video games. Journal of the American Medical
Association, 286, 591-598. |
|
SHERRY, J.L. (2001). The effects of violent video games on
aggression : A meta-analysis. Human Communication
Research, 27 (3), 409-431. [PDF] |
|
THOMPSON, K.M. & HANINNGER, K. (2001). Violence in
E-rated video games. Journal of the American Medical
Association, 286, 591-598. |
VAN DER VOORT, T.H.A. (1986). Television violence : A
child’s-eye view. New York : Elsevier Science. |
BUSHMAN, B.J. & HUESMANN, L.R. (2001). Effects of
televised violence on aggression. In D. Singer & J.
Singer (Eds.), Handbook of children and the media
(pp. 223-254). Thousand Oaks, CA : Sage Publications.
[PDF] |
HUESMANN, L.R. & ERON, L.D. (1986). Television
and the aggressive child : A cross-national comparison.
Lawrence Erlbaum. |
BUSHMAN, B.J. & ANDERSON, C.A. (2002). Violent video
games and hostile expectations : A test of the general
aggression model. Personality & Social Psychology
Bulletin, 28, 1679-1686. [PDF] |
JOY, L.A., KIMBALL, M.M. & ZABRACK, M.L. (1986).
Television and children's aggressive behavior. In T.M.
Williams (Ed.), The impact of television : A natural
experiment in three communities (pp. 303-360). New
York : Academic Press. |
ANDERSON, C.A. & BUSHMAN, B.J. (2002). The effects of
media violence on society. Science, 295, 2377-2378. |
SINGER, J.L & SINGER, D.G. (1986). Television viewing
and family communication style as predictors of children’s
emotional behavior. Journal of Children in
Contemporary Society, 17, 75-91. |
FREEDMAN, J.L. (2002). Media violence and its effect
on aggression. Toronto, Canada : University of
Toronto Press Inc. |
RULE, B.G. & FERGUSON, T.J. (1986). The effects of
media violence on attitudes, emotions, and cognitions. Journal
of Social Issues, 42, 29-50. |
FLEMING, M.J. & RICKWOOD, D.J. (2001). Effects of
violent versus nonviolent video games on children’s
arousal, aggres sive mood, and positive mood. Journal
of Applied Social Pyschology, 31, 2047-2071. |
ANDERSON, C.A. & FORD, C.M. (1986). Affect of the game
player : Short term effects of highly and mildly
aggressive video games. Personality & Social
Psychology Bulletin, 12, 390-402. |
ANDERSON, C.A. & BUSHMAN, B.J. (2002). Media violence
and the American public revisited. American
Psychologist, 57, 448-450. |
ROSENTHAL, R. (1986). Media violence, antisocial behavior,
and the social consequences of small effects. Journal
of Social Issues, 42, 141-154. |
BARTHOLOW, B.D. & ANDERSON, C.A. (2002). Effects of
violent video games on aggressive behavior : Potential sex
differences. Journal of Experimental Social
Psychology, 38, 283-290. [PDF] |
GEEN, R.G. & THOMAS, S.L. (1986). The immediate
effects of media violence on behavior. Journal of
Social Issues, 42, 7-27. |
HUESMANN, L.R. MOISE-TITUS, J., PODOLSKI, C. & ERON,
L.D. (2003). Longitudinal relations between children's
exposure to TV violence and their aggressive and violent
behavior in young adulthood : 1977-1992. Developmental
Psychology, 39 (2), 201-221. [PDF] |
HUESMANN, L.R. (1986). Psychological processes promoting
the relation between exposure to media violence and
aggressive behavior by the viewer. Journal of Social
Issues, 42, 125-139. |
GENTILE, D.A. (Ed.) (2003). Media violence and
children. Westport, CT : Praeger Publishing. |
WILLIAMS, T.M. (Ed.) (1986). The impact of television
: A natural experiment in three communities. New
York : Praeger. |
ANDERSON, C.A., BERKOWITZ, L., DONNERSTEIN, E., HUESMANN,
L.R., JOHNSON, J.D., LINZ, D. MALAMUTH, N.M. &
WARTELLA, E. (2003). The influence of media violence on
Youth. Psychological Science in the Public Interest,
4 (3), 81-110.
[PDF] |
COOPER J. & MACKIE, D. (1986). Video games and
aggression in children. Journal of Applied Social
Psychology, 16, 726-744. |
HUESMANN, L.R. & SKORIC, M. (2003). Regulating media
violence : Why, how, and by whom ? In B. Young & E.
Palmer (Eds.), Children and the faces of televisual
media : Teaching, violence, selling (pp. 219-240).
Mahwah, NJ : Lawrence Erlbaum.
[PDF] |
MALAMUTH, N. & BRIERE, J. (1986). Sexual violence in
the media : Indirect effects on aggression against women.
Journal of Social Issues, 42, (3), 75-92. [PDF] |
CARNAGEY, N.L. & ANDERSON, C.A. (2003). Theory in the
study of media violence : The general aggression model. In
D.A. Gentile (Ed.), Media violence and children.
Westport, CT : Praeger Publishing. [PDF] |
JOSEPHSON, W.L. (1987). Television violence and children's
aggression : Testing the priming, social script, and
disinhibition predictions. Journal of Personality
& Social Psychology, 53, 882-890. |
KIRSH, S.J. (2003). The effects of violent video games on
adolescents - The overlooked influence of development.
Aggression & Violent Behavior, 8 (4), 377-389.
[PDF] |
WINKEL, M., NOVAK, D.M. & HOPSON, M. (1987).
Personality factors, subject gender and the effects of
aggressive video games on aggression in adolescents. Journal
of Research in Personality, 21, 211-223. |
GENTILE, D.A. & ANDERSON, C.A. (2003). Violent video
games : The newest media violence hazard. In D.A. Gentile
(Ed.), Media violence and children (pp.
131-152). Westport, CT : Praeger. |
CHAMBERS, J.H. & ASCIONE, F.R. (1987). The effects of
prosocial and aggressive video games on children's
donating and helping. Journal of Genetic Psychology,
148, 499-505. |
FUNK, J.B., BALDACCI, B., PASOLD, T. & BAUMGARDNER, J.
(2004). Violence exposure in real-life, video games,
television, movies, and the internet : is there
desensitization ? Journal of Adolescence, 27 (1),
23-39. [PDF] |
SILVERN, S.B. & WILLIAMSON, P.A. (1987). The effects
of video-game play on young children’s aggression, fantasy
and prosocial behavior. Journal of Applied
Developmental Psychology, 8, 453-462. |
UHLMANN, J. & SWANSON, J. (2004). Exposure to violent
video games increases implicit aggressiveness. Journal
of Adolescence, 27, 41-52. [PDF] |
GRAYBILLl, D., STRAWNIAK, M., HUNTER, T. & O'LEARY, M.
(1987). Effects of playing versus observing violent versus
nonviolent video games on children's aggression. Psychology
: A Quarterly Journal of Human Behavior, 24, 1-8. |
CARNAGEY N. & ANDERSON, C.A. (2004). Violent video
game exposure and aggression : A literature review. Minerva
Psichiatrica, 45, 1-18. [PDF] |
SCHUTTE, N.S., MALOUFF, J.M., POST-GORDEN, J.C. &
RODASTA, A.L. (1988). Effects of playing video games on
children's aggressive and other behaviors. Journal of
Applied Social Psychology, 18, 454-460. |
ELLIOTT, D.M., MOK, D.S. & BRIERE, J. (2004). Adult
sexual assault : Prevalence, symptomatology, and sex
differences in the general population. Journal of
Traumatic Stress, 17, 203-211. [PDF] |
|
GENTILE, D.A., LYNCH, P.J., LINDER, J R. & WALSH, D.A.
(2004). The effects of violent video game habits on
adolescent aggressive attitudes and behaviors. Journal
of Adolescence, 27, 5-22. [PDF] |
CENTERWALL, B.S. (1989). Exposure to television as a cause
of violence. Public Communication & Behavior, 2,
1-58. |
DILL, K.E., GENTILE, D.A., RICHTER, W.A. & DILL, J.C.
(2005). Violence, sex, race and age in popular video games
: A content analysis. In E. Cole & J. Henderson-Daniel
(Eds.), Featuring females : Feminist analyses of the
media. Washington, DC : American Psychological
Association. |
|
GENTILE, D.A. & STONE, W. (2005). Violent video game
effects on children and adolescents : A review of the
literature. Minerva Pediatrica, 57, 337-358. [PDF] |
|
CARNAGEY, N.L. & ANDERSON, C.A. (2005). The effects of
reward and punishment in violent video games on aggressive
affect, cognition and behavior. Psychological Science,
16, 882-889. [PDF] |
LINZ, D., FUSON, I.A. & DONNERSTEIN, E. (1990).
Mitigating the negative effects of sexually violent mass
communications through pre-exposure briefings. Communication
Research, 17, 641-674. |
WILLIAMS, D. & SKORIC, M. (2005). Internet fantasy
violence. A test of aggression in an online game. Communication
Monographs, 72, 217-233. [PDF] |
BUSHMAN, B.J. & GEEN, R.G. (1990). The role of
cognitive-emotional mediators and individual differences
in the effects of media violence on aggression. Journal
of Personality & Social Psychology, 58,
156-163. |
GENTILE, D.A. & ANDERSON, C.A. (2006). Violent video
games : Effects on youth and public policy implications.
In N. Dowd, D.G. Singer & R.F. Wilson (Eds.), Handbook
of children, culture, and violence (pp. 225- 246).
Thousand Oaks, CA : Sage. |
|
BUSHMAN, B.J. & HUESMANN, L.R. (2006). Short-term and
long-term effects of violent media on aggression in
children and adults. Archives of Pediatrics &
Adolescent Medicine, 160, 348-352. [PDF] |
 |
|
HUESMANN, L.R. & TAYLOR, L.D. (2006). The role of the
mass media in violent behavior. In R.C. Brownson et al.
(Eds.), Annual review of public health. Palo
Alto, CA : Annual Reviews Publishers.
[PDF] |
WOOD, W., WONG, F. & CHACHERE, J.G. (1991). Effects of
media violence on viewers' aggression in unconstrained
social interaction. Psychological Bulletin, 109, 371-383. |
CHRISTAKIS, D.A & ZIMMERMAN, F.G. (2007). Violent
television viewing during preschool is associated with
antisocial behavior during school age. Pediatrics 120
(5), 993-999. |
HUESMANN, L.R., ERON, L. D., BERKOWITZ, L. & CHAFFEE,
S. (1992). The effects of television violence on
aggression : A reply to a skeptic. In P. Suedfeld & P.
Tetlock (Eds.), Psychology and social policy (pp.
191-200). New York : Hemisphere |
SHERRY, J. (2007). Violent video games and aggression :
Why can't we find links ? In R. Preiss, B. Gayle, N.
Burrell, M. Allen & J. Bryant (Eds.), Mass media
effects research : Advances through meta-analysis
(pp. 231-248). Mahwah, NJ : Erlbaum. |
CENTERWALL, B.S. (1992). Television and violence. The
scale of the problem and where to go from here. Journal
of the American Medical Association, 267,
3059-3063. |
CARNAGEY, N.L., ANDERSON, C.A. & BUSHMAN, B.J. (2007).
The effect of video game violence on physiological
desensitization to real life violence. Journal of
Experimental Social Psychology, 43 (3), 489-496. [PDF] |
FREEDMAN, J.L. (1992). Television violence and aggression
: What psychologists should tell the public. In P.
Suedfeld & P. Tetlock (Eds.), Psychology and
social policy (pp. 179-189). New York : Hemisphere
Publishing. |
DILL, K.E. & THILL, K.P. (2007). Video game characters
and the socialization of gender roles : Young people's
perceptions mirror sexist media depictions. Sex
Roles, 57, 851-865. [PDF] |
|
CARNAGEY, N.L., ANDERSON, C.A. & BARTOLOMEW, B.D.
(2007). Media violence and social neuroscience new
questions and new opportunities. Current Directions in
Psychological Science 16 (4), 178-182. |
FLING, S., SMITH, L., RODRIGUEZ, T., THORNTON, D., ATKINS,
E. & NIXON, K. (1992). Videogames, aggression, and
self-esteem : A survey. Social Behavior &
Personality, 20, 39-46. |
HUESMANN, L.R. (2007). The impact of electronic media
violence : Scientific theory and research. Journal of
Adolescent Health, 41, 6-13.
[PDF] |
FRIEDLANDER, B.Z. (1993). Community violence, children's
development, and mass media : In pursuit of new insights,
new goals, and new strategies. Psychiatry, 56, 66-81. |
DIXON, T.L. (2007). Black criminals and White officers :
The effects of racially misrepresenting law breakers and
law defenders on television news. Media Psychology,
10, 270-291. [PDF] |
PAIK, H. & COMSTOCK, G. (1994). The effects of
television violence on antisocial behavior : A
meta-Analysis. Communication Research, 21,
516-546. |
ANDERSON, C.A., GENTILE, D.A. & BUCKLEY, K.E. (2007).
Violent video game effects on children and adolescents :
Theory, Research, and Public Policy. New York :
Oxford University Press. |
HUESMANN, L.R. & MILLER, L.S. (1994). Long-term
effects of repeated exposure to media violence in
childhood. In L.R. Huesmann (Ed.), Aggressive
behavior : Current perspectives (pp. 153-183). New
York : Plenum Press.
[PDF] |
DILL, K.E., BROWN, B.P. & COLLINS, M.A. (2008).
Effects of media stereotypes on sexual harassment
judgments and rape supportive attitudes : Popular video
game characters, gender, violence and power. Journal
of Experimental Social Psychology, 44, 1402-1408. [PDF] |
SCOTT, D. (1995). The effect of video games on feelings of
aggression. The Journal of Psychology, 129,
121-132. |
DIXON, T.L. (2008). Who is the victim here ? : The
psychological effects of overepresenting White victims
and Black perpetrators on television news. Journalism
: Theory, Practice & Criticism, 9, 582-605. |
HUESMANN, L.R. (1995). Screen violence and real
violence : Understand- ing the link. Auckland, New
Zealand: Media Aware. |
BUSHMAN, B.J. & ANDERSON, C.A. (2009). Comfortably
numb : Desensitizing effects of violent media on helping
others. Psychological Science, 20 (3), 273-278.
[PDF] |
|
BUSHMAN, B.J., HUESMANN, L.R. & WHITAKER, J.L. (2009).
Violent media effects. In R.L. Nabi & M.B. Oliver
(Eds.), Media processes and effects (pp.
361-376). Thousand Oaks, CA : Sage. |
BUSHMAN, B.J. (1995). Moderating role of trait
aggressiveness in the effects of violent media on
aggression. Journal of Personality & Social
Psychology, 69, 950-960. |
ANDERSON, C.A., SAKAMOTO, A., GENTILE, D.A., IHORI, N.,
SHIBUYA, A., YUKAWA, S., NAITO, M. & KOBAYASHI, K.
(2008). Longitudinal effects of violent video games on
aggression in Japan and the United States. Pediatrics,
122, 1067-1072.
[PDF] |
|
GENTILE, D.A. & ANDERSON, C.A. (2009). How are other
first-world nations suppressing the adverse consequences
of violence and youth sex in the modern media environment
? Pediatrics, 123, 364-365. [PDF] |
ANDERSON, C.A. & MORROW, M. (1995). Competitive
aggression without interaction : Effects of competitive
versus cooperative instructions on aggressive behavior in
video games. Personality & Social Psychology
Bulletin, 21, 1020-1030. |
PRYBYLSKI, A.K., RYAN, R.M. & RIGBY, C.S. (2009). The
motivating role of violence in video games. Personality
& Social Psychology Bulletin, 35, 243-259. [PDF] |
|
SWING, E., GENTILE, D.A., ANDERSON, C.A. & WALSH, D.A.
(2010). Television and video game exposure and the
development of attention problems. Pediatrics, 126,
214-221. [PDF] |
|
OXFORD, J., PONZI, D. & GEARY, D.C. (2010). Hormonal
responses differ when playing violent video games against
an ingroup and outgroup. Evolution & Human
Behavior, 31, 201-209. |
|
FERGUSON, C.J. (2010). Media violence effects and violent
crime good science or moral panic ? In C.J. Ferguson
(Dir.), Violent crime : Clinical and social
implications (pp. 37-56). Sage Publications.
[PDF] |
|
BUSHMAN, B.J., ROTHSEIN, H.R. & ANDERSON, C.A. (2010).
Much ado about something : Violent video game effects and
a school of red herring : Reply to Ferguson and Kilburn
(2010). Psychological Bulletin, 136 (2),
182-187. [PDF] |
|
HUESMANN, L.R. (2010). Nailing the coffin shut on doubts
that violent video games stimulate aggression : Comment on
Anderson. Psychological Bulletin, 136, 179-181.
[PDF] |
|
SWING, E., GENTILE, D.A., ANDERSON, C.A. & WALSH, D.A.
(2010). Television and video game exposure and the
development of attention problems. Pediatrics, 126,
214-221.
[PDF] |
|
ANDERSON, C.A., SHIBUYA, A., IHORI, N., SWING, E.L.,
BUSHMAN, B.J., SAKAMATO, A., ROTHSTEIN, H.R., SALEEM, M.
& BARLETT, C.P. (2010). Violent video game effects on
aggression, empathy, and prosocial behavior in Eastern and
Western countries : A meta-analytic review.
Psychological Bulletin, 136 (2), 151-173. [PDF] |
|
HASAN, Y., BÈGUE, L. & BUSHMAN, B.J. (2012). Viewing
the world through "blood-red tinted glasses" : The hostile
expectation bias mediates the link between violent video
game exposure and aggression. Journal of Experimental
Social Psychology, 48, 953-956. [PDF] |
POTTER, W.J., VAUGHAN, M.W., WARREN, R., HOWLEY, K., LAND,
A. & HAGEMEYER, J.C. (1995). How real is the portrayal
of aggression in television entertainment programming ? Journal
of Broadcasting & Electronic Media, 39,
496-516. |
RODRIGUEZ-FRANCO, L., ANTUNA-BELLERIN, M.,
LOPEZ-CEEPRO-BORREGO, J., RODIGUEZ-DIAZ, F.-J. &
BRINGAS-MOLLEDA, C. (2012). Tolerance towards dating
violence in Spanish adolescents. Psicothema, 24
(2), 236-242.
[PDF] |
 |
|
 |
Voir aussi Télévision,
Internet, Violence
ou Jeux vidéo |
 |
|
Violence scolaire : Violence
à l'école : Violence à l'école,
généralement entre les élèves/étudiant-e-s.
| |
|
OLWEUS, D. LIMBER, S. & MIHALIC, S. (1999). The
bullying prevention program : Blueprints for violence
prevention. Boulder, CO : Center for the Study
and Prevention of Violence. |
OLWEUS, D. (1999). Violences entre élèves,
harcèlements et brutalités. Éditions ESF. |
FURLONG, M. & MORRISON, G. (2000). The school in
school violence : Definitions and facts. Journal of
Emotional & Behavioral Disorders, 8 (2),
71-82. |
OSHER D. & DWYER, K. (2006). Safe, supportive, and
effective schools : Promoting school success to reduce
school violence. In S.R. Jimerson & M.J. Furlong
(Eds.), Handbook of school violence and school
safety : From research to practice (pp. 51-71).
Mahwah, NJ : Erlbaum. |
|
Voir aussi Harcèlement
scolaire, École
et Violence |
 |
 |
|
Violence
à la télévision : Voir Représentation de la violence.
Television violence, violent media, video game
violence.
|
Violence
& Victims : Revue
scientifique multidisciplinaire qui consacre ses pages à
l'étude de la violence et à ses
conséquences sur les victimes. Éditeur :
Springer.
MARGOLIN, G. & GORDIS, E.B. (2003). Co-occurrence
between marital aggression and parents’ child abuse
potential : The impact of cumulative stress. Violence
& Victims, 18, 243-258.
|
|
 |
|
Violence conjugale : Violence
manifestée au sein du couple,
la plupart du temps par un homme envers sa femme/conjointe ou de
son conjoint (dans le cas des couples homosexuels). Violence
conjugale, viol et
syndrome de la
femme battue. = violence dans le
couple, femme battue, femme maltraitée.
Battered women, marital violence, Intimate violence, spousal
assault.
| |
|
STAR, B. (1978). Comparing battered and non-battered
women. Victimology, 3, 32-44. |
MECHANIC, M.B., WEAVER, T.L. & RESICK, P.A.
(2000). Intimate partner violence and stalking behavior :
Explorations of patterns and correlates in a sample of
acutely battered women. Violence & Victims,
15, 55–72. |
DOBASH, R.E. & DOBASH, R.P. (1978). Wives : The
appropriate victims of marital violence. Victimology :
An International Journal, 2, 426-442. |
HEISE, L. & GARCIA-MORENO, C. (2002). La violence
exercée par des partenaires intimes. Dans E.G. Krug, L.L.
Dahlberg, J.A. Mercy, A. Zwi & R. Lozano-Ascencio
(Dirs.), Rapport mondial sur la violence et la santé
(p. 97-135). Genève : Organisation mondiale de la santé. |
|
BOURASSA, C. (2003). La relation entre la violence
conjugale et les troubles de comportement à l'adolescence
: les effets médiateurs des relations parents-adolescent.
Service social, 50 (1), 30-56. |
WALKER, L.E. (1979). The battered woman. New
York : Harper and Row. |
ANDERSON, C.A., BERKOWITZ, L., DONNERSTEIN, E., HUESMANN,
L.R., JOHNSON, J.D., LINZ, D., MALAMUTH, N.M. &
WARTELLA, E. (2003). The influence of media violence on
youth. Psychological Science in the Public Interest,
4 (3), 81-110.
[PDF] |
STRAUS, M.A. & HOTALING, G.T. (1980). The social
causes of husband-wife violence. Minneapolis, MN:
University of Minnesota Press. |
|
ROSENBAUM, A. & O'LEARY, K.D. (1981). Children : The
unintended victims of marital violence. American
Journal of Orthopsychiatry, 51, 692-699. |
|
PAGELOW, M.D. (1981). Women-battering : Victims and
their experiences. Beverly Hills, CA : Sage
Publications. |
STRAUS, M.A. (2004). Prevalence of violence against dating
partners by male and female university students worldwide.
Violence Against Women, 10 (7), 790-811. |
WALKER, L.E. (1984). The battered woman syndrome.
New York : Springer Publishing. |
ELLIOTT, D.M., MOK, D.S. & BRIERE, J. (2004). Adult
sexual assault : Prevalence, symptomatology, and sex
differences in the general population. Journal of
Traumatic Stress, 17, 203-211. [PDF] |
 |
BLAIR, K.A. (1986). The battered woman : Is she a silent
victim ? Nurse Practitioner : American Journal of
Primary Health Care, 11, 38-47. |
BRZOWSKI, J.-A. (2004). Violence conjugale. Dans
Brzozowski, J.-A. (Dir.), La violence familiale au
Canada : un profil statistique 2004 (p. 6-18).
Ottawa : Centre canadien de la statistique juridique. |
SCHWARTZ, M. (1987). Gender and injury in spousal assault.
Sociological Focus, 20, 61-75. |
BOURASSA, C. (2004). La perception du soutien des amis
chez les jeunes exposés à la violence conjugale et les
troubles de comportement. Service social, 51
(1), 14-29. |
CARLSON, B.E. (1990). Adolescent observers of marital
violence. Journal of Family Violence, 5,
285-299. |
HARISSON, D. et BOURASSA, C. (2005). L'isolement vécu par
les femmes victimes de violence conjugale de la part de
leur conjoint militaire. Revue Canadienne des Écoles
de Service Social, 2 (1), 53-70. |
ANDREWS, B. & BREWIN, C.R. (1990). Attributions of
blame for marital violence : A study of antecedents and
consequences. Journal of Marriage & the Family,
52, 757-767. |
FRIEZE, I.H. (2005). Female violence
against intimate partners : An introduction. Psychology
of Women Quarterly, 29 (3), 229–237. |
JOURILES, E.N. & LECOMPTE, S.H. (1991). Husbands’
aggression toward wives and mothers and fathers’
aggression toward children : moderating effects of child
gender. Journal of Consulting & Clinical
Psychology, 59, 190-192. |
DAMANT, D. et GUAY, F. (2005). La question de la symétrie
dans les enquêtes sur la violence dans le couple et les
relations amoureuses. Canadian Review of Sociology
& Anthropology, 42 (2), 125-144. |
STERNBERG, K.J., LAMB, M.E., GREENBAUM, C.,CICCHETI, D.,
DAWUD, S., CORTES, R.M., KRISPIN, O. & LOREY, F.
(1993). Effects of domestic violence on children's
behavior problems and depression. Developmental
Psychology, 29, 44-52. |
HIRIGOYEN, M.-F. (2005). Femmes sous emprise : les
ressorts de la violence dans le couple. Paris :
OH! Éditions. |
STERNBERG, K.J., LAMB, M.E., GREENBAUM, C., DAWUD, S.,
CORTES, R.M. & LOREY, F. (1994). The effects of
domestic violence on children's perceptions of their
perpetrating and nonperpetrating parents.
International Journal of Behavioral Development, 17, 779-795. |
BOURRASSA, C. (2010). La complexité et la pluralité des
expériences maternelles en contexte de violence conjugale.
Enfance, Familles et Générations, 12, 111-126. |
HOLTZWORTH-MUNROE, A., BATES, L., SMUTZLER, N. &
SANDIN, E.A. (1997). Brief review of the research on
husband violence. Part I : Maritally violent versus
nonviolent men. Aggression & Violent Behavior, 2
(1), 65-99. |
LAVERGNE, C., DAMANT, D. CLÉMENT, M.-È., BOURASSA, C.,
LESSARD, G. et TURCOTTE, P. (2011). Cooccurrence de
violence conjugale et de maltraitance envers les enfants :
Facteurs individuels et familiaux associés. La Revue
Internationale de l’Éducation Familiale, 29, 37-62. |
|
RENNER, L., HABIB, L., STROMQUIST, A.M. & PEEK-ASA, C.
(2014). The association of intimate partner violence and
depressive symptoms in a cohort of rural couples. Journal
of Rural Health, 30 (1), 50-58. |
GELLES, R. & STRAUS, M.A. (1988). Intimate
violence : The causes and consequences of abuse in the
American family. New York, NY : Simon &
Schuster |
RENNER, L.M. & HARTLEY, C.C. (2021). Psychological
well-being among women who have experienced intimate
partner violence and received civil legal services.
Journal of Interpersonal Violence, 36 (7-8)
3688-3709. |
 |
|
Voir aussi Violence,
Violence contre
les femmes, Hébergement
d'urgence et Syndrome
de la femme battue |
|
 |
|
Violence contre les femmes :
Violence à l'endroit des femmes,
souvent commise par un proche (conjoint, frère, patron, etc.).
Violence against women, intimate partner violence, IPV, domestic violence.
| |
|
DONNERSTEIN, E. (1980). Pornography and violence against
women : experimental studies. Annals of the New York
Academy of Science, 347 (1), 277-288. |
MULIN, C.R. & LINZ, D. (1995). Desensitization and
resensitization to violence against women : Effects of
exposure to sexually violent films on judgments of
domestic violence victims. Journal of Personality
& Social Psychology, 69, 449-459. |
STRAUS, M.A. & HOTALING, G.T. (1980). The social
causes of husband-wife violence. Minneapolis, MN:
University of Minnesota Press. |
|
MALAMUTH, N.M. & CHECK, J.V.P. (1981). The effects of
mass media exposure on acceptance of violence against
women : a field experiment. Journal of Research in
Personality, 15, 436-446. [PDF] |
BARONGAN, C. & HALL, G.C.N. (1995). The influence of
misogynous rap music on sexual aggression against women. Psychology of Women Quarterly, 19, 195-207. [PDF] |
DONNERSTEIN, E. & BERKOWITZ, L. (1981). Victim
reactions in aggressive erotic films as a factor in
violence against women. Journal of Personality &
Social Psychology, 41, 710-724. |
TJADEN, P. & THOENNES, N. (1998). Prevalence,
incidence, and consequences of violence against women :
Findings from the national violence against women survey.
National Institute of Justice Centers for Disease
Control & Prevention, 1-16. [PDF] |
MALAMUTH, N.M. & CENETI, J. (1986). Repeated exposure
to violent and nonviolent pornography: Likelihood of
raping ratings and laboratory aggression against women. Aggressive
Behavior, 12, 129-137. |
GARCIA-MORENO, C. & WATTS, C. (2000). Violence against
women : Its importance for HIV/AIDS. AIDS, 14 (3),
253-265. |
PETERSON, D.L. & PFOST, K.S. (1989). Influence of rock
videos on attitudes of violence against women. Psychological
Reports, 64, 319-322. |
RUSSO, N.F. & DENIOUS, J.E. (2001). Violence in the
lives of women having abortions : Implications for public
policy and practice. Professional Psychology :
Research & Practice, 32 (2), 142-150. |
|
FELSON, R. B. (2002). Violence & gender
reexamined. Washington, DC : American Psychological
Association. |
|
BRIÈRE, J. & JORDAN, C.E. (2004). Violence against
women : Outcome complexity and implications for treatment.
Journal of Interpersonal Violence, 19, 1252-1276.
[PDF] |
ST. LAWRENCE, J.S. & JOYNER, D.J. (1991). The effects
of sexually violent rock music on males' acceptance of
violence against women. Psychology of Women
Quarterly, 15, 49-63. |
RUSSO, N.F. & PIRLOTT, N. (2006). Gender-based
violence : Concepts, methods, and findings. Annals of
the New York Academy of Sciences, 1087, 178-205. |
CRENSHAW, K. (1991). Mapping the margins :
intersectionality identity politics, and violence against
women color. Stanford Law Review, 43, 1241-1299
/ Cartographie des marges : Intersectionnalité, politiques
de l'identité et violences contre les femmes de couleur. Les
Cahiers du Genre, 39, 51-82. [PDF]
+ [PDF]
|
WAKABI, W. (2007). Africa battles to make female genital
mutilation history. The Lancet, 369 (9567),
1069-1070. |
|
GILROY, P.J. & CARROLL, L. (2009). Woman to woman
sexua lviolence. Women & Therapy, 32, 423-435.
[PDF] |
|
BAILEY, B.A. (2010). Partner violence during pregnancy :
prevalence, effects, screening, and management. International
Journal of Women's Health, 2, 183-197. [PDF] |
|
RUTHERFORD, A. (2011). Sexual violence against women :
Putting rape research in context. Psychology of Women
Quarterly, 35 (2), 342-347. |
|
ULESTER, D., BATHRICK, D. & PERRY, P.A. (2012).
Deconstructing male violence against women. Violence
Against Women, 14 (2), 247-261. |
|
RENNER, L., CAVANAUGH, C.E. & EASTON, S.D. (2015).
Pathways linking violence against women, depression,
personal mastery, and perceived parenting competence. Journal
of Child & Family Studies, 24 (9), 2817-2826. |
|
BERGERON, M., HÉBERT, M., RICCI, S., GOYER, M.-F.,
DUHAMEL, N., KURTZMAN, L., AUCLAIR, I., CLENNETT-SIROIS,
L., DAIGNEAULT, I., DAMANT, D., DEMERS, S., DION, J.,
LAVOIE, F., PAQUETTE, G. et PARENT, S. (2016). Violences
sexuelles en milieu universitaire au Québec : Rapport de
recherche de l'enquête ESSIMU. Montréal :
Université du Québec à Montréal. [PDF] |
|
Voir Syndrome
de la femme battue, Viol,
Violence conjugale, Prostitution
et Violence |

|
 |
|
Violence contre les jeunes :
Violence faite à l'endroit des jeunes
et des adolescents.
Violence against children.
| |
|
JOURILES, E.N. & LECOMPTE, S.H. (1991). Husbands'
aggression toward wives and mothers and fathers'
aggression toward children : moderating effects of child
gender. Journal of Consulting & Clinical
Psychology, 59, 190-192. |
DEMERS, L. (1998). Les programmes de prévention de la
violence chez les jeunes. Dans La violence...
l'affaire de qui ? Montréal : Actes du
Colloque/Les Centres jeunesse de Montréal. |
MARGOLIN, G. (1998). The effects of domestic violence on
children. In P.K. Trickett & C. Schellenbach (Eds.), Violence
against children in the family and the community
(pp. 57-102). Washington, DC : APA. |
MARGOLIN, G. & GORDIS, E.B. (2000). The effects of
family and community violence on children. Annual
Review of Psychology, 51, 445-479. |
FANTUZZO, J.W. & LINDQUIST, C.U. (1989). The effects
of observing conjugal violence on children : A review and
analysis of research methodology. Journal of Family
Violence, 4, 77-94. |
OSOFSKY, J.D. (2003). Prevalence of children's exposure to
domestic violence and child maltreatment : implications
for prevention and intervention. Clinical Child &
Family Psychology Review, 6, 161-170. [PDF] |
|
RODKIN, P.C. & FISCHER, K. (2003). Sexual harassment
and the cultures of childhood : Developmental, domestic
violence, and legal perspectives. Journal of Applied
School Psychology, 19, 177-196. |
STERNBERG, K.J., LAMB, M.E., GREENBAUM, C.,CICCHETI, D.,
DAWUD, S., CORTES, R.M., KRISPIN, O. & LOREY, F.
(1993). Effects of domestic violence on children's
behavior problems and depression. Developmental
Psychology, 29, 44-52. |
MARGOLIN, G. (2004). Children's exposure to violence :
Exploring developmental pathways to diverse outcomes. Journal
of Interpersonal Violence, 20, 72-81. |
STERNBERG, K.J., LAMB, M.E., GREENBAUM, C., DAWUD, S.,
CORTES, R.M. & LOREY, F. (1994). The effects of
domestic violence on children's perceptions of their
perpetrating and nonperpetrating parents.
International Journal of Behavioral Development, 17, 779-795. |
JARVIS, K.L., GORDON, E.E. & NOVACO, R.W. (2005).
Psychological distress of mothers and children in domestic
violence emergency shelters. Journal of Family
Violence, 20, 389-402. [PDF] |
|
Voir aussi Agression
sexuelle d'enfant,
Maltraitance, Violence
familiale et Violence |
|
 |
|
Violence contre les personnes âgées : Violence
faite à l'endroit des personnes
âgées.
Violence against elderly people,
elder abuse.
| |
|
IJAS, M.L. (1992). Abuse in old age : Epidemiological data
from Finland. Journal of Elder Abuse & Neglect,
4 (3), 1-18. |
|
BENNETT, G.C.J. (1992). Elder Abuse in Britain. British
Medical Journal, 303, 998-999. |
DYER, C.B. (2001). Quantifying the problem of elder abuse
and neglect in adults : Analysis of a statewide database.
In Journal of the American Geriatrics Society, 49
(1), 45-48. |
CAMMER-PARIS, C.E. (1996). Violence against elderly
people. Mount Sinai Journal of Medicine, 63 (2),
97-100. Cammer Paris BE1. |
ARAI, M. (2006). Elder abuse in Japan. Educational
Gerontology, 32, 13-23. |
FINKELHOR, D. (1998). The prevalance of elder abuse : A
random sample survey. The Gerontologist, 28
(1), 51-57. |
BACHMAN, R. & MELOY, M.L. (2008). The epidemiology of
violence against the elderly : implications for primary
and secondary prevention. Journal of Contemporary
Criminal Justice, 24 (2), 186-197. |
JONKER, C. (1998). Elder abuse in the community:
Prevalance and consequences. Journal of the American
Geriatrics Society, 46, 885-888. |
LAHE, D. (2012). Research on abuse and violence against
the elderly in a family setting. Acta Technologica
Dubnicae, 1 (2), 16-28. [PDF] |
|
 |
Voir aussi
Maltraitance, Vieil
adulte et Violence |
 |
|
Violence familiale : Violence
manifestée par des parents
envers leurs enfants.
Violence familiale, femme
maltraitée et syndrome
de l'enfant battu. Domestic violence,
parental violence, battered child syndrome.

| |
|
MOORE J.G. (1975). Yo-yo children : Victims of matrimonial
violence. Child Welfare, 54, 557-566. |
MARGOLIN, G. & GORDIS, E.B. (2000). The effects of
family and community violence on children. Annual
Review of Psychology, 51, 445-479. |
PFOUTS, J.H. (1978). Violent families : Coping responses
of abused wives. Child Welfare, 57, 101-111. |
FINCHAM, F.D. (2000). Family violence : A challenge for
behavior therapists. Behavior Therapy, 31, 685-694. |
GENTRY, C.E. & EADDY, V.B. (1980). Treatment of
children in spouse abusive families. Victimology,
2-4, 240-250. |
BURGESS, R.L., LEONE, J.M. & LEINBAUM, S.M. (2000).
Social and ecological issues in violence toward children.
In R. T. Ammerman & M. Hersen (Eds.), Case studies
in family violence (pp. 15-38). New York : Plenum. |
ELBOW, M. (1982). Children of violent marriage : The
forgotten victim. Social Casework, 8, 465- 468. |
MARGOLIN, G. & GORDIS, E. (2000). The effects of
family and community violence on children. Annual
Reviews Psychology, 51, 445-479. |
|
HUTH-BOCKS, A.C., LEVENDOSKY, A.A. & SEMEL, M.A.
(2001). The direct and indirect effects of domestic
violence on young children's intellectual functioning.
Journal of Family Violence, 16, 269-290. |
SKIFFINGTON, S.T., BELL, B.O. & OLASOV, B. (1983).
Empathy effects on perception of persons involved in
domestic violence. Family Therapy, 10, 253-264. |
O'LEARY, K.D. & MAIURO, R.D. (2001). Psychological
abuse in domestically violent relationships. Sage :
Newbury Park, CA. |
KEMPE, C.H., SILVERMAN, F.N., STEELE, B.F., DROEGEMULLER,
W. & SILVER, H.K. (1985). The battered child syndrome.
Child Abuse & Neglect, 9, 143-154. |
HEISE, L. & GARCIA-MORENO, C. (2002). La violence
exercée par des partenaires intimes. Dans E.G. Krug, L.L.
Dahlberg, J.A. Mercy, A. Zwi & R. Lozano-Ascencio
(Dirs.), Rapport mondial sur la violence et la santé
(p. 97-135). Genève : Organisation mondiale de la santé. |
WOLFE, D.A., ZAK, L., WILSON, S.K. & JAFFE, P.G.
(1986). Child witnesses to violence between parents :
Critical issues in behavioral and social adjustment. Journal
of Abnormal Child Psychology, 14, 95-104. |
MARGOLIN, G., GORDIS, E.B., MEDINA, A.M. & OLIVER, P.
(2003). The co-occurrence of husband-to-wife aggression,
family-of-origin aggression, and child abuse potential in
a community sample. Journal of Interpersonal
Violence, 18, 413-440. |
JAFFE, P. G., WOLFE, D.A., WILSON, S.K. & ZAK, L.
(1986). Similarities in behavioral and social
maladjustment among child victims and witnesses to family
violence. American Journal of Orthopsychiatry, 56,
142-146. |
WOLFE, D.A., CROOKS, C.V., LEE, V., MCINTYRE-SMITH, A.
& JAFFE, P.G. (2003). The effects of children's
exposure to domestic violence : A meta analysis and
critique. Clinical Child & Family Psychology
Review, 6, 171-187. |
|
KAUFMAN-KANTOR, G. & LITTLE, L. (2003). Defining the
boundaries of child neglect : When does domestic volence
equate with failure to protect ? Journal of
Interpersonal Violence, 18 (4) 338-355.
|
DAVIS, L.V. & CARLSON, B.E. (1987). Observations of
spouse abuse : What happens to the children ? Journal
of Interpersonal Violence, 2, 278-291. |
OSOFSKY, J.D. (2003). Prevalence of children's exposure to
domestic violence and child maltreatment : implications
for prevention and intervention. Clinical Child &
Family Psychology Review, 6, 161-170. [PDF] |
GOODMAN, G.S. & ROSENBERG, M.S. (1987). The child
witness to family violence : Clinical and legal
considerations. In D.J. Sonkin (Ed.). Domestic
violence on trial (pp. 97-126). New York :
Springer. |
MARGOLIN, G. & GORDIS, E.B. (2004). Children's
violence exposure in the family and community. Current
Directions in Psychological Science, 13 (4),
152-155. [PDF] |
HUGHES, H.M. (1988). Psychological and behavioral
correlates of family violence in child witnesses and
victims. American Journal of Orthopsychiatry, 58,
77-90. |
MARGOLIN, G. (2004). Children's exposure to violence :
Exploring developmental pathways to diverse outcomes. Journal
of Interpersonal Violence, 20, 72-81.
[PDF] |
BURGESS, R.L. & DRAPER, P. (1988). A biosocial theory
of family violence : The role of natural selection,
ecological instability, and coercive interpersonal
contingencies. In L. Ohlin & M.H. Tonry (Eds.),
Crime and justice : An annual review of research,
(Vol. 11, pp. 59-116). Chicago : University of Chicago
Press. |
JARVIS, K.L., GORDON, E.E. & NOVACO, R.W. (2005).
Psychological distress of mothers and children in domestic
violence emergency shelters. Journal of Family
Violence, 20, 389-402. [PDF] |
 |
STAGG, V., WILLS, G.D. & HOWELL, M. (1989).
Psychopathology in early childhood witnesses of family
violence. Topics in Early Childhood Special Education,
9, 73-87. |
DAMANT, D. et GUAY, F. (2005). La question de la symétrie
dans les enquêtes sur la violence dans le couple et les
relations amoureuses. Canadian Review of Sociology
& Anthropology, 42 (2), 125-144. |
FANTUZZO, J.W. & LINDQUIST, C.U. (1989). The effects
of observing conjugal violence on children : A review and
analysis of research methodology. Journal of Family
Violence, 4, 77-94. |
HAM-ROWBOTTOM, K.A., JARVIS, K.L., GORDON, E.E. &
NOVACO R.W. (2005). Life constraints and psychological
well-being of domestic violence shelter graduates.
Journal of Family Violence, 20 (2), 109-121. [PDF] |
CARLSON, B.E. (1990). Adolescent observers of marital
violence. Journal of Family Violence, 5, 285-299.
|
BOURRASSA, C. (2006). L'exposition à la violence
psychologique et verbale et son effet sur le comportement
des adolescents. Le Journal International de
Victimologie, 4 (13). |
DAVIES, D. (1991). Intervention with male toddlers who
have witnessed parental violence. Families in
Society, 72, 515-524. |
BOGAT, G.A., DEJONGHE, E., LEVENDOSKY, A.A., DAVIDSON,
W.S. & VON EYE, A. (2006). Trauma symptoms among
infants exposed to intimate partner violence. Child
Abuse & Neglect, 30, 109-125. [PDF] |
JOURILES, E.N. & LECOMPTE, S.H. (1991). Husbands’
aggression toward wives and mothers and fathers’
aggression toward children : moderating effects of child
gender. Journal of Consulting & Clinical
Psychology, 59, 190-192. |
HAMEL, J. & NICHOLLS, T. (Eds.) (2006). Family
interventions in domestic violence : A handbook of
gender-inclusive theory and treatment. Springer
Publishing Co. |
FANTUZZO, J.W., DEPAOLA, L.M., LAMBERT, L., MARTINO, T.,
ANDERSON, G. & SUTTON, S. (1991). Effects of
interparental violence on the psychological adjustment and
competencies of young children. Journal of Consulting
& Clinical Psychology, 59, 258- 265. |
JARVIS, K.L. & NOVACO, R.W. (2006). Post-shelter
adjustment of children from violent families. Journal
of Interpersonal Violence, 21, 1046-1062. |
BERRIOS, D.C. & GRADY, D. (1991). Domestic violence :
Risk Factors and outcomes. The Western Journal of
Medicine, 155, 133-135. |
BOURRASSA, C. (2007). Co-occurrence of interparental
violence and child physical abuse and its effect on the
adolescents' behaviour. Journal of Family Violence,
22 (8), 691-701. |
O’KEEFE, M. (1996). The differential effects of family
violence on adolescent adjustment. Child &
Adolescent Social Work Journal, 13, 51-68. |
EVANS, S.E., DAVIES, C. & DILILLOA, D. (2008).
Exposure to domestic violence : A meta-analysis of child
and adolescent outcomes. Aggression & Violent
Behavior, 13 (2), 131-140. |
GELLES, R. & STRAUS, M.A. (1988). Intimate
violence : The causes and consequences of abuse in the
American family. New York, NY : Simon Schuster |
|
JACOBSON, N.S. & GOTTMAN, J.M. (1998). When men
batter women : New insights into ending abusive
relationships. New York : Simon & Schuster. |
KENNEDY, A.C., BYBEE, D., SULLIVAN, C.M. & GREESON, M.
(2010). The impact of family and community violence on
children's depression trajectories : Examining the
interactions of violence exposure, family social support,
and gender. Journal of Family Psychology, 24 (2),
197-207. [PDF] |
FANTUZZO, J.W. & MOHR, W.K. (1999). Prevalence and
effects of child exposure to domestic violence. The
Future of Children, 9, 21-32. [PDF] |
OEHME, K., THYER, B.A. & MYERS, L.L. (2011). Stopping
domestic violence in families. In C. Franklin & R.
Fong (Eds.), Church leaders' counseling resource book
: mental health and social problems (pp. 231-245).
New York : Oxford University Press. |
O'LEARY, K.D. (1999). Psychological abuse : A variable
deserving critical attention in domestic violence. Violence
& Victims, 14, 3–23. |
RENNER, L. & BOEL-STUDT, S. (2017). Physical family
violence and externalizing and internalizing behaviors
among children and adolescents. American Journal of
Orthopsychiatry, 87 (4), 474-486. |
 |
|
Voir aussi Femme
maltraitée, Violence/femmes,
Violence/jeunes, Violence
conjugale et
Syndrome de l'enfant battu |
|
 |
|
Violence raciale : Violence ethnique : Ensemble des violences, incluant le viol, commise
par un groupe à l'endroit d'une autre ethnique.Violence raciale et racisme.
Racial
violence.
| |
|
JOHNSON, J.D., ADAMS, M.S., HALL, W. & ASHBURN, L.
(1997). Race, media, and violence : Differential racial
effects of exposure to violent news stories. Basic
& Applied Social Psychology, 19 (1), 81-90. |
BLEE, K.M. (2005). Racial violence in the United State. Ethnic & Racial Studies, 28 (4), 599-619. |
|
|
Voir aussi Racisme |
 |
 |
|
|
|
Violence sexuelle : Ensemble des violences, incluant le viol, commise à
l'endroit de son-sa partenaire sexuelle. Violence
sexuelle et conjugale.
| |
|
LINZ, D. (1987). Sexual violence in the mass media :
Social psychological implications. In
P. Shaver & C. Hendrick (Eds.), Sex and gender
(pp. 95–123). Sage Publications, Inc.
|
DONNERSTEIN, E., LINZ, D. & PENROD, S. (1994). Sexual
violence in the mass media. In S. Oskamp and M. Costanzo
(Eds), Violence and the law (pp. 9-36). Newbury
Park, CA : Sage Publications. |
FELSON, R.B. (2002). Violence & gender
reexamined. Washington, DC : American Psychological
Association. |
FRIEZE, I.H. (2005). Female violence against
intimate partners : An introduction. Psychology of
Women Quarterly, 29 (3), 229–237.
|
McHUGH, M.C., LIVINGSTON, N.A. & FORD, A. (2005). A
postmodern approach to women's use of violence :
Developing multiple and complex conceptualizations. Psychology
of Women Quarterly, 29, 323–336. |
|
Voir aussi Partenaire
sexuelle et Viol
|
 |
 |
|
|
|
Violeur : Individu qui commet un viol.
Rapist.
| |
|
KRULEWITZ, J. & PAYNE, E. (1978). Attributions about
rape : Effects of rapist force, observer sex and sex role
attitudes. Journal of Applied Social Psychology, 8,
291-305. |
ABEL, G.G., BLANCHARD, E.B. & BECKER, J.V. (1978). An
integrated treatment program for rapists. In R.T. Rada
(Ed.), Clinical aspects of the rapist. (pp.
161-214). New York : Grune et Stratton. |
L'ARAMAND, K. & PEPITONE, A. (1982). Judgments of rape
: A study of victim rapist relationship and victim sexual
history. Personality & Social Psychology
Bulletin, 8, 134-139. |
 |
 |
|
Virchow
Rudolf Ludwig Karl (Schivelbein Allemagne (aujourd'hui
en Pologne) 1821-1902 Berlin) : Chirurgien et physiologiste
allemand, spécialisé en histopathologie (pathologie des tissus).
Il a découvert les globules blancs. On lui doit aussi l'idée que
les nouvelles cellules proviennent des vieilles cellules ou « Omnis
cellula ex cellula». Étudiant de Müller.

|
Virginité :
Virginity.
| |
|
FREUD, S. (1918). The taboo of virginity. Standard
Edition, 10, 191-208. |
JESSOR, S.L. & JESSOR, R. (1975). Transition from
virginity to nonvirginity among youth : A social
psychological study over time. Developmental
Psychology, 11, 473-484. |
TOUHEY, J.C. (1971). Birth order and virginity. Psychological
Reports, 28, 894. [PDF] |
YOUNG, M. (1986). Religiosity and satisfaction with
virginity among college men and women. Journal of
College Student Personnel, 27, 339-344. |
SPRECHER, S. & REGAN, P.C. (1996). College virgins :
How men and women perceive their sexual status. The
Journal of Sex Research, 33 (10), 3-15. [PDF] |
 |
 |
|
Virtual Reality : Research, Development & Application : Revue
scientifique de psychologie qui consacre ses pages à la psychanalyse.
Éditeur : Springer.
HOFFMAN, H.G., HOLLANDER, A., SCHROEDER, K., ROUSSEAU,
S. & FURNESS, T.A. (1998). Physically touching
and tasting virtual objects enhances the realism of
virtual experiences. Virtual Reality : Research,
Development & Application, 3, 226-234.
|
| |
 |
|
Virués-Ortega
Javier ( ) : Psychologue
béhavioriste
nouveau-zélandais, spécialiste de l'étude et du traitement de l'automutilation.
Collaborateur de Iwata
 |
VIRUÈS-ORTEGA, J. (2010). Applied behavior analytic
intervention for autism in early childhood :
meta-analysis, meta-regression and dose-response
meta-analysis of multiple outcomes. Clinical
Psychology Review, 10 (4), 387-399. |
VIRUÈS-ORTEGA, J., JULIO, F.H. & PASTOR-BARRIUSO, R.
(2013). The TEACCH program for children and adults with
autism : a meta-analysis of intervention studies. Clinical
Psychology Review, 33 (8), 940-953. |
VIRUÈS-ORTEGA, J., RODRIGUEZ, V. & YU, C.T. (2013).
Prediction of treatment outcomes and longitudinal analysis
in children with autism undergoing intensive behavioral
intervention. International Journal of Clinical &
Health Psychology, 13 (2), 91-100.
|
VIRUÈS-ORTEGA, J., CLAYTON, K., PÉREZ-BUSTANATE, J.,
GAERLAN, B. & FAHMIE, T.A. (2022). Functional analysis
patterns of automatic reinforcement : A review and
component analysis of treatment effects. Journal of
Applied Behavior Analysis, 55 (2), 481–512. |
VIRUÈS-ORTEGA, J. PÉREZ-BUSTANATE, J., MOEYAERT, M.N.,
KRAUSE, M., TARIFA-RODRIGUEZ, A., TRUJILO, C. &
SIVARAMAN, M. (2023). Reducing face touching through
haptic feedback : A treatment evaluation against
fomite-mediated self-infection. Journal of Applied
Behavior Analysis, 56, 549-564. [PDF]
|
 |
 |
|
Virus : Viral : Famille de micro-organisme à l'origine de
certaines maladies
biologiques. Les virus ont au moins deux propriétés : la
transmissibilité ou le taux de contagion (j'infecte une personne,
deux, trois, quatre...) et la virulence ou le pouvoir pathogène du
virus (qui va d'un simple symptôme jusqu'à la mort). À ce propos,
Delvecchio disait : «Chez nos lointains ancêtres Sapiens, c'est
vers les dieux que nos congénères apeurés se tournaient pour
comprendre la mort rapide et mystérieuse des habitants de tout un
village. Aujourd'hui, il faut compter sur la science pour
combattre ce mal et nous redonner espoir».
( ) coronavirus, adénovirus.
Virus.
| |
|
WOOD, M.J. (2018). Propagating and debunking conspiracy
theories on Twitter during the 2015-2016 Zika virus
outbreak. Cyberpsychology, Behavior, & Social
Networking, 21 (8), 485-490. [PDF] |
McLAREN, O.A., ORTON, R.J., SINGER, J.B. & ROBERTSON, D.L. (2020). No evidence for distinct types in the
evolution of SARS-CoV-2. Virus Evolution, 6 (1),
1-6. [PDF] |
FREEMAN, D., WAITE, F., ROSEBROCK, L., PETIT, A., CAUSIER, C., EAST, A. & LAMBE, S. (2020). Coronavirus conspiracy beliefs, mistrust, and compliance with government guidelines in England. Psychological Medicine, 21, 1-13. |
|
 |
Voir aussi Maladie biologique, Épidémie
et Vaccin |
 |
|
Virus d'Immunodéficience Humaine : VIH : Il
s'agit d'un rétrovirus qui attaque et désorganise le système immunitaire, causant ainsi une maladie chronique progressive que l'on appelle le sida,
maladie qui rend les gens vulnérables aux infections et aux cancers.
Il convient de préciser que tous les porteurs de ce virus
(personnes dites séropositives) ne développent pas la maladie.
= séropositif au sida, séropositif. *sida.
Human Immunodeficiency
Virus, HIV.

| |
|
BARRÉ-SINOUSSI, F., CHERMANN, J.C., REY, F., NUGEYRE,
M.T., CHAMARET, S., GRUEST, J., DAUGUET, C., AXLER-BLIN,
C., VÉZINET-BRUN, F., ROUZIOUX, C., ROZENBAUM, W. &
MONTAGNIER, L. (1983). Isolation of a T-lymphotropic
retrovirus from a patient at risk for acquired immune
deficiency syndrome (AIDS). Science, 220 (4599),
868-871. |
DURANTINI, M.R., ALBARRACIN, D., EARL, A.N. &
MITCHELL, A.L. (2006). Conceptualizing the influence of
social agents of change : A meta-analysis of HIV
prevention interventions for different groups. Psychological
Bulletin, 132, 212-248. |
FULLER, A.K. & BARTUCCI, R. (1988). HIV transmission
and childhood sexual abuse. Journal of the American
Medical Association, 259, 2235-2236. |
ALBARRACIN, D., DURANTINI, M.R. & EARL, A.N. (2006).
The effectiveness of behavioral interventions to curb the
HIV epidemic. Current Directions in Psychological
Science, 15, 73-78. |
ANTONI, M.H., BAGGETT, L., IRONSON, G., LAPIERRE, A.,
AUGUST, S., LIMAS, N., CHNEIDERMAN, N. & LETCHER, M.A.
(1991). Cognitive-behavioral stress management
intervention buffers distress responses and immunologic
changes following notification of HIV-1 seropositivity. Journal
of Consulting & Clinical Psychology, 59, 906-915. |
BOGART, L.M. & THORBURN, S.T. (2006). Relationship of
African Americans' sociodemographic characteristics to
belief in conspiracies about HIV/AIDS and birth control. Journal
of the National Medical Association, 98, 1144-1150. |
MARCHANT-HAYCOC, S.E., McMANUS, I.C. & WILSON, G.D.
(1991). Left-handedness, homosexuality, HIV infection and
AIDS. Cortex, 27, 49-56. [PDF] |
UNGER, J.B. & KIPKE, M.D., DE ROSA, C.J., HYDE, J.,
RITT-OLSON, A. & MONTGOMERY, S. (2006). Needle-sharing
among young IV drug users and their social network members
: The influence of the injection partner's characteristics
on HIV risk behavior. Addictive Behaviors, 31
(9), 1607-1618. |
FULLER, A.K. & BARTUCCI, R. (1991). HIV transmission
and childhood sexual abuse. Journal of Sex Education
& Therapy, 17 (1), 46-52. |
EARL, A.N. & ALBARRACIN, D. (2007). Nature, decay, and
spirals of the effects of fear arguments and HIV
counseling and testing : A meta-analysis. Health
Psychology, 26, 496-506. |
|
BOGART, L.M., KALICHMAN, S.C. & SIMBAYI, L.C. (2008).
Endorsement of a genocidal HIV conspiracy as a Barrier to
HIV Testing in South Africa. Journal of Acquired
Immune Deficiency Syndromes, 49 (1), 115-116. |
|
WOODS, S.P., IUDICELLO, J.E., MORAN, L.M., CAREY, C.L.
DAWSON, M.S., GRANT, I. & HIV NEUROBEHAVIORAL RESEARCH
PROGRAMS (HNRP) GROUP (2008). HIV-associated prospective
memory impairment increases. Neuropsychology, 22
(1), 110-117. [PDF] |
|
WYATT, G.E. (2009). Enhancing cultural and contextual
intervention strategies to reduce HIV/AIDS among African
Americans. American Journal of Public Health, 99
(11), 1941–5.
|
|
BOGART, L.M., GALVAN, F.H., WAGNER, G. & KLEIN, D.J.
(2011). Longitudinal association of HIV conspiracy beliefs
with sexual risk among Black Males living with HIV. AIDS
& Behavior, 15 (6), 1180-1186. [PDF] |
PAKENHAM, K., DADDS, M. & TERRY, D. (1994).
Relationships between adjustment to HIV and both social
support and coping. Journal of Consulting &
Clinical Psychology, 62 (6), 1194-1203. |
ALBARRACIN, J., ALBARRACIN, D. & DURANTINI, M.R.
(2008). Effects of HIV-prevention interventions for
samples with higher and lower percents of Latinos and
Latin Americans : A meta-analysis of change. AIDS
& Behavior, 12, 521-543. [PDF] |
FISCHHOFF, B. & DOWNS, J. (1997). Decision-making
theory and HIV disease. Focus, 12 (5), 1-4. |
EARL, A.N., ALBARRACIN, D., DURANTINI, M.R., LEEPER, J.H.
& LEVITT, J.H. (2009). Participation in counseling
programs : High-risk participants are reluctant to accept
HIV-prevention counseling. Journal of Clinical &
Consulting Psychology, 77, 668-679. [PDF] |
HAMERS, F.F., DOWNS, A.M., INFUSO, A. & BRUNET, J.-B.
(1998). Diversity of the HIV/AIDS epidemic in Europe. AIDS,
12 (S), 63-70. |
ALBARRACIN, D., DURANTINI, D., EARL, A. GUNROE, J.B. &
LEEPER, J. (2008). Beyond the most willing audiences : A
meta-intervention to increase exposure to HIV-prevention
programs by vulnerable populations. Health
Psychology, 27 (5), 638-644. [PDF] |
 |
REMIS, R.S., ALARY, M. & OTIS, J. (2000). HIV
infection and risk behaviours in young gay and bisexual
men. Canadian Medical Association Journal, 163
(1), 14. |
WOODS, S.P., MORAN, L.M., CAREY, C.L., DAWSON, M.S.,
IUDICELLO, J.E., GIBSON, S., GRANT, I., ATKINSON, J.H.
& HIV NEUROBEHAVIORAL RESEARCH PROGRAMS (HNRP) GROUP
(2008). Prospective memory in HIV infection : Is
"remembering to remember" a unique predictor of
self-reported medication management ? Archives of
Clinical Neuropsychology, 23 (3), 257-270. [PDF] |
GARCIA-MORENO, C. & WATTS, C. (2000). Violence against
women : Its importance for HIV/AIDS. AIDS, 14 (3),
253-265. |
FISHER, W.A., FISHER, J.D. & KOHUT, T. (2009). AIDS
exceptionalism ? The social psychology of HIV prevention
research. Social Issues & Policy Review, 3, 45-77. |
BENOTSCH, E.G., KALICHMAN, S. & CAGE, M. (2002). Men
who have met sex partners via the Internet : Prevalence,
predictors, and implications for HIV prevention.
Archives of Sexual Behavior, 31, 177-183. |
ROSSER, B.R.S., OAKES, M.J., KONSTAN, J., HOOPER, S.,
HORVATH, K.J., DANILENKO, G.P., NYGAARD, K.E. &
SMOLENSKI, D.J. (2010). Reducing HIV risk behavior of men
who have sex with men through persuasive computing :
results of the Men's Internet Study-II. AIDS, 24 (13),
2099-2017. [PDF] |
PAKENHAM, K., DADDS, M. & LENNON, H. (2002). The
efficacy of a psychosocial intervention for HIV/AIDS
caregiving dyads and individual caregivers : a controlled
treatment outcome study. AIDS Care, 14 (6),
731-750. |
WOODS, S.P., DAWSON, M.S., WEBER, E., GRANT, I. & HIV
NEUROBEHAVIORAL RESEARCH PROGRAMS (HNRP) GROUP (2010). The
semantic relatedness of cue-intention pairings influences
event-based prospective memory failures in older adults
with HIV infection. Journal of Clinical &
Experimental Neuropsychology, 32, 398-407. |
BOGART, L.M. & BIRD, S.T. (2003). Exploring the
relationship of conspiracy beliefs about HIV/AIDS to
sexual behaviors and attitudes among African American
adults. Journal of the National Medical Association,
95, 1057-1065. |
BOGART, L.M., WAGNER, G., GALVAN, F.H. & BANKS, D.
(2010). Conspiracy beliefs about HIV are related to
antiretroviral treatment nonadherence among African
American men with HIV. Journal of Acquired Immune
Deficiency Syndromes, 53, 648–655. |
CARON, F., GODIN, G., OTIS, J. & LAMBERT, L.D. (2004).
Evaluation of a theoretically-based AIDS/STD peer
education program on postponing sexual intercourse and on
condom use among adolescent attending high school. Health
Education Research, 19 (2), 185-197. |
MALASPINA L., WOODS S.P., MOORE, D.J., DEPP, C., LETENDRE,
S.L., JESTE, D., GRANT, I. & THE HIV NEUROBEHAVIORAL
RESEARCH PROGRAMS (HNRP) GROUP. (2011). Successful
cognitive aging in persons living with HIV infection.
Journal of Neurovirology, 17 (1), 110-119. [PDF] |
RABKIN, J.G., McELHINEY, M., FERRANDO, S., VAN GORP, W.
& LIN, S. (2004). Predictors of employment of men with
HIV/AIDS : A longitudinal study. Psychosomatic
Medicine, 66, 72-78. [PDF] |
WOODS, S.P., WEBER, E., WEISZ, B.M., TWAMLEY, E.W. &
GRANT, I. (2011). Prospective memory deficits are
associated with unemployment in persons living with HIV
infection. Rehabilitation Psychology, 56 (1),
77-84. |
WOODS, S.P. RIPPETH, J.D., FROL, A.B., LEVY, J.K., RYAN,
E., SOUKUP, V.M., HINKIN, C.H., LAZZARETTO, D., CHERNER,
M., MARCOTTE, T.D., GELMAN, B.B., MORGELLO, S., SINGER,
E.J., GRANT, I. & HEATON, R.K. (2004). Interrater
reliability of clinical ratings and neurocognitive
diagnoses in HIV. Journal of Clinical &
Experimental Neuropsychology, 26 (6), 759-778. |
DOYLE, K., WEBER, E., ATKINSON, J.H., GRANT, I., WOODS,
S.P. & THE HIV NEUROBEHAVIORAL RESEARCH PROGRAMS
(HNRP) GROUP. (2012). Aging, prospective memory, and
health-related quality of life in HIV infection. AIDS
Behavior, 16 (8), 2309-2318. [PDF] |
BOGART, L.M. & THORBURN, S.T. (2006). Relationship of
African Americans' sociodemographic characteristics to
belief in conspiracies about HIV/AIDS and birth control. Journal
of the National Medical Association, 98, 1144-1150.
|
|
WOODS, S.P., CAREY, C.L., TRÖSTER, A.I., GRANT, I. &
HIV NEUROBEHAVIORAL RESEARCH PROGRAMS (HNRP) GROUP (2005).
Action (verb) generation in HIV-1 infection. Neuropsychologia,
43 (8), 1144-1151. |
|
ALBARRACIN, D., GILLETTE, J., EARL, A.N., GLASMAN, L.R.,
DURANTINI, M.R. & HO, M.H. (2005). A test of major
assumptions about behavior change : A comprehensive look
at HIV prevention interventions since the beginning of the
epidemic. Psychological Bulletin, 131, 856-897. |
MONGKUO, M.Y., LUCAS, N. & TAYLOR, A. (2012). The
effects of motivation and knowledge on HIV prevention
behavior among historically Black college students : An
application of the information-motivation-behavioral
skills model. Greener Journal of Medical Sciences, 2
(2), 38-44. [PDF] |
BOGART, L.M. & THORBURN, S.T. (2005). Are HIV/AIDS
conspiracy beliefs a barrier to HIV prevention among
African Americans ? Journal of Acquired Immune
Deficiency Syndromes, 38 (2), 21-218. |
|
 |
| |
 |
Voir aussi Système
immunitaire et Sida |
 |
|
|
|
Visage
: Ensemble des traits physiques d'un organisme,
qui expriment les émotions
et permet de le reconnaître
et de le distinguer
des autres membres du groupe,
de la société. Un visage peut être attirant,
répugnant ou neutre/indifférent. Il est la seule partie du
corps humain qui utilise les cinq
sens. Visage, reconnaissance
du visage et attraction
interpersonnelle.
= figure, faciès.
Face, baby face, facial movement.
| |
|
SECORD, P.F. (1958). Facial features and inference
processes in interpersonal perception. In R. Tagiuri &
L. Petrullo (Eds.), Person perception and
interpersonal pehavior. Stanford, CA : Stanford,
University Press. |
DIMBERG, U., THUNBERG, M. & ELMEHED, K. (2000).
Unconscious facial reactions to emotional facial
expressions. Psychological Science, 11, 86-89. |
|
THAYER, J.F. & JOHNSEN, B.H. (2000). Sex differences
in judgement of facial affect : A multivariate analysis of
recognition errors. Scandinavian Journal of
Psychology, 41, 243-246. |
|
HAXBY, J.V., HOFFMAN, E.A. & GOBBINI, M.I. (2000). The
distributed human neural system for face perception. Trends
in Cognitive Sciences, 4, 223-233. |
|
McCLURE, E.B. (2000). A meta-analytic review of sex
differences in facial expression processing and their
development in infants, children, and adolescents. Psychological
Bulletin, 126 (3), 424-435. |
|
PENTON-VOAK, I.S. & PERRETT, D.I. (2000). Female
preference for male faces change cyclically. Evolution
& Human Behavior, 21, 39-48. |
|
AHARON, I., ETCOFF, N., ARIELY, D., CHABRIS, C.F.,
O'CONNOR, E. & BREITER, H.C. (2001). Beautiful faces
have variable reward value : fMRI and behavioral evidence.
Neuron, 32, 537-551. |
KAGAN, J., HENKER, B., HEN-TOV, A., LEVINE, J. &
LEWIS, M. (1966). Infants' differential reactions to
familiar and distorted faces. Child Development, 37,
519-532. |
SPENCER-SMITH, J., WILD, H., INNES-KER, A.H., TOWNSEND,
J., DUFFY C., EDWARDS, C., ERVIN, K., MERRITT, N. &
PAIK, J.W. (2001). Making faces : Creating
three-dimensional parameterized models of facial
expression. Behavior Research Methods, Instruments
& Computers, 33, 115-123. |
|
RHODES, G. & ZEBROWITZ, L.A., CLARK, A., KALICK, S.M.,
HIGHTOWER, A. & MCKAY, R. (2001). Do facial
averageness and symmetry signal health ? Evolution
& Human Behavior 22, 31-46. |
YIN, R.K. (1969). Looking at upside-down faces. Journal
of experimental Psychology, 81, 141-145. |
LITTLE, A.C., BURT, D.M., PENTON-VOAK, I.S. & PERRETT,
D.I. (2001). Self-perceived attractiveness influences
human female preferences for sexual dimorphism and
symmetry in male faces. Proceedings of the Royal
Society of London, Series B : Biological Sciences, 268,
39-44. [PDF] |
|
JOHNSTON, V.S., HAGEL, R., FRANKLIN, M, FINK, B. &
GRAMMER, K., (2001). Male Facial attractiveness : Evidence
for hormone-mediated adaptive design. Evolution &
Human Behavior, 22, 251-267. |
 |
EKMAN, P. & FRIESEN, W.V. (1971). Constants across
culture in the face and emotion. Journal of
Personality & Social Psychology 17, 124-129. |
RHODES, G. & ZEBROWITZ, L.A. (Eds.) (2002). Facial
attractiveness : Evolutionary, cognitive, and social
perspectives. Westport, CT : Ablex. |
DION, K.K. (1973). Young children's stereotyping of facial
attractiveness. Development Psvchology, 9,
183-188. |
GRAMMER, K., FINK, B. JUETTE, A., RONZA, G. &
THORNHILL, R. (2001). Female faces and bodies :
n-dimensional feature space and attractiveness. In G.
Rhodes & L. Zebrobwitz (Eds.), Advances in visual
cognitio : Facial attractiveness (Vol. 1, pp
91-125). Ablex Publishing. |
BAHRICK, H.P., BAHRICK, P.O. & WITTLINGER, R.P.
(1975). Fifty years of memory for names and faces : A
cross-sectional approach. Journal of Experimental
Psychology: General, 104, 54-75. |
TANAKA, J.W. (2001). The entry point of face recognition :
evidence for face expertise. Journal of Experimental
Psychology : General, 130 (3), 534-543.
[PDF] |
EKMAN, P. & FRIESEN, W.V. (1976). Measuring facial
movement. Journal of Environmental Psychology &
Non Verbal Behavior, 1, 56-75. |
BUSEY, T. (2001). Formal models of familiarity and
memorability in face recognition. In M.J. Wenger &
J.T. Townsend (Eds.), Computational, geometric, and
process perspectives on facial cognition. New
Jersey : Erlbaum Associates. |
EKMAN, P. & FRIESEN, W.V. (1976). Pictures of
facial affect. Palo Alto, CA : Consulting
Psychologists Press. |
KIRCHER, T.T.J., SENIOR, C., PHILLIPS, M.L., RABE-HESKETH,
S., BENSON, P.J., BULLMORE, E.T., BRAMMER, M., SIMMONS,
A., BARTELS, M. & DAVID, A.S. (2001). Recognizing
one's own face. Cognition, 78, 1-15. [PDF] |
McKELVIE, S.J. (1976). The effects of verbal labeling on
recognition memory for schematic faces. Quarterly
Journal of Experimental Psychology, 28, 459-474. |
AHARON, I., ETCOFF, N., ARIELY, D., CHABRIS, C.F.,
O'CONNOR, E. & BREITER, H.C. (2001). Beautiful faces
have variable reward value : fMRI and behavioral evidence.
Neuron, 32 (3), 537-551. [PDF] |
EKMAN, P. (1977). Biological and cultural contributions to
body and facial movement. In J.Blacking (Ed.), The
anthropology of body (pp. 34-84). London : Academic
Press. [PDF] |
FURNHAM, A., LAVANCY, M. & McCLELLAND, A. (2001).
Waist to hip ratio and facial attractiveness : a pilot
study. Personality & Individual Differences, 30,
491-502. |
MITA, T.H., DERMER, M. & KNIGHT, J. (1977). Reversed
facial images and the mere exposure hypothesis. Journal
of Personality & Social Psychology, 35, 597-601. |
COLE, J. (2001). Empathy needs a face. Journal of
Consciousness Studies, 8, 51-68. |
COHEN, L.B., DELOACHE, J.S. & PEARL, R. (1977). An
examination of interference effects in infants memory for
faces. Child Development, 48, 88-96. |
HUME, D.K. & MONTGOMERIE, R. (2001). Facial
attractiveness signals different aspects of "quality" in
women and men. Evolution & Human Behavior, 22,
93-112. |
BLANEY, R.L. & WINOGRAD, E. (1978). Developmental
differences in children recognition memory for faces. Develpment
Psychology, 14, 441-442. |
JOHNSTON, V.S., HAGEL, R., FRANKLIN, M., FINK, B. &
GRAMMER, K. (2001). Male facial attractiveness : Evidence
for hormone mediated adaptive design. Evolution &
Human Behavior, 22, 251-267. [PDF] |
DAVIES, G., ELLIS, H. & SHEPERD, J. (1978). Face
identification : the influence of delay upon accuracy of
photofit construction. Journal of Police Science
& Administration, 6, 35-42. |
MEISSMER, C.A. & BRIGHAM, J.C. (2001). A meta-analysis
of the verbal overshadowing effect in face identification.
Applied Cognitive, 15, 603-616. [PDF] |
ZUCKERMAN, M., LARRANCE, D.T., HALL, J.A., DEFRANK, R.S.
& ROSENTHAL, R. (1979). Posed and spontaneous decoding
and encoding of facial and vocal cues of emotion.
Journal of Personality, 47 (4), 712-33 |
WENGER, R.M.J. & TOWNSEND, J.T. (2001). Faces as
gestalt stimuli : Process characteristics. In M.J. Wenger
J.T. Townsend. (Eds.), Computational, geometric, and
process perspectives on facial cognition : Contexts and
challenges (pp. 229-284). Mahwah, NJ : Erlbaum. [PDF] |
EKMAN, P., ROGER, G. & HAGEX, J.C. (1980). Deliberate
facial movement. Child Development, 51, 886-891. |
WINSTON, J.S., STRANGE, B.A., O'DOHERTY, J. & DOLAN,
R.J. (2002). Automatic and intentional brain responses
during evaluation of trustworthiness of faces. Nature
Neuroscience, 5 (3), 277-283. |
EKMAN, P., FRIESEN, W.V. & ANCOLI, S. (1980). Facial
signs of emotional experience. Journal of Personality
& Social Psychology, 39, 1125-1134. |
LITTLE, A.C. & HANCOCK, P.J. (2002). The role of
masculinity and distinctiveness on the perception of
attractiveness in human male faces. British Journal of
Psychology 93, 451-464. |
SOLSO, R.L. & MCCARTHY, J.E. (1981). Prototype
formation of faces : A case of pseudomemory. British
Journal of Psychology, 72, 499-503. |
FINK, B. & PENTON-VOAK, I. (2002). Evolutionary
psychology of facial attractiveness. Current
Directions in Psychological Science, 11 (5),
154-158.
[PDF] |
TIBERGHIEN, G. (1983). La mémoire des visages. L'Année
Psychologique, 83, 153-198. |
|
WELLS, G.L. (1985). Verbal descriptions of faces from
memory : Are they diagnostic of identification accuracy? Journal
of Applied Psychology, 70, 619-626. |
ZEBROWITZ, L.A., HALL, J.A. & MURPHY, N A. (2002).
Looking smart and looking good : Facial cues to
intelligence and their origins. Personality &
Social Psychology Bulletin, 28, 238-249. [PDF] |
BRIGHAM, J.C. & MALPASS, S. (1985). The role of
experience and contact in the recognition of faces of own-
and other-race persons. Journal of Social Issues, 41,
139-155. |
ÖHMAN, A. (2002). Automaticity and the amygdala :
Nonconscious responses to emotional faces. Current
Directions in Psychological Science, 11, 62-66. |
 |
DIAMOND, R. & CAREY, S. (1986). Why faces are and are not special : an effect of expertise. Journal of
Experimental Psychology : General, 11 (5),
107-117. |
QUINN, P.C., YAHR, J., KUHN, A., SLATER, A.M. &
PASCALIS, O. (2002). Representation of the gender of human
faces by infants : A preference for female. Perception,
31 (9), 1109-1121. [PDF]
|
CUNNINGHAM, R. (1986). Measuring the physical in physical attractiveness : Quasi-experiments on the sociobiology of
female facial beauty. Journal of Personality &
Social Psychology, 50, 925-935. |
CRANE, J. & MILNER, B. (2002). Do I know you? Face
perception and memory in patients with selective
amygdalo-hippocampectomy. Neuropsychologia, 40,
530-538. |
ALICKE, M.D., SMITH, R.H. & KLOTZ, M.L. (1986).
Judgments of physical attractiveness : The role of faces
and bodies. Personality & Social Psychology
Bulletin, 12, 381-389. |
MAURER, D., LE GRAND, R. & MONDLOCH, C. (2002). The
many faces of configural processing. Trends in
Cognitive Science, 6, 255-260. [PDF]
|
BRUYER, R., ABDI, H. & BENOIT, J. (1987). Stimulus
versus face recognition in laterally displayed stimuli. The
American Journal of Psychology, 100 (1), 117-121.
[PDF] |
PERRETT, D.I., PENTON-VOAK, I.S., LITTLE, A.C., TIDDEMAN,
B.P., BURT, D.M., SCHMIDT, N., OXLEY, R. & BARRETT, L.
(2002). Facial attractiveness judgements reflect learning
of parental age characteristics. Proceedings of the
Royal Society of London B, 269, 873-880. [PDF] |
LANGLOIS, J.H., ROGGMAN, L.A., CASEY, R.J., RITTER, J.M.,
RIESER-DANNER, L.A. & JENKINS, V.Y. (1987). Infant
preferences for attractive faces : Rudiments of a
stereotype ? Developmental Psychology, 23 (3),
363-369. |
BROWN, A.S., BROWN, L.A. & ZOCCOLI, S.L. (2002).
Repetition-based credibility enhancement of unfamiliar
faces. American Journal of Psychology, 115, 199-209. |
GRAMMER, K., SCHIEFENHÖVEL, W., SCHLEIDT, M. LORENZ, B.
& EIBL-EIBESFELDT, I. (1988). Patterns on the face :
The eyebrow flash in crosscultural compararison.
Ethology, 77, 279-299. [PDF] |
FINK, B. & PENTON-VOAK, I. (2002). Evolutionary
psychology facial attractiveness. Current Directions
in Psychological Science, 11 (5), 155-158. [PDF] |
|
PENTON-VOAK, I.S., LITTLE, A.C., JONES, B.C., BURT, D.M.,
TIDDEMAN, B.P. & PERRETT, D.I. (2003). Female
condition influences preferences for sexual dimorphism in
faces of male humans (Homo sapiens). Journal of
Comparative Psychology, 117, 264–271. |
ELLIS, H.D. & FLIN, R.H. (1990). Encoding and storage
effects in 7-year- olds’ and 10-year-olds’ memory for
faces. British Journal of Development Psychology, 8,
77-92. |
RHODES, G., CHAN, J., ZEBROWITZ, L.A. & SIMMONS, L.W.
(2003). Dos sexual dimorphism in human faces signal health
? Proceedings of the Royal Society of London, Series
B : Biological Sciences, 270 (S), 9-95. [PDF] |
LANGLOIS, J.H., ROGGMAN, L.A. & RIESER-DANNER, L.A.
(1990). Infants' differential social responses to
attractive and unattractive faces, Developmental
Psychology, 26 (1), 153-159. [PDF] |
HOSS, R.A. & LANGLOIS, J.H. (2003). Infants prefer
attractive faces. In O. Pascalis & A. Slater (Eds.), The
development of face processing in infancy and early
childhood : Current perspectives (pp. 27-38). New
York : Nova Science Publishers. |
BUSEY, T.A., BRADY, N.P. & CUTTING, J.E. (1990).
Compensation is unnecessary for the perception of faces in
slanted pictures. Perception & Psychophysics, 48,
1-11. |
DUCHAINE, B.C. & WEIDENFELD, A. (2003). An evaluation
of two commonly used tests of unfamiliar face recognition.
Neuropsychologia, 41, 713-720.
[PDF] |
DUNKLE, J.H. & FRANCIS P.L. (1990). The role of facial
masculinity/femininity in the attribution of
homosexuality. Sex Roles, 23, 157-167. |
RAMSEY, J.L., LANGLOIS, J.H., HOSS, R.A., RUBENSTEIN, A.J.
& GRIFFIN, A. (2004). Origins of a stereotype :
Categorization of facial attractiveness by 6-month-old
infants. Developmental Science, 7, 201-211. |
LANGLOIS, J.H. & ROGGMAN, L.A. (1990). Attractive
faces are only average. Psychological Science, 1,
115-121. |
CORNWELL, R.E., BOOTHROYD, L., BURT, D.M., FEINBERG, D.R.,
JONES, B.C., LITTLE, A.C., PITMAN, R., WHITEN S. &
PERRETT, D.I. (2004). Concordant preferences for
opposite-sex signals ? Human pheromones and facial
characteristics. Proceedings of The Royal Society of
London B, 271, 635-640. [PDF] |
|
FISHER, M.L. (2004). Female intrasexual competition
decreases female facial attractiveness. Proceedings
of the Royal Society of London, Biology Letters, 271, 283-285. |
|
DeBRUINE, L.M. (2004). Facial resemblance increases the
attractiveness of same-sex faces more than other-sex
faces. Proceedings of the Royal Society of London B,
271, 2085-2090.
[PDF] |
ZEBROWITZ, L.A. & McDONALD, S. (1991). The impact of
litigants' babyfacedness and attractiveness on
adjudications in small claims courts. Law & Human
Behavior, 15, 603-623. |
PENTON-VOAK, I.S., JACOBSON, A. & TRIVERS, R. (2004). Populational differences in attractiveness judgements of
male and female faces : comparing British and Jamaican
samples. Evolution & Human Behavior, 25,
355–370. |
ZEBROWITZ, L.A. TENENBAUM, D.R. & GOLDSTEIN, L.H.
(1991). The impact of job applicants' facial maturity,
sex, and academic achievement on hiring recommendations.
Journal of Applied Social Psychology, 21, 525-548. |
ISHAI, A. PESSOA, L., BIKLE, P.C. & UNGERLEIDER, L.G.
(2004). Repetition suppression of faces is modulated by
emotion. Proceedings of the National Academy of
Sciences, USA 101 (26), 9827-9832.
[PDF] |
EKMAN, P., O'SULLIVAN, M., FRIESEN, W.V. & SCHERER,
K.R. (1991). Face, voice and body in detecting deception.
Journal of Nonverbal Behavior, 15 (2), 125-135.
|
JONES, B.C., LITTLE, A.C., BURT, M. & PERRETT, D.I.
(2004). When facial attractiveness is only skin deep. Perception,
33, 569-576.
[PDF] |
LANGLOIS, J.H., ROGGMAN, L.A., MUSSELMAN, L. &
ACTON, S. (1991). A picture is worth a thousand words :
Reply to "On the difficulty of averaging faces".
Psychological Science, 2, 354-357. |
MONTAGNE, B., KESSELS, R.P.C., FRIGERIO, E., DE HAAN,
E.H.F. & PERRERR, D.I. (2005). Sex differences in the
perception of affective facial expressions : Do men really
lack emotional sensitivity ? Cognitive Process, 6,
136-141. |
LANGLOIS, J.H., RITTER, J.M., ROGGMAN, L.A. & VAUGHN,
L.S. (1991). Facial diversity and infant preferences for
attractive faces. Developmental Psychology, 27 (1),
79-84. [PDF]
|
RAMSEY, J.L., LANGLOIS, J.H. & MARTIN, N.C. (2005).
Infant categorization of faces : Ladies first. Developmental
Review, 25, 212-246. [PDF]
|
|
SCARBOROUGH, P.S. & JOHNSTON, V.S. (2005). Individual
differences in women's facial preferences as a function of
digit ratio and mental rotation ability. Evolution
& Human Behavior, 26, 509-526. |
|
ISHAI, A.C.F., SCHMIDT, P. & BOESINGER, P. (2005). Face perception is mediated by a distributed cortical network.
Brain Research Bulletin, 67, 87-93. |
|
PERRETT, D.I. (2005). The voice and face of woman : One
ornament that signals quality ? Evolution & Human
Behavior, 26 (5), 398-408. |
 |
|
WINKIELMAN, P., BERRIDGE, K.C. & WILBARGER, J.L.
(2005). Unconscious affective reactions to masked happy
versus angry faces influence consumption behavior and
judgments of value. Personality & Social
Psychology Bulletin, 31, 121-135. [PDF] |
|
BOOTHROYD, L.G., JONES, B.C., BURT, D.M., CORNWELL, R.E.,
LITTLE, A.C., TIDDEMAN, B.P. & PERRETT, D.I. (2005).
Facial masculinity is related to perceived age but not
perceived health. Evolution & Human Behavior, 26
(5), 417-431. |
|
DAWSON, G., WEBB, S.J. & McPARTLAND, J. (2005).
Understanding the nature of face processing impairment in
autism : insights from behavioral and electrophysiological
studies. Developmental Neuropsychology, 27, 403-424.
[PDF] |
FREDMAN, H. & ZEBROWITZ L.A. (1992). The contribution
of facial maturity to sex-role stereotypes. Personality
& Social Psychology Bulletin, 18, 430-438. |
TODOROV, A., MANDISODZA, A.N., GOREN, A. & HALL C.C.
(2005). Inferences of competence from faces predict
election outcomes. Science, 308, 1623-1626. [PDF] |
|
ANDERSON, C. & BEER, J.S., SRIVASTAVA, S., SPATARO,
S.E. & CHATMAN, J.A. (2006). Knowing your place :
Self-perceptions of status in face-to-face groups. Journal
of Personality & Social Psychology, 91 (6),
1094-1110. [PDF] |
BRADIMONTE, M.A., HITCH, G.J. & BISHOP, D.V.M. (1992).
Influence of short-term memory codes on visual image
processing : Evidence from image transformation tasks. Journal
of Experimental Psychology : Learning, Memory &
Cognition, 18, 157-165. |
LITTLE, A.C., BURT, D.M. & PERRETT, D.I. (2006). What
is good is beautiful : Face preference reflects desired
personality. Personality & Individual
Differences, 41 (6), 1107-1118. |
|
WILLIS, J. & TODOROV, A. (2006). First impressions :
Making up your mind after 100 ms exposure to a face. Psychological
Science, 17 (7), 592-598. [PDF] |
|
RHODES, G. (2006). The evolutionary psychology of facial
beauty. Annual Review of Psychology, 57,
199-226. |
ZEBROWITZ L.A. & MONTEPARE, J.M. (1992). Impressions
of baby-faced individuals across the life span. Developmental
Psychology, 28, 1143-1152. |
RAMSEY-RENNELS, J.L. & LANGLOIS, J.H. (2006).
Infants' differential processing of female and male faces.
Current Directions in Psychological Science, 15
(2), 59-62. [PDF] |
VOKEY, J.R. & READ, J.D. (1992). Familiarity,
memorability, and the effect of typicality on the
recognition of faces. Memory & Cognition, 20, 291-302.
|
RHODES, G. (2006). The evolution of facial attractiveness.
Annual Review of Psychology, 57, 199-226. |
ZEBROWITZ, L.A., OLSON, K. & HOFFMAN, K. (1993).
Stability of babyfaceness and attractiveness across the
lifespan. Journal of Personality & Social
Psychology, 64, 453-466. |
ISHAI, A. & (2006). Recognition memory of newly
learned faces. Brain Research Bulletin, 71, 167-173.
[PDF] |
JONES, D. & HILL, K. (1993). Criteria of facial
attractiveness in five populations. Human Nature 4,
271-296. |
ZEBROWITZ, L.A. (2006). Finally faces find favor. Social
Cognition 24, 657-701. [PDF] |
TANAKA, J.W. & FARAH, M.J. (1993). Parts and wholes in
face recognition. Quarterly Journal of Experiment
Psychology, 46A, 225-245. [PDF] |
DEBRUINE, L.M., JONES, B.C., LITTLE, A.C., BOOTHROYD,
L.G., PERRETT, D.I., PENTON-VOAK, I.S., COOPER, P.A.,
PENKE, L., FEINBERG, D.R. & TIDDEMAN, B.P. (2006).
Correlated preferences for facial masculinity and ideal or
actual partner's masculinity. Proceedings of the
Royal Society of London B, 273, 1355-1360.
[PDF] |
BARTLETT, J.C. & SEARCY, J. (1993). Inversion and
configuration of faces. Cognitive Psychology, 25,
281-316. |
MONK, C.S., NELSON, E.E., MCCLURE, E.B., MOGG, K.,
BRADLEY, B.P., LEINBENLUFT, E., BLAIR, R.J.R., CHEN, G.,
CHARNEY, D.S., ERNST, M. & PINE, D.S. (2006).
Ventrolateral prefrontal cortex activation and attentional
bias in response to angry faces in adolescents with
generalized anxiety disorder. American Journal of
Psychiatry, 163, 1091-1097.
[PDF] |
ZEBROWITZ, L.A., MONTEPARE, J.M. & LEE, H.K. (1993).
"They don’t all look alike" : Individual impressions of
other racial groups. Journal of Personality &
Social Psychology, 65, 85-101. [PDF] |
LITTLE, A.C., BURRISS, R.P., JONES, B.C. & ROBERTS,
S.C. (2007). Facial appearance affects voting decisions. Evolution
& Human Behavior, 28, 18-27.
[PDF] |
|
ZEBROWITZ, L.A., BRONSTAD, P.M. & LEE, H.K. (2007).
The contribution of face familiarity to ingroup favoritism
and stereotyping. Social Cognition, 25, 306-338.
|
LEINBACK, M.D. & FAGOT, B.I. (1993). Categorical
habituation to male and female faces : gender schematic
processing in infancy. Infant Behaviour &
Development, 16, 317-332. |
JONES, B.C., DEBRUINE, L.M. & LITTLE, A.C. (2007). The
role of symmetry in attraction to average faces. Perception
& Psychophysics, 69 (8), 1273-1277. [PDF] |
TANAKA, J.W. & FARAH, M.J. (1993). Parts and wholes in
face recognition. Quarterly Journal of Experimental
Psychology, 46A, 225-245. |
BREWER, G. & ARCHER, J. (2007). What do people infer
from facial attractiveness ? Journal of Evolutionary
Psychology, 5, 39-49. |
 |
|
KOSCINSKI, K. (2007). Facial attractiveness : General
patterns of facial preferences. Anthropological
Review 70 (1), 45-79. |
THORNHILL, R. & GANGESTAD, S.W. (1993). Human facial
beauty : Averageness, symmetry, and parasite resistance. Human
Nature, 4 (3), 237-269. |
HSUA, S-M. & PESSOA, L. (2007). Dissociable effects of
bottom-up and top-down factors on the processing of
unattended fearful faces. Neuropsychologia, 45
(13), 3075-3086. [PDF] |
|
JOORMANN, J. & GOTLIB, I.H. (2007). Selective
attention to emotional faces following recovery from
depression. Journal of Abnormal Psychology, 116
(1), 80-85. [PDF] |
ZEBROWITZ, L.A., OLSON, K. & HOFFMAN, K. (1993).
Stability of babyfaceness and attractiveness Across the
life span. Journal of Personality & Social
Psychology, 64 (3), 453-466. |
MACHADO DE SOUSA, J.P. & HALLAK, J.E.C. (2008). Facial
information processing in schizophrenia. Psychology
& Neuroscience, 1 (1), 21-26. [PDF] |
TIBERGHIEN, G. et RENAULT, B. (Eds.) (1994). La
reconnaissance des visages : 1. Neuroscience cognitive,
maturation et développement. Psychologie Française, 39
(3), 239-306. |
KOSCINSKI, K. (2008). Facial attractiveness : Variation,
adaptiveness and consequences of facial preferences. Anthropological
Review, 71, 77-105. [PDF] |
ZUCKERMAN, M. & KIEFFER, S.C. (1994). Race differences
in face-ism : Does facial prominence imply dominance ? Journal
of Personality & Social Psychology, 66, 86-92. |
ZEBROWITZ, L.A. & MONTEPARE, J.M. (2008). Social
psychological face perception : Why appearance matters. Social
& Personality Psychology Compass, 2 (3),
1497-1517. [PDF]
|
TIBERGHIEN, G. et RENAULT, B. (Eds.) (1994). La
reconnaissance des visages : 2. Neuroscience cognitive,
éthologie et modélisation. Psychologie Française, 39
(4), 307-391. |
QUINN, P.D., KELLY, D.J., LEE, K., PASCALIS, O. &
SLATER, A.M. (2008). Preference for attractive faces in
human infants extends beyond conspecifics. Developmental
Science, 11, 76-83. [PDF]
|
GANGESTAD, S.W., THORNHILL, R. & YEO, R.A. (1994).
Facial attractiveness and fluctuating anatomic asymetries.
Ethology & Sociobiology, 15, 73-85. |
TODOROV, A. & ENGELL, A. (2008). The role of the
amygdala in implicit evaluation of emotionally neutral
faces. Social, Cognitive & Affective
Neuroscience, 3, 303-312. [PDF] |
LANGLOIS, J.H., ROGGMAN, L.A. & MUSSELMAN, L. (1994).
What is average and what is not average about attractive
faces ? Psychological Science, 5, 214-220. [PDF]
|
BAHRICK, L.E. & NEWELL, C. (2008). Infant
discrimination of faces in naturalistic events : Actions
are more salient than faces. Developmental
Psychology, 44, 983-966.
[PDF] |
BEALE, J.M. & KEIL, F.C. (1995). Categorical effects in the perception of faces. Cognition, 57, 217-239. |
LEVY, B., ARIELY, D., MAZAR, N., CHIA, W., LUKA, S. &
ELMAN, I. (2008). Gender differences in the motivational
processing of facial beauty. Learning &
Motivation, 39 (2), 136-145. [PDF] |
PASCALIS, O., DE SCHONEN, S., MORTON, J. & DERUELLE,
C. (1995). Mother's face recognition by neonates : a
replication and an extension. Infant Behavior &
Development, 18 (1), 79-85. [PDF] |
TODOROV, A., SAID, C.P., ENGELL, A.D. & OOTERHOF, N.N.
(2008). Understanding evaluation of faces on social
dimensions. Trends in Cognitive Sciences, 12
(12), 455-460. [PDF] |
KRAMER, S., ZEBROWITZ, L.A., SAN GIOVANNI, J.P. &
SHERAK, B. (1995). Infants' preferences for attractiveness
and babyfaceness. In B.G. Bardy, R.J. Bootsma & Y.
Guiard. (Eds.), Studies in perception and action III
( pp. 389-392). Hillsdale, N.J. : Erlbaum. |
RULE, N. & AMBADY, N. (2008). The face of success :
Inferences from chief executive officers' appearance
predict company profits. Psychological Science, 19,
109-111. [PDF] |
TROJE, N. & BÜLTHOFF, H.H. (1996). Face recognition
under varying poses : The role of texture and shape. Vision
Research, 36, 1761-1771. |
ZEBROWITZ, L.A., WEINEKE, K. & WHITE, B. (2008). Mere
exposure and racial prejudice : Exposure to other-race
faces increases liking for strangers of that race.
Social Cognition, 26, 259-275. [PDF] |
ZEBROWITZ, L.A. (1996). Physical appearance as a basis of
stereotyping. In C.N. Macrae, C. Stangor & M. Hewstone
(Eds.), Stereotypes and stereotyping (pp.
79-120). New York : Guilford. |
RENNELS, J.L., BRONSTAD, P.M. & LANGLOIS, J.H. (2008).
Are attractive men's faces masculine or feminine ? The
importance of type of facial stimuli. Journal of
Experimental Psychology : Human Perception &
Performance, 34 (4), 884-893. [PDF] |
MUELLER, U. & MAZUR, A. (1996). Facial dominance of
west point cadets as a predictor of later military rank.
Social Forces, 74, 823-850. |
CORNWELL, R.E. & PERRETT, D.I. (2008). Sexy sons and
sexy daughters : the influence of parents' facial
characteristics on offspring. Animal Behaviour, 76, 1843-1853. |
ZEBROWITZ, L.A., VOINESCU, L. & COLLINS, M.A. (1996).
"Wide eyed" and "crooked-faced" : Determinants of
perceived and real honesty across the life span.Personality
and Social Psychology Bulletin, 22, 1258-1269. |
OOTERHOF, N.N. & TODOROV, A. (2008). The functional
basis of face evaluation. Proceedings of the National
Academy of Sciences of the USA, 105, 11087-11092. [PDF] |
ALVARADO, N. (1996). Congruence of meaning between facial
expressions of emotion and selected emotion terms.
Motivation & Emotion, 20, 33-61. |
TODOROV, A. & DUCHAINE, B. (2008). Reading
trustworthiness in faces without recognizing faces. Cognitive Neuropsychology, 25, 395-410. [PDF] |
RHODES, G. & TREMEWAN, T. (1996). Averageness,
exaggeration, and facial attractiveness. Psychological
Science, 7, 105-110. |
ZEBROWITZ, L.A. & MONTEPARE, J.M. (2008). Social
psychological face perception : Why appearance matters. Social
& Personality Psychology Compass, 2, 1497-1517.
[PDF] |
SCHOOLER, J.W., RYAN, R. & REDER, L.M. (1996). The
costs and benefits of verbally rehearsing memory for
faces. In D.J. Herrmann, M.K. Johnson, C. Hertzog, C.
McEvoy & P. Hertel (Eds.), Basic and applied
memory research, (Vol. II. pp. 51-65). Hillsdale,
N.J.: L. Erlbaum. [PDF]
|
PASCALIS, O. & KELLY, D.J. (2009). The origins of face
processing in humans : phylogeny and ontogeny.
Perspectives on Psychological Science, 4, 200-209.
[PDF] |
HAXBY, J.V., UNGERLEIDER L.G., HORWITZ, B., MAISOG, J.M.,
RAPOPORT, S.I. & GRADY, C.L. (1996). Face encoding and
recognition in the human brain. Proceedings of the
National Academy of Sciences, USA, 93, 922-927. |
RULE, N. & AMBADY, N. (2009). She’s got the look :
Inferences from female chief executive officers’ faces
predict their success. Sex Roles, 61, 644-652. [PDF] |
width="13">
CHEN, A.C., GERMAN, C. & ZAIDEL, D.W. (1997). Brain
asymmetry and facial attractiveness : facial beauty is not
simply in the eye of the beholder. Neuropsychologia,
35 (4), 471-476. [PDF] |
GOREN, A. & TODOROV, A. (2009). Two faces are better
than one : Eliminating false trait associations with
faces. Social Cognition, 27 (2), 222-248. [PDF] |
MUELLER, U. & MAZUR, A. (1997). Facial dominance in
Homo sapiens as honest signaling of male quality. Behavioral
Ecology, 8 (5), 569-579. [PDF] |
DeBRUINE, L.M., SMITH, F.G., JONES, B.C., ROBERTS, S.C.,
PETRIE, M. & SPECTOR, T.D. (2009). Kin recognition
signals in adult faces. Vision Research, 49 (1),
38-43. [PDF] |
VALENTIN, D., ABDI, H., EDELMAN, B. & O'TOOLE, A.J.
(1997). Principal component and neural network analyses of
face images : What can be generalized in gender
classification? Journal of Mathematical Psychology,
41, 398-412. |
SAXTON, T.K., LITTLE, A.C., DeBRUINE, L.M., JONES, B.C.
& ROBERTS, S.C. (2009). Adolescents' preferences for
sexual dimorphism are influenced by relative exposure to
male and female faces. Personality & Individual
Differences, 47, 864-868. [PDF] |
 |
ZEBROWITZ, L.A. (1997). Reading faces : Window to the
soul ? Boulder, CO : Westview. |
CROOKES, K. & McKONE, E. (2009). Early maturity of
face recognition : no childhood development of holistic
processing, novel face encoding, or face-space. Cognition
111, 219-247. |
ZEBROWITZ, L.A. & COLLINS, M. (1997). Accurate social
perception at zero acquaintance : The traits of a
Gibsonian approach. Personality & Social
Psychology Review, 1, 203-222. [PDF] |
TANAKA, J.W., MEIXNAR, T.R. & KANTNER, J. (2011).
Exploring the perceptual spaces of faces, cars and birds
in children and adults. Developmental Science, 1
(4), 762-768. [PDF] |
BÄUML, K.-H.T., SCHNELZER, M. & ZIMMER, A. (1997). The
influence of inversion on the judgment of facial and
non-facial attributes. Acta Psychologica, 96,
27-42. |
DeBRUINE, L.M., JONES, B.C., SMITH, F.G. & LITTLE,
A.C. (2010). Are attractive men's faces masculine or
feminine ? The importance of controlling confounds in face
stimuli. Journal of Experimental Psychology : Human
Perception & Performance, 36 (3), 751-758. |
TANAKA, J.W. & SENGCO, J. (1997). Features and their
configuration in face recognition. Memory &
Cognition, 25, 583-592. [PDF] |
TODOROV, A., LOEHR, V. & OOTERHOF, N.N. (2010). The
obligatory nature of holistic processing of faces in
social judgments. Perception, 39, 514-532. [PDF] |
|
DeBRUINE, L.M., JONES, B.C., CRAWFORD, J.R., WELLING,
L.L.M. & LITTLE, A.C. (2010). The health of a nation
predicts their mate preferences : cross-cultural variation
in women's preferences for masculinized male faces. Proceedings
of the Royal Society of London B, 277, 2405-2410.
[PDF] |
|
AMESTOY, A., BOUVARD, M.P. & CAZALETS, J-R. (2010).
Left-right facial orientation of familiar faces :
developmental aspects of "the mere exposure hypothesis". Frontiers
in Psychology, 1 (39), 1-5. [PDF] |
BUTLER, J.L. & BAUMEISTER, R.F. (1998). The trouble
with friendly faces : Skilled performance with a
supportive audience. Journal of Personality &
Social Psychology, 75, 1213-1230. |
WATERS, A.M., HENRY, J., MOGG, K., BRADLEY, B. & PINE,
D.S. (2010). Attentional bias towards angry faces in
childhood anxiety disorders. Journal of Behavior
Therapy & Experimental Psychiatry, 41 (2),
158-164. [PDF] |
|
STIRRAT, M. & PERRETT, D.I. (2010). Valid facial cues
to cooperation and trust : Male facial width and
trustworthiness. Psychological Science, 21,
349-354. |
PERRETT, D.I., LEE, K.J., PENTON-VOAK, I. ROWLAND, D.,
YOSHIKAWA, S., BURT, D.M., HENZI, S.P., CASTLE, D.L. &
AKAMATSU, S. (1998). Effects of sexual dimorphism on
facial attractiveness. Nature, 394, 884-887. |
RULE, N. & AMBADY, N. (2010). Democrats and
Republicans can be differentiated from their faces.
PloS One, 5 (1), 1-7. [PDF] |
KALICK, S.M., ZEBROWITZ, L.A., LANGLOIS, J.H. &
JOHSON, R.M. (1998). Does human facial attractiveness
honestly advertise health ? Longitudinal data on an
evolutionary question. Psychological Science, 9,
8-13. [PDF] |
OKAZAKI, Y., ABRAHAMYAN, A. STEVENS, C.J. & IOANNIDES,
A.A. (2010). Wired for Her face ? Male attentional bias
for female faces. Brain Topography, 23 (1),
14-26. [PDF] |
ZEBROWITZ, L.A., ANDREOLETFI, C., COLLINS, M.-A., LEE,
S.Y. & BLUMENTHAL, J. (1998). Bright, bad, baby faced
boys : Appearance stereotypes do not always yield
self-fulfilling prophecy effects. Journal of
Personality & Social Psychology, 75, (5),
1300-1320. [PDF] |
DeBRUINE, L.M., JONES, B.C., SMITH, F.G. & LITTLE,
A.C. (2010). Are attractive men's faces masculine or
feminine ? The importance of controlling confounds in face
stimuli. Journal of Experimental Psychology : Human
Perception & Performance, 36 (3), 751-758. [PDF] |
WHALEN, P.J. SHIN, L.M., McINERNEY, S.C. & RAUCH, S.L.
(1998). Greater fMRI activation to fearful vs angry facial
expression in the amygdaloid region. Neuroscience
Abstracts, 24, 692. |
ZEBROWITZ, L.A., KIKUCHI, M. & FELLOUS, J.M. (2010).
Facial resemblance to emotions : Group differences,
impression effects, and race stereotypes. Journal of
Personality & Social Psychology, 98 (2),
175-189. [PDF] |
|
PASCALIS, O., DE MARTIN DE VIVIÉS, X., ANZURES, G., QUINN,
P.C., SLATER, A.M., TANAKA, J.W. & LEE, K. (2011).
Development of face pprocessing. WIREs Cognitive
Science, 2, 666-675. [PDF] |
|
WATERS, A.M., HENRY, J., MOGG, K., BRADLEY, B. & PINE,
D.S. (2011). Attentional bias for angry faces in children
with social phobia. Journal of Experimental
Psychopathology, 2 (4), 475-489. [PDF] |
|
KAUL, C., REES, G. & ISHAI, A.C.F. (2011). The gender of
face stimuli is represented in multiple regions in the
human brain. Frontiers in Human Neuroscience, 4,
238, 1-12. [PDF] |
|
RAMON, M., CAHAREL, S. & ROSSION, B. (2011). The speed
of recognition of personally familiar faces. Perception
40 (4), 437-449. |
|
PRINCIPE, C.P. & LANGLOIS, J.H. (2011). Faces differing in attractiveness elicit corresponding affective responses. Cognition & Emotion, 25 (1), 140-148. [PDF] |
|
GRILLON, C. & CHARNEY, D.R. (2011). In the face of
fear : Anxiety sensitizes defensive responses to fearful
faces. Psychophysiology, 48 (12), 1745–1752. [PDF] |
|
TANAKA, J.W., MEIXNAR, T.R. & KANTNER, J. (2011).
Exploring the perceptual spaces of faces, cars and birds
in children and adults. Developmental Science, 14, 762-768.
[PDF] |
|
WONG, E.M., ORMISTON, M.E. & HASELHUHN, M.P. (2011). A
face only an investor could love : CEOs' facial structure
predicts their firms' financial performance.
Psychological Science, 22, 1478-1483. |
|
WILLIS, M.L., PALERMO, R. & BURKE, D. (2011). Judging
approachability on the face of it : The in uence of face
and body expressions on the perception of approachability.
Emotion, 11, 514-523. |
|
VALLA, J., WILLIAMS, W. & CECI, S.J. (2011). The
accuracy of inferences about criminality based on facial
appearance. Journal of Social, Evolutionary &
Cultural Psychology, 5 (1), 66-91. [PDF] |
|
TSUKIURA, T. & CABEZA, R. (2011). Remembering beauty :
roles of orbitofrontal and hippocampal regions in
successful memory encoding of attractive faces.
Neuroimage, 54, 653-660. |
|
LITTLE, A.C., JONES, B.C. & DeBRUINE, L.M. (2011).
Facial attractiveness : evolutionary based research. Philosophical
Transactions of the Royal Society, B, 366,
1638–1659.
[PDF] |
|
YOSHIKAWA, H., KIKUCHI, K., YAGUCHI, H., MIZOKAMI, Y.
& TAKATA, S. (2012). Effect of chromatic components on
facial skin whiteness. Color Research &
Application, 37, 281-291. |
|
DE HEERING, A., ROSSION, B. & MAURER, D. (2012).
Developmental changes in face recognition during childhood
: Evidence from upright and inverted faces. Cognitive
Development, 27, 17-27. [PDF] |
|
SPISAK, B.R., HOMAN, A.C., GRABO, A. & VAN VUGT, M.
(2012). Facing the situation : Testing a biosocial
contingency model of leadership in intergroup relations
using masculine and feminine faces. The Leadership
Quarterly, 23 (2), 273-280. [PDF] |
 |
|
PETRO, L.S., SMITH, F.W., SCHYNS, P.G. & MUCKLI, L.
(2013). Decoding face categories in diagnostic subregions
of primary visual cortex. European Journal of
Neuroscience, 37 (7), 1130-1139. |
|
APPS, M.A.J. & TSAKIRIS, M. (2013). Predictive codes
of familiarity and context during the perceptual learning
of facial identities. Nature Communications, 4, 1-10.
DOI: 10.1038/ncomms3698 |
|
VALENTINE, K.A., LI, N.P., PENKE, L. & PERRETT, D I.
(2014). Judging a man by the width of his face : The role
of facial ratios and dominance in mate choice at
speed-dating events. Psychological Science, 25,
806-811. [PDF] |
|
OLIVOLA, C.Y., EUBANK, D.L. & LOVELACE, J.B. (2014).
The many (distinctive) faces of leadership : inferring
leadership domain from facial appearance. Leadership
Quaterly, 25, 817-834 |
|
HOPPER, W.J., FINLEA, K.M., WINKIELMAN, P. & HUBER,
D.E. (2014). Measuring sexual dimorphism with a
race-gender face space. Journal of Experimental
Psychology : Human Perception & Performance, 40,
1779-1788. [PDF] |
RHODES, G., SUMICH, A. & BYATT, G. (1999). Are average
facial configurations attractive only because of their
symmetry ? Psychological Science, 10, 52-58. |
LITTLE, A.C. (2014). Facial appearance and leader choice
in different contexts : Evidence for task contingent
selection based on implicit and learned face-behaviour or
face-ability associations. The Leadership Quarterly,
25 (5), 865-874. |
FINGER, K. & PEZDEK, K. (1999). The effect of verbal
description on face identification accuracy : "release
form verbal overshadowing". Journal of Applied
Psychology, 84, 340-348. |
VAN VUGT, M. & GRABO, A.E. (2015). The many faces of
leadership : An evolutionary-psychology approach. Current
Directions in Psychological Science, 1-6. [PDF] |
THORNHILL, R. & GRAMMER, K. (1999). The body and face
of woman : One ornament that signals quality ?Evolution
& Human Behavior, 20 105-120. |
TODOROV, A., OLIVOLA, C.Y., DOTSCH, R. &
MENDE-SIEDLECKI, P. (2015). Social attributions from faces
: Determinants, consequences, accuracy, and functional
significance. Annual Review of Psychology, 66,
519-545. [PDF] |
EDWARDS, R. (1999). Symmetry and human facial
attractiveness. Evolution and Human Behavior, 20 (5),
295-307. |
TODOROV, A., FUNK, F. & OLIVOLA, C.Y. (2015). Response
to Bonnefon et al.: Limited "kernels of truth" in facial
inferences. Trends in Cognitive Sciences, 19 (8),
422-423. [PDF] |
|
WINKIELMAN, P., OLSZANOWSKI, M. & GOLA, M. (2015).
Faces in between : Evaluative responses to faces reflect
the interplay of features and task-dependent fluency.
Emotion, 15, 232-242. [PDF] |
THORNHILL, R. & GANGESTAD, S.W. (1999). Facial
attractiveness. Trends in Cognitive Sciences, 3,
452-460. |
JONES A. & KRAMER, R. (2016). Facial cosmetics and
attractiveness : Comparing the effect sizes of
professionally-applied cosmetics and identity. PloS
One, 11, 1-17. [PDF] |
SCHEIB, J.E., GANGESTAD, S.W. & THORNHILL, R. (1999).
Facial attractiveness, symmetry, and cues of good genes.
Proceedings of the Royal Society of London B, 266,
1318-1321. |
TAGAI, K., OHTAKA, H. & NITTONO, H. (2016). Faces with
light makeup are better recognized than faces with heavy
makeup. Frontiers in Psychology, 7 [226], 1-8.
[PDF] |
|
RUSSELL, R., PORCHERON, A., SWEDA, J., JONES, A., MAUGER,
E. & MORIZOT, F. (2016). Facial contrast is a cue for
perceiving health from the face. Journal of
Experimental Psychology : Human Perception &
Performance, 42, 1354-1362. |
|
DALRYMPLE, K.A., VISCONTI DI OLEGGIO CASTELLO, M., ELISON,
J. & GOBBINI, M.I. (2017). Concurrent development of
facial identity and expression discrimination. PLoS
One, 12 (6), 1-16. [PDF] |
|
OLSZANOWSKI, M. KAMINSKA, O.K. & WINKIELMAN, P.
(2018). Mixed matters : fluency impacts trust ratings when
faces range on valence but not on motivational
implications. Cognition & Emotion, 32, 1032-1051.
[PDF] |
|
KOBAYASHI, Y., MATSUSHITA, S. & MORIKAWA, K. (2017).
Effects of lip color on perceived lightness of human
facial skin. i-Perception, 8 (4), 1-10. [PDF] |
 |
| |
Voir aussi Première
impression, Reconnaissance/visage,
Attraction, Maquillage,
Beauté, Rougir,
Expression
et Attirance |
 |
 |
|
Visalberghi Elisabetta ( ) : Éthologiste
et primatologue
italienne spécialisée dans l'étude des capucins.
Collaboratrice de Addessi,
Beran, Call,
Hare et Tomasello.
 |
VISALBERGHI, E. & LIMONGELLI, L. (1994). Lack of
comprehension of cause-effect relations in tool-using
capuchin monkeys (Cebus apella). Journal of
Comparative Psychology, 108, 15-22. |
VISALBERGHI, E. & FRAGAZY, D. (1995). The behaviour of
capuchin monkeys, Cebus apella, with novel foods : The
role of social context. Animal Behaviour, 49,
1089-1095. |
VISALBERGHI, E. & ADDESSI, E., (2000). Seeing group
members eating a familiar food enhances the acceptance of
novel foods in capuchin monkeys. Animal Behaviour,
60, 69-76. |
VISALBERGHI, E. & ADDESSI, E. (2001). Acceptance of
novel foods in Cebus apella : Do specific social
facilitation and visual stimulus enhancement play a role ?
Animal Behaviour, 62 (3), 567- 576. |
VISALBERGHI, E. & ADDESSI, E. (2013). Selectivity in
stone tool use by wild bearded capuchin monkeys. Field
observations and experimental evidence. Nova Acta
Leopoldina, 111 (380), 191-204. |
 |
 |
|
Vision : Voir : L'un des cinq sens.
Vision, attention
visuelle et yeux.
= vue, système visuel.
Vision, visual ability.
| |
|
STRATTON, G.M. (1896). Some preliminary experiments on
vision without inversion on the retinal image. Psychological
Review, 3, 611-617. |
RAMACHADRAN, V.S. & COBB, S. (1995). Visual attention
modulates metacontrast masking. Nature, 373, 66-68. |
YERKES, R.M. & WATSON, J.B. (1911). Methods of
studying vision in animals. Boston : Henry Holt
& Co. |
MILNER, A.D. & GOODALE, M.A. (1995). The visual
brain in action. Oxford : Oxford University Press. |
LASHLEY, K.S. (1942). The problem of cerebral organisation
in vision. Biological Symposia, 7, 301-322. |
WANDELL, B.A. (1995). Foundations of vision.
Sunderland, MA : Sinauer Associates. |
BARLOW, H.B., KOHN, H.I. & WALSH, E.G. (1947). Visual
sensations aroused by magnetic fields. American
Journal of Physiology, 148, 372-375. |
MILNER, D. & GOODALE, M.A. (1995). The visual
brain in action. Oxford : Oxford university press. |
BARLOW, H.B., KOHN, H.I. & WALSH, E.G. (1947). The
effect of dark adaptation and of light upon the electric
threshold of the human eye. American Journal of
Physiology, 148, 376-381. |
WINER, G.A. & COTTRELL, J.E. (1996). Effects of
drawing on directional representations of the process of
vision. Journal of Educational Psychology, 88
(4), 704-714. |
KOHLER, W. & HELD, R. (1949). The cortical correlate
of pattern vision. Science, 110 (2860), 414-419. |
LEVIN, D.T. (1996). Classifying faces by race. The
structure of face categories. Journal of Experimental
Psychology : Learning, Memory, & Cognition, 22, 1364–1382. |
BARLOW, H.B. (1958). Temporal and spatial summation in
human vision at different background intensities. Journal
of Physiology, 148, 337-350. |
POVINELLI, D.J. & EDDY, T.J. (1996). What young
chimpanzees know about seeing. Monographs of the
Society for Research on Child Development, 61 (3),
1-52. |
FANTZ, R.L. (1958). Pattern vision in young infants. Psychological Record, 8, 43-47. |
MOUTOUSSIS, K. & ZEIKI, S. (1997). A direct
demonstration of perceptual asynchrony in vision. Proceedings
of the Royal Society B : Biological Sciences, 64,
393-399. |
LETTVIN, J., MATURANA, H., McCULLOCH, W.S. & PITTS, W.
(1960). Anatomy and physiology of vision in the frog (Rana
pipiens). The Journal of General Physiology, 43
(6), 129-175. |
LEE, T.S., MUMFORD, D., ROMERO, R. & LAMME, V.A.
(1998). The role of the primary visual cortex in higher
level vision. Vision Research, 38, 2429-2454. |
SPERLING, G. (1960). The information available in brief
visual representations. Psychological Monographs, 74,
1-29. |
LEONARDS, U. & SINGER, W. (1998). Two segmentation
mechanisms with differential sensitivity for color and
luminance contrast. Vision Research, 38 (1),
101-109. |
|
ARMSTRONG, D.M. (1960). Berkeley's theory of vision.
Melbourne University Press. |
HUBEL, D.H. & WIESEL, T.N. (1962). Receptive fields,
binocular interaction and functional architecture in the
cat's visual cortex. Journal of Physiology, 160,
106-154. |
HUGHES, H.C. & TOWNSEND, J.T. (1998). Varieties of
binocular interaction in human vision. Psychological
Science, 9, 53-60. |
FANTZ, R.L., ORDY, J.M. & UDELF, M.S. (1962).
Maturation of pattern vision in infants during the first
six months. Journal of Comparative &
Physiological Psychology, 55, 907-917. |
D'ANGUILLI, A., KENNEDY, J.M. & HELLER, M.A. (1998).
Blind children recognizing tactile pictures respond like
sighted children given guidance in exploration. Scandinavian
Journal of Psychology, 39, 187-190. |
FANTZ, R.L. (1963). Pattern vision in newborn infants. Science,
140, 296-297. |
ASHMEAD, D.H., WALL, R.S., EBINGER, K.A., EATON, S.B.,
SNOOK-HILL, M.M. & YANG, X. (1998). Spatial hearing in
children with visual disabilities. Perception, 27
(1), 105-122. |
BARLOW, H.B. (1964). Dark adaptation : a new hypothesis.
Vision Research, 4, 47-58. |
WADE, N.J. (1998). A natural history of vision.
Cambridge, MA : MIT Press. |
 |
HERRNSTEIN, R.J. & LOVELAND, D.H. (1964). Complex
visual concept in the pigeon. Science, 146,
549-551. |
WOLFE, J.M. & CAVE, K.R. (1999). The psychophysical
evidence for a binding problem in human vision. Neuron
24, 11–17. |
FANTZ, R.L. (1964). Visual experience in infants :
Decreased attention to familiar patterns relative to novel
ones. Science, 146, 668-670. |
|
GREGORY, R.L. (1968). The evolution of eyes and brains - a
hen-and-egg problem. In S.J. Freedman (Ed.), The
neuropsychology of spatially orientated behaviour (pp.
7-17). Homewood : Dorsey Press. |
PYLYSHYN, Z.W. (1999). Is vision continuous with cognition
? The case for cognitive impenetrability of visual
perception. Behavioral & Brain Sciences, 22 (3),
341-365. |
BERLIN, B. & KAY, P. (1969). Basic color terms :
Their universality and evolution. Berkeley :
University of California Press. |
FYTCHE, D.H. & HOWARD, R.J. (1999). The perceptual
consequences of visual loss : Positive pathologies of
vision. Brain, 122, 1247-1260. |
GREGORY, R.L. (1972). How we see things. Royal
Society of Arts, 120 (5193), 630-635. |
PYLYSHYN, Z.W. (1999). Vision and cognition : How do they
connect ? Response. Behavioral & Brain Sciences,
22 (3), 401-423. |
GIBSON, J.J. (1972). A theory of direct visual perception.
In J.R. Royce & W.W. Rozeboom (Eds.), The
psychology of knowing (pp. 215-232). New York :
Gordon and Breach. |
FARAH, M.J. (2000). The cognitive neuroscience of
vision. Malden, MA : Blackwell Publishing, Inc. |
TURVEY, M.T. (1973). On peripheral and central processes
in vision : Inferences from an information-processing
analysis of masking with patterned stimuli. Psychological
Review, 80, 1-52. |
|
BLAKEMORE, C., MUNCEY, J.P.J. & RIDLEY, R.M. (1973).
Stimulus specificity in the human visual system. Vision
Research, 13, 1915-1933. |
ROSENBLUTH, R., GROSSMAN, E.S. & KAITZ, M. (2000).
Performance of early-blind and sighted children on
olfactory tasks. Perception, 29 (1), 101-110. |
FANTZ, R.L., FAGAN, J.F. & MIRANDA, S.B. (1975). Early
visual selectivity as a function of pattern variables,
previous exposure, age from birth and conception, and
expected cognitive deficit. In L.B. Cohen & P.
Salapatek (Eds.), Infant perception : From sensation
to cognition : Basic visual processes (Vol. 1. pp.
249-346). New York : Academic Press. |
WADE, N.J. & BRUCE, V. (2001). Surveying the seen :
100 years of British vision. British Journal of
Psychology, 92 (1), 79-11. |
TURVEY, M.T. (1977). Contrasting orientations to the
theory of visual information processing. Psychological
Review, 84 (1), 67–88. |
|
TURVEY, M.T. (1977). Preliminaries to a theory of action
with reference to vision. In R. Shaw and J.
Bransfords Perceiving, acting & knowing :
Toward an ecological psychology (pp, 211-265).
Routledge.
[PDF] |
|
GIBSON, J.J. (1979). The ecological approach to visual
perception. Boston, MA : Houghton Mifflin. |
WADE, N.J. & SWANSTON, M. (2001). Visual
perception : An introduction. London : Psychology
Press. |
WEISKRANTZ, L. (1981). Studies of vision and memory in man
and animals. Oxford Medical School Gazette, 132,
13-14. |
GREGG, V.R., WINER, G.A., COTTRELL, J.E., HEDMAN, K.E.
& FOURNIER, J.S. (2001). The persistence of a
misconception about vision after educational
interventions. Psychonomic Bulletin & Review, 8,
622-626. |
COURTNEY, S.M. & UNGERLEIDER, L.G. (1997). What fMRI
has taught us about human vision. Current Opinion in
Neurobiology, 7 (4), 554-561. |
WINER, G.A., COTTRELL, J.E., GREGG, V., FOURNIER, J.S.
& BICA, L.A. (2002). Fundamentally misunderstanding
visual perception adults' belief in visual emissions. American
Psychologis, 57 (6/7), 417-424.
[PDF] |
MARR, D. (1982/90). Vision : A computational
investigation into the human representation and
processing of visual information. San Francisco :
W.H. Freeman. |
RENSINK, R.E. (2002). Change detection. Annual Review
of Psychology, 53, 4245-4277. [PDF] |
MISHKIN, M., UNGERLEIDER, L.G. & MACKO, K.A. (1983).
Object vision and spatial vision : Two cortical pathways.
Trends in Neurosciences, 6, 414-417. |
WOLFE, J.M. (2003). Moving towards solutions to some
enduring controversies in visual search. Trends in
Cognitive Sciences, 7, 70-76. [PDF] |
HATFIELD, G. & EPSTEIN, W. (1985). The status of the
minimum principle in the theoretical analysis of vision. Psychological Bulletin, 97 (2), 155-186. [PDF] |
WADE, N.J. (2005). Vision and the dimensions of nerve
fibers. Journal of the History of the Neurosciences,
14, 281-294.turvey |
SAGI, D. & JULESZ, B. (1985)."Where" and "what" in
vision. Science, 228, 1217-1219. |
LUCK, S.J. (2007). Visual short term memory. Scholarpedia,
2 (6), 3328-3335. [PDF] |
TREISMAN, A. (1985). Preattentive processing in vision.
Computer Vision, Graphics and Image Processing, 31, 156-177/In
Z. Pylyshyn (Ed.), Computational processes in human
vision : An interdisciplinary perspective (pp.
341-369). Ablex : New Jersey. |
THORNTON, T.L. & GILDEN, D.L. (2007). Parallel and
serial processes in visual search. Psychological
Review, 114 (1), 71-103. [PDF] |
TREISMAN, A. (1986). Features and objects in visual
processing. Scientific American, 254 (11),
114-125. |
RUSSELL-MINDA, E., JUTAI J.W., STRONG, J.G., CAMPBELL,
K.A., GOLD, D., PRETTY, L. & WILMOT, L. (2007).
Typeface legibility for readers with low vision : A
synthesis of the research evidence. Journal of Visual
Impairment & Blindness, 101, 402-415. [PDF] |
|
BAYS, P.M. & HUSSAIN, M. (2008). Dynamic shifts of
limited working memory resources in human vision.
Science, 321, 851-854. |
TREISMAN, A. & GORMICAN, S. (1988). Feature analysis
in early vision : Evidence from search asymmetries. Psychological
Review, 95, 15-48. |
BRENNER, E. & MAMASSIAN, P. & SMEETS, J.B.J.
(2008). If I saw it, it probably wasn’t far from where I
was looking. Journal of Vision, 8 (2), 1-10. [PDF] |
WAGEMANS, J. (1988). Modules in vision : A case study of
interdisciplinarity in cognitive science. Acta
Psychologica, 67 (1), 59-93. |
WADE, N.J. (2008). Vision and visualization. Journal
of the History of the Neurosciences, 17, 273-293. |
|
MURPHY, K. & SPENCER, A. (2009). Playing video games
does not make for better visual attention skills. Journal
of Articles in Support of the Null Hypothesis, 6
(1), 1-20. [PDF] |
RAMACHADRAN, V.S. & GREGORY, R.L. (1991). Perceptual
filling in of artificially induced scotomas in human
vision. Nature, 350 (6320), 699-702. |
BLOCK, N. (2012). The grain of vision and the grain of
attention. Thought : A Journal of Philosophy, 1
(3), 170-184. [PDF] |
MORRONGIELLO, B.A., HUMPHREY, G.K., TIMNEY, B., CHOI, J.
& ROCCA, P.T. (1994). Tactual object exploration and
recognition in blind and sighted children. Perception,
23 (7), 833-848. |
TABRY, V., ZATORRE, R.J. & VOSS, P. (2013). The
influence of vision on sound localization abilities in
both the horizontal and vertical plane. Frontiers in
Psychology, 4 (932), 1-7 |
 |
| |
Voir aussi Attention
visuelle, Yeux
et Perception
visuelle |
 |
 |
|
Vision
(Champ) : Portion de l'espace visible par
un oeil fixe (champ visuel)
et portion de ce champ qui affecte la rétine
(champ récepteur). Découvert par Kuffer. Champ de vision, attention
visuelle et vision.
= champ visuel.
Visual field, receptive field.
| |
|
KUFFER, S.W. (1953). Discharge patterns and functional organization of mammalian retina. Journal of Neurophysiology, 16, 37-68. |
HUBEL, D.H. & WIESEL, T.N. (1959). Receptive fields of
single neurons in cats' striate complex. Journal of
Physiology, 48, 574-591. |
HUBEL, D.H. & WIESEL, T.N. (1960). Receptive fields of
optic nerve fibres in the spider monkey. Journal of
Physiology, 154, 572-580. |
HUBEL, D.H. & WIESEL, T.N. (1962). Receptive fields,
binocular interaction and functional architecture in the
cat's visual cortex. Journal of Physiology, 160,
106-154. [PDF]
|
HUBEL, D.H. & WIESEL, T.N. (1968). Receptive fields
and functional architecture of monkey striate cortex. Journal
of Physiology, 195 (1), 215-243. |
LABERGE, D. & BROWN, V. (1986). Variations in size of
the visual field in which targets are presented : An
attentional range effect. Perception &
Psychophysics, 40, 188-200. |
TSAL, Y. & BAREKET, T. (1999). Effects of attention on
localization of stimuli in he visual field : Evidence for
attentional receptive fields. Psychonomic Bulletin
& Review, 6, 292-296. |
|
Voir Yeux,
Vision, Rétine,
Champ et Perception
visuelle |
 |
 |
|
Vision
(des couleurs) : Vision
des couleurs et cône.
Vision, yeux et
perception de la
couleur.
Color vision.
| |
|
NEWTON, I. (1672). New theory about light and colours.
Philosophical transactions of the Royal Society of
London, 80, 3075-3087. |
|
YOUNG, T. (1802). On theory of light and colours.
Philosophical transactions of the Royal Society of
London, 92, 12-48. |
DE VALOIS, R.L. & DE VALOIS, K.K. (1993). A
multi-stage color model. Vision Research, 33, 1053-1065. |
WILLMER, E.N. (1946). Retinal structure and colour
vision. Cambridge : Cambridge University Press. |
DE VALOIS, R.L. & DE VALOIS, K.K. (1996). A
three-stage color model comment. Vision Research, 36,
833-836. |
GREGORY, R.L. (1955). Colour anomaly, the Rayleigh
equation and selective adaptation. Nature, 176,
172-173. |
OSORIO, D. & VOROBYEV, M. (1996). Colour-vision as an
adaptation to frugivory in primates. Proceeding of
the Royal Society B : Biological Sciences, 263, 593-599. |
STILES, W.S. (1959). Colour vision : the approach through
increment threshold sensitivity. Proceedings of the
National Academy of Sciences, 45, 100-114. |
ABRAMOV, I. (1997). Physiological mechanisms of color
vision. In C.L. Hardin & L. Maffi (Eds), Color
categories in thought and language. Cambridge :
Cambridge University Press. |
LAND, E.H. (1959). Color vision and the natural image.
Part I. Proceedings of the National Academy of
Sciences, 45, 115-129. |
KAY, P. & MAFFI, L. (1999). Color appearance and the
emergence and evolution of basic color. American
Anthropologist, 101 (4), 743-760. [PDF] |
WILLMER, E.N. (1961). Human colour vision and the
perception of blue. Journal of Theoretical Biology,
2, 141-179. |
GEGENFURTNER, K.R. (2003). Cortical mechanisms of colour
vision. Nature Reviews Neuroscience, 4, 563-572.
[PDF] |
MCCOLLOUGH, C. (1965). Color adaptation of edge-detectors
in the human visual system. Science, 149, 1115-1116. |
|
WYSZECKI, G. & STILES, W.S. (1967). Colour
Science. New York : John Wiley and Sons. |
GEGENFURTNER, K.R & KIPER, D.C. (2003). Color vision.
Annual Review of Neurosciences, 26, 181-206. [PDF] |
BORNSTEIN, M.H. (1973). The psychophysiological component
of cultural difference in color naming and illusion
susceptibility. Behavioral Science Notes, 1, 41-101. |
SCHAEFER, H.M., SCHAEFER, V. & VOROBYEV, M. (2007).
Are fruit colors adapted to consumer vision and birds
equally efficient in detecting colorful signals ? The
American Naturalist, 169, 159-169. [PDF] |
GREGORY, R.L. (1977). Vision with isoluminant colour
contrast : 1, A projection technique and observations. Perception,
6, 113-119. |
ROBERSON, D. & HANLEY, J.R. (2007). Color vision :
color categories vary with language after all. Current
Biology, 17 (15), 605-607. [PDF] |
RAMACHADRAN, V.S. & GREGORY, R.L. (1978). Does colour
provide an input to human motion perception ? Nature,
275, 55-56. |
MELIN, A.D., HIRAMATSU, C., FEDIGAN, L.M., SCHAFFNER,
C.M., AURELI, F. & KAWAMURA, S. (2012). Polymorphism
and adaptation of primate colour vision. In P. Pontarotti
(Ed.), Evolutionary biology : Mechanisms and trends (pp.
225-241). Berlin Heidelberg : Springer-Verlag. [PDF] |
|
 |
Voir aussi Vision, Couleur
et Perception
de la couleur |
 |
|
vision aveugle :
Blindsight.
| |
|
WEISKRANTZ, L. (1993). Sources of blindsight. Science,
261, 494. |
WEISKRANTZ, L. (1995). Blindsight : Not an island unto
itself. Current Directions in Psychological Science,
4, 146-151. |
WEISKRANTZ, L. (1996). Blindsight revisited. Current
Opinion in Neurobiology, 6, 215-220. |
|
 |
Voir aussi Vision |
 |
|
Vision binoculaire : Type de vision
dans lequel les deux yeux sont utilisés simultanément pour
percevoir les objets. La vision binoculaire permet de mieux
apprécier les distances et les contrastes.
/vision monoculaire.
Stereo vision, stereoscopic
vision, binocular vision.
|
|
|
HERING, K.E.K. (1868/1977). The theory of
binocular vision. New York : Plenum Press. |
FOLEY, J.M. (1980). Binocular distance perception.
Psychological Review, 87 (5), 411-434. |
|
WHEATSTONE, C. (1938). Contributions to the physiology of
vision. Part I. On some remarkable, and hit her to
unobserved, phenomena of binocular vision. Philosophical
Transactions of the Royal Society of London, 128,
371-394. |
MORRISON, P.R. (1982). Distance cues and depth avoidance
on the visual cliff. Perceptual & Motor Skills,
54, 1195-1198. |
|
OGLE, K.N. (1950). Researches in binocular vision.
London. |
ZIMBA, L. & BLAKE, R. (1983). Binocular rivalry and
semantic processing : Out of sight, out of mind.
Journal of Experimental Psychology : Human Perception
& Performance, 9, 807-815. |
|
KATORI, H. & SUZAKAWA, K. (1963). The estimation of
apparent size in stereoscopic vision. Japanese
Psychological Research, 5, 72–83. |
ZHANG, P., JAMISON, K., ENGEL, S., HE, B. & HE, S.
(2011). Binocular rivalry requires visual attention.
Neuron, 71 (2), 362-369. |
|
GREGORY, R.L. (1979). Stereo vision and isoluminance.
Proceedings of the Royal Society B, 204, 467-476. |
|
|
|
|
 |
Voir aussi
Falaise visuelle et Vision |
|
|
|
|
|
Vision Research : Revue
scientifique multidisciplinaire qui consacre ses pages à
l'étude de la perception
et de la vision. Éditeur
: Elsevier.
LEPORE, F. & GUILLEMOT, J.-P. (2003). Longer VEP
latencies and slower reaction times to the onset of
second order motion than to the onset of first order
motion. Vision Research, 43, 651-658.
|
| |
 |
|
|
|
Visscher Peter M. ( ) : Généticien
australien et spécialiste de l'étude des différences
individuelles, notammement sur le plan de la taille.
Il s'intéresse également aux déterminants
neurogénétiques du
trouble bipolaire et de la schizophrénie.
 |
VISSCHER, P.M. (1999). Speed congenics : accelerated
genome recovery using genetic markers. Genetical
Research, 74, 81-85. [PDF] |
VISSCHER, P.M., YAZDI, M.H., JACKSON, A.D. SCHALLING, M.,
LINDBLAD, K., YUAN, Q.P., PORTEOUS, D., MUIR, W.J. &
BLACKWOOD, D.H. (2001). Genetic survival analysis of
age-at-onset of bipolar disorder : evidence for
anticipation or cohort effect in families. Psychiatric
Genetics, 11, 129-137. |
VISSCHER, P.M., HALEY, C.S., EWALD, H., MORS, O., EGELAND,
J., THIEL, B., GINNS, E., MUIR, W. & BLACKWOOD, D.H.
(2005). Joint multi-population analysis for genetic
linkage of bipolar disorder or wellness to chromosome 4p.
American Journal of Medical Genetics Part B :
Neuropsychiatric Genetics, 133B, 18-24. [PDF] |
VISSCHER, P.M. (2008). Sizing up human height variation. Nature
Genetics, 40, 489-490. [PDF] |
VISSCHER, P.M., HILL, W.G. & WRAY, N.R. (2008).
Heritability in the genomics era : Concepts and
misconceptions. Nature Reviews Genetics, 9,
255-266. |
 |
 |
|
Visual Cognition : Revue
scientifique de psychologie
cognitive qui consacre ses pages à l'étude de la perception
et de la vision. Éditeur
: Taylor & Francis Group.
STEVANOSKI, B. & JOLICOEUR, P. (2007). Visual
short-term memory : Central capacity limitations in
short-term consolidation. Visual Cognition, 15
(95), 532-563.
|
| |
 |
|
Visual Studies : Revue
scientifique multidisciplinaire qui consacre ses pages à la
perception et à la
vision. Éditeur : Taylor & Francis Group.
GEISLER, W.S. & ALBRETCH, D.G. (1997). Visual cortex
neurons in monkeys and cats : Detection, discrimination,
and identification. Visual Neuroscience, 14, 897-919.
[PDF]
|
| |
 |
|
Visualisation
:
Sport imagery training.
| |
|
SMITH, D. (1987). Conditions that facilitate the
development of sport imagery training. The Sport
Psychologist, 1 (3), 237-242. |
 |
 |
|
Visual Neuroscience : Revue
scientifique qui consacre ses pages à l'étude des déterminants
biogénétiques de la vision. Éditeur :
Cambridge.
GEISLER, W.S. & ALBRETCH, D.G. (1997). Visual cortex
neurons in monkeys and cats : Detection, discrimination,
and identification. Visual Neuroscience, 14, 897-919.
[PDF]
|
| |
 |
|
|
|
|
|
Visuelle
(Recherche) :
Visual search.
| |
|
CAVANAGH, P. & CHASE, W.G. (1971). The equivalence of
target and nontarget processing in visual search. Perception
& Psychophysics, 9, 493-495. [PDF] |
|
LOGAN, G.D. (1975). On the independence of naming and
locating masked targets in visual search. Canadian
Journal of Psychology, 29, 51-58. [PDF] |
WOODMAN, G.F., VOGEL, E.K. & LUCK, S.J. (2001). Visual
search remains efficient when visual working memory is
full. Psychological Science, 12 (3), 219-224. |
LOGAN, G.D. (1975). On the relation between identifying
and locating masked targets in visual search. Quarterly
Journal of Experimental Psychology, 27, 451-457.
[PDF] |
PROULX, M.J. & EGETH, H.E. (2006). Target-nontarget
similarity modulates stimulus-driven control in visual
search. Psychological Bulletin & Review, 13
(3), 524-529. [PDF] |
LOGAN, G.D. (1976). Converging evidence for automatic
perceptual processing in visual search. Canadian
Journal of Psychology, 30, 193-200. [PDF] |
LAMY, D., CARMEL, T., EGETH, H.E. & LEBER, A.B.
(2006). Effects of search mode and intertrial priming on
singleton search. Perception & Psychophysics, 68
(6), 919-932. [PDF] |
LOGAN, G.D. (1978). Attention demands of visual search. Memory
& Cognition, 6, 446-453. [PDF] |
PROULX, M.J. & EGETH, H.E. (2008). Biased competition
and visual search : the role of luminance and size
contrast. Psychological Research, 72, 106-113. [PDF] |
PASHLER, H. (1987). Target-distractor discriminability in
visual search. Perception & Psychophysics, 41,
285-292. [PDF]
|
|
EGETH, H.E. & DAGENBACH, D. (1991). Parallel versus
serial processing in visual search. Journal of
Experimental Psychology : Human Perception &
Performance, 17, 550-559. |
WOODMAN, G.F., VOGEL, E.K. & LUCK, S.J. (2001). Why is
information displaced from visual working memory during
visual search ? Visual Cognition, 18 (2),
275-295. |
KIM, M. & CAVE, K.R. (1995). Spatial attention in
visual search for features and feature conjunctions.
Psychological Science, 6, 376–380. |
PALMER, E.M., HOROWITZ, T.S., WOLFE, J.M. & TORRALBA,
A. (2011). What are the shapes of response time
distributions in visual search ? Journal of
Experimental Psychology, 37 (1), 58-71.
[PDF] |
HOROWITZ, T.S. & WOLFE, J.M. (1998). Visual search has
no memory. Nature, 357, 575-577. [PDF] |
|
WOLFE, J.M., KLEMPEN, N. & SHULMAN, E. (1999). Which
end is up ? Two representations of orientation in visual
search. Vision Research, 39 (12), 2075-2086. [PDF] |
COHEN, M.A., ALVAREZ, G.A., NAAKAYAMA, K. & KONKLE, T.
(2017). Visual search for object categories can be
predicted across all of high-level visual cortex.
Journal of Neurophysiology, 117, 388-402. |
|
 |
Voir aussi Vision |
 |
|
Vitalisme : Doctrine philosophique
qui postule que la vie n'a pas d'autre explication
qu'elle-même, qu'elle ne peut être réduite à des mécanismes
physiques, chimiques ou biologiques. Certains auteurs, comme Bergson,
soutiennent même l'existence d'une force vitale capable d'animer
la matière, de lui donner vie.
/mécanisme,
organicisme.
Vitalism.

| |
|
COURNOT, A.A. (1875). Matérialisme, vitalisme,
rationalisme. |
BECHTEL, W. & RICHARDSON R.C. (1998). Vitalism. In Routledge
Encyclopedia of Philosophy (pp. 9, 639-643). London
: Routledge & Kegan Paul. |
BERGSON, H. (1907/11/69). L'évolution créative.
Paris : Presses Universitaires de France / Creative
evolution. New York : Henry Holt and Company. |
RAMBERG, P.J. (2000). The death of vitalism and the birth
of organic chemistry : Wohler's urea synthesis and the
disciplinary identity of organic chemistry. Ambix, 47
(3), 170-195. |
CANGUILHEM, G. (1952). Aspects du vitalisme : La
connaissance de la vie. Paris : Hachette. |
FINGER, S. & WADE, N.J. (2002). The neuroscience of
Helmholtz and the theories of Johannes Müller. Part 1.
Nerve cell structure, vitalism, and the nerve impulse.
Journal of the History of the Neurosciences, 11,
136-155. |
DIX, D. (1968). A defense of vitalism. Journal of
Theoretical Biology, 20, 338-340. |
LINDEMAN, M. & SAHER, M. (2007). Vitalism, purpose and
superstition. British Journal of Psychology, 98
(1), 33-44. |
|
 |
Voir aussi Doctrine et
Bergson |
 |
|
Vitamine
: Vitamine,
médecine alternative et
santé. Vitamin.
| |
|
PAULING, L. (1970). Vitamin C and the common cold. San
Francisco : W.H. Freeman and Co. |
PACE, G.M. & TOYER, E.A. (2000). The effects of a
vitamin supplement on the pica of a child with severe
mental retardation. Journal of Applied Behavior
Analysis, 33 (4), 619-622. [PDF] |
ARNOLD, L.E., CHRISTPHER J., HUESTIS, R.D. & SMELTZER,
D.J. (1978). Megavitamins for minimal brain dysfunction :
A placebo-controlled study. Journal of the American
Medical Association, 240, 2642-2643. |
|
HOFFER, A. (1986). Vitamin therapy for hyperactivity and
schizophrenia : A family struggle. Journal of
Orthomolecular Medicine, 1, 57-62. |
JAIN, A.L. (2002). Influence of vitamins and
trace-elements on the incidence of respiratory infection
in the elderly. Nutrition Research, 22, 85–87. |
BARRETT, S. (1987). Vitamins and "health" foods : The
great American hustle. George F. Stickley Co. |
|
SANDERS, T.A.B. (1992). Vitamins and intelligence. The
Psychologist, 15, 406-408. |
LAWLOR, D.A., DAVEY SMITH, G., KUNDU, D., BRUCKDORFER,
K.R. & EBRAHIM, S. (2004). Those confounded vitamins :
what can we learn from the differences between
observational versus randomised trial evidence ? Lancet,
363, 1724-1727. |
BARRETT, S. & HERBERT, V. (1994). The vitamin
pushers : How the "Health food" industry is selling
Americans a bill of Goods. Prometheus Books. |
KUYPERS, N.J. & HOANE, M.R. (2010). Pyridoxine
(vitamin B6) administration improves behavioral and
anatomical outcome following unilateral contusion injury
in the rat. Journal of Neurotrauma, 27,
1275-1282. |
|
 |
Voir aussi Pauling |
 |
|
Vitaro Frank ( ) : Psychologue
cognitivo-béhavioriste
québécois, spécialisé dans l'étude des troubles de l'adolescence.
Collaborateur de Boivin, Brendgen,
Claes, Dupéré,
Ladouceur, Montplaisir,
Pagani, Paquette,
Poulin, Tremblay
et Turgeon.
 |
VITARO, F., GENDREAU, P.L., TREMBLAY, R.E. & OLIGNY,
P. (1998). Reactive and proactive aggression differentially predict later conduct problems. Journal
of Psychology & Psychiatry, 39 (3), 377-385.
[PDF] |
VITARO, F., BRENDGEN, M., LADOUCEUR, R. & TREMBLAY,
R.E. (2001). Gambling, delinquency, and drug use during
adolescence : Mutual influences and common risk factors. Journal
of Gambling Studies, 17, 171-190. |
VITARO, F., WANNER, B., LADOUCEUR, R., BRENDGEN, M. &
TREMBLAY, R.E. (2004). Trajectories of gambling during
adolescence. Journal of Gambling Studies, 20,
47-69. |
VITARO, F., WANNER, B., CARBONNEAU, R. & TREMBLAY,
R.E. (2007). La pratique des jeux de hasard et d’argent,
les comportements délinquants et la consommation
problématique de substances psychotropes : une perspective
développementale. Criminologie, 40 (1), 59-77.
[PDF] |
VITARO, F., BRENDGEN, M., BOIVIN, M., CANTIN, S., DIONNE,
G., TREMBLAY, R.E., GIRARD, A. & PÉRUSSE, D. (2011). A
monozygotic twin difference study of friends' aggression
and children's adjustment prooblems. Child
Development, 82 (2), 617-632. |
 |
 |
|
Viteles Morris S. (1898-1996) : Psychologue
américain et pionnier de la psychologie
organisationnelle. Étudiant de Witmer.
 
 |
VITELES, M.S. (1933). Industrial psychology.
Jonathan Cape. |
VITELES, M.S. (1934).The science of work. New
York : W. W. Norton & Co. |
VITELES, M.S. (1953). Motivation and morale in
industry. New York : Norton. |
VITELES, M.S. (1967). Morris S. Viteles. In E.G. Boring
& G. Lindzey (Eds.), A history of psychology in
autobiography (pp. 417-500). New York :
Appleton-Century-Crofts. |
VITELES, M.S. (1974). Industrial psychology :
Reminiscences of an academic moonlighter. In T. Krawiec
(Ed.), The psychologists (Vol. 2, pp. 441-500).
New York : Oxford University Press. |
|
THOMPSON, A.S. (1998). Obituary : Morris S. Viteles
(1898-1996). American Psychologist, 53 (10),
1153-1154. |
 |
 |
|
Vitesse : En métrologie,
paramètre d'un comportement,
d'un apprentissage
ou d'un processus cognitif (EX
: vitesse de calcul, vitesse de rappel). En apprentissage,
la rapidité est la variation du nombre de réponses
produites par un organisme par
unité de temps. Vitesse, précision
et temps
de réaction.
Speed, response speed.
| |
|
McFARLAND, R.A. (1928). The role of speed in mental
ability. Psychological Bulletin, 25, 595-612. |
JENSEN, A.R. (1990). Speed of information processing in a
calculating prodigy. Intelligence, 14, 259-274.
[PDF] |
McFARLAND, R.A. (1930). Experimental study of the
relationship between speed and mental ability. Journal
of General Psychology, 3, 67-96. |
KAIL, R.V. (1991). Developmental change in speed of
processing during childhood and adolescence. Psychological
Bulletin, 109 (3), 490-501. |
TINKER, M.A. (1931).The significance of speed in test
response. Psychological Review, 38, 450-454. |
POLDRACK, R.A. & LOGAN, G.D. (1997). Fluency and
response speed in recognition judgments. Memory &
Cognition, 25, 1-10. [PDF] |
RICHARDSON, J. (1973). Effect of speed of learning and
degree of learning on cue selection. Journal of
Experimental Psychology, 98, 396-403. |
BURT, C.D.B. (1999). Categorisation of action speed and
estimated event duration. Memory, 7, 345-355. |
RATCLIFF, R. & McKOON, G. (1982). Speed and accuracy
in the processing of false statements about semantic
information. Journal of Experimental Psychology :
Learning, Memory & Cognition, 8, 16-36. |
RASINSKI, T.V. (2000). Speed does matter in reading. The
Reading Teacher, 54, 146-151. [PDF] |
PERFECT, T.J. & RABBITT, P.M. (1993). Speed and
accuracy of memory decisions in older adults.
Psychological Reports, 73 (2), 607-610. |
STUSS, D.T., ALEXANDER, M.P., SHALLICE, T., PICTON, T.W.,
BINNS, M.A., MACDONALD, R., BOREWIEC, A. & KATZ, D.I.
(2005). Multiple frontal systems controlling response
speed. Neuropsychologia, 43 (3), 396-417. [PDF] |
BORS, D.A. & FORRIN, B. (1995). Age, speed of
information processing, recall, and fluid intelligence. Intelligence,
20, 229-248. [PDF] |
KAIL, R.V. & FERRER, E. (1991). Processing speed in
childhood and adolescence : Longitudinal models for
examining developmental change. Child Development, 78,
(6), 1760-1770. [PDF] |
RATCLIFF, R. (1985). Theoretical interpretations of speed
and accuracy of positive and negative responses. Psychological
Review, 92, 212-225. |
PARENT, V., LORANGER, M. & SIROIS, K. (2007).
Rendement en lecture et vitesse du traitement de
l’information chez les enfants de 6 à 8 ans. Canadian
Journal of Behavioural Science, 39 (1), 60-72. |
KAIL, R.V. (1988). Developmental functions for speeds of
cognitive processes. Journal of Experimental Child
Psychology, 45, 339-364. |
DYE, M.W.G., GREEN, C.S. & BAVELIER, D. (2009).
Increasing speed of processing with action video games. Current
Directions in Psychological Science, 18 (6),
321-326. [PDF] |
|
 |
Voir aussi Temps
de réaction et
Précision |
 |
|
|
|
|
|
Vitousek Kelly M. ( ) : Psychologue
cognitivo-béhavioriste
américaine, spécialisée dans le traitement des troubles
alimentaires, plus particulièrement de l'anorexie.
Collaborateur de Grilo, Tsai
et Wilson.

 |
VITOUSEK, K.M. & HOLLON, K.B. (1990). The
investigation of schematic content and processing in
eating disorder. Cognitive Therapy & Research,
14, 191-214. |
VITOUSEK, K.M. & MANKE, F. (1994). Personality
variables and disorders in anorexia nervosa and bulimia
nervosa. Journal of Abnormal Psychology, 103,
137-147. |
VITOUSEK, K.M. (1996). The current status of cognitive
behavioural models of anorexia nervosa and bulimia
nervosa. Frontiers of Cognitive Therapy,
383-418. |
VITOUSEK, K.M. (2004). The case for semi-starvation.
European Eating Disorders Review, 12, 275-278. [PDF] |
VITOUSEK, K.M. & STUMPF, R.E. (2005). Difficulties in
the assessment of personality traits and disorders in
eating-disordered individuals. Eating Disorders, 13 (1),
37-60. |
 |
 |
|
|
|
Vivide
: Vividité : Le terme désigne soit l'ntensité des images
que l'on se remémore (souvenir), soit une caractéristique (la
clarté) des images que l'on projette à un sujet lors d'une expérience.
EX : Image vivide, mémoire vivide.
= clarté.
Vividness effects, vivid
memories, vividness of visual imagery.
| |
|
JERSILD, A. (1929). Primacy, recency, frequency, and
vividness Journal of Experimental Psychology, 12 (1),
58-70. |
BANCAUD, J., BRUNET-BOURGIN, F., CHAUVEL, P. &
HALGREN, E. (1994). Anatomical origin of deja vu and vivid
"memories" in human temporal lobe epilepsy. Brain,
117, 71-90. |
TULVING, E. McNULTY, J.A. & OZIER, M. (1965).
Vividness of words and learning to learn in free-recall
learning. Canadian Journal of Psychology, 19,
242-252. [PDF] |
BELLEZZA, F.S. (1995). The characteristics of imagery
cues. In S.J. McKelvie (Ed.), Vividness of visual
imagery. Measurement, nature, function and dynamics
(pp. 123-129). New York : Brandon House, Inc. |
MARKS, D.F. (1972). Individual differences in the
vividness of visual imagery and their effects. In P.W.
Sheehan (Ed.), The function and nature of imagery
(pp. 83-108). New York : Academic Press. |
BADDELEY, A.D. & ANDRADE, J. (2000). Working memory
and the vividness of imagery. Journal of Experimental
Psychology : General, 129, 126-145. |
RUBIN, D.C. KOZIN, M. (1984). Vivid memories.
Cognition, 16, 81-95. |
|
KISELIUS, J. & STERNTHAL, B. (1984). Detecting and
explaining vividness effects in attitudinal judgments.
Journal of Marketing Research, 21 (1), 54-64. |
|
CORNOLDI, C., DE BENI, R., GISBERTI, F., MARUCCI, F.,
MASSIRONI, M. & MAZZONI, G. (1991). The study of
vividness of imagery. In R.H. Logie & M. Denis (Eds.),
Mental images in cognition (pp. 305-313). North
Holland : Elsevier Science Publishers B.V. |
EBERMAN. C. & McKELVIE, S.J. (2002). Vividness of
visual imagery and source memory for audio and text. Applied
Cognitive Psychology, 16 (1), 87-95. |
HISHITANI, S. (1991). Vividness of image and retrieval
time. Perceptual & Motor Skills, 73,
115-123. |
KENSINGER, E.A. & CORKIN, S. (2003). Memory
enhancement for emotional words : Are emotional words more
vividly remembered than neutral words ? Memory &
Cognition, 31 (8), 1169–1180. [PDF] |
|
 |
Voir aussi Salience,
Effet de contraste et Image |
 |
|
Vladescu Jason C. ( ) : Psychologue
béhavioriste
américain, spécialisé dans
l'analyse fonctionnelle du comportement. Collaborateur de Kodak.
 |
VLADESCU, J.C. (2007). Test review : Kaufmann Test of
Educational Achievement-Second Edition. Journal of
Psychoeducational Assessment, 25, 92-100. |
VLADESCU, J.C. & KODAK, T. (2010). A review of recent
studies on differential reinforcement during skill
acquisition in early intervention. Journal of Applied
Behavior Analysis, 43 (2), 351-355. [PDF] |
VLADESCU, J.C., CARROLL, R., PADEN, A. & KODAK, T.
(2012). The effects of video modeling with voiceover
instruction on accurate implementation of discrete trial
instruction. Journal of Applied Behavior Analysis,
45, (2), 419-423. [PDF] |
VLADESCU, J.C. & KODAK, T. (2013). Increasing
instructional efficiency by presenting additional stimuli
in learning trials for children with autism spectrum
disorders. Journal of Applied Behavior Analysis, 46
(4), 805-816. [PDF] |
VLADESCU, J.C. & KODAK, T. (2016). Using a
multiple-schedule arrangement to bring mands under the
control of adult behavior in a child with autism. Behavioral
Interventions, 31, 3-11. |
 |
 |
|
| VOCALISATION
- VOIE CÉRÉBRALE -
VOIX - VOLLING - VOLLMER
- VOLONTÉ - VOMIR
- VON - VON
NEUMANN - VONÈCHE - VOTER
- VR |
Vocabulaire
: Ensemble des mots
d'une langue (ou d'un sous-domaine d'une langue).
= lexique. Vocabulary, word.
| Vocabulaire
moyen estimé selon l'âge |
| 1
an |
0-10 mots |
| 2
ans |
400
mots |
| 3
ans |
1500
mots |
| 6
ans |
10,000-14,000
mots |
| Adulte |
30,000-100,000
mots |
| Ce
lexique |
15,000 mots et + :0) |
|
|
 |
| |
|
GATES, A.I. (1926). A reading vocabulary for the
primary grades. New York, NY : Teachers College. |
SÉNÉCHAL, M. (2000). Examen du lien entre la lecture de
livres et le développement du vocabulaire chez l'enfant
préscolaire. Enfance, 52, 169-186. |
WHEELER, H.E. & HOWELL, E.A. (1930). A first grade
vocabulary study. The Elementary School Journal, 31,
52-60. |
|
CARROLL, J.B. (1938). Diversity of vocabulary and the
harmonic series law of word-frequency distribution. The
Psychological Record, 2, 379-386. [PDF] |
|
ANDERSON, R.C. & FREEBODY, P. (1981). Vocabulary
knowledge. In J. Guthrie (Ed.), Comprehension and
teaching : Research reviews (pp. 77-117). Newark,
DE : International Reading Association. |
BIEMILLER, A. (2001). Teaching vocabulary : Early, direct,
and sequential. American Educator, 25, 24–28,
47. |
JOHNSON, G., GERSTEN, R. & CARNINE, D. (1987). Effects
of instructional design variables on vocabulary
acquisition of LD students : A study of computer-assisted
instruction. Journal of Learning Disabilities, 20,
206-213. |
GARLOCK, V.M., WALLEY, A.C. & METSAL, J.L. (2001).
Age-of-acquisition, word frequency, and neigh- borhood
density effects on spoken word recognition by children and
adults. Journal of Memory & Language, 45,
468-492. |
NAGY, W.E. & HERMAN, P.A. (1987). Breadth and depth of
vocabulary knowledge : Implications for acquisition and
instruction. In M.G. McKeown & M.E. Curtis (Eds.), The
nature of vocabulary acquisition (pp. 19-36).
Hillsdale, NJ : Erlbaum. |
ROTH, F. (2002). Vocabulary instruction for young children
with language impairments. Perspectives on Language
Learning & Education, 9 (3), 3–7. |
|
VERHAEGHEN, P. (2003). Aging and vocabulary scores : A
meta-analysis. Psychology & Aging, 18,
332-339. |
VALDEZ-MENCHACA, M.C. & WHITEHURST, G.J. (1988). The
effects of incidental teaching on vocabulary acquisition
by young children. Child Development, 59, 1451-1459. |
MUTER, V., HULME, C., SNOWLING, M. & STEVENSON, J.
(2004). Phonemes, rimes, vocabulary, and grammatical
skills as foundations of early reading development :
Evidence from a longitudinal study. Developmental
Psychology, 40 (5), 665-681. |
ELLEY, W.B. (1989). Vocabulary acquisition from listening
to stories. Reading Research Quarterly, 24, 174–187. |
CHIAPPE, P., CHIAPPE, D.L. & GOTTARDO, A. (2004).
Vocabulary, context, and speech perception among good and
poor readers. Educational Psychology, 24, 825-843. |
ANGLIN, J.M. (1989). Vocabulary growth and the
knowledge-learning distinction. Reading Canada, 7, 142-146. |
AUGUST, S., CARLO, M., DRESSLER, C. & SNOW, C. (2005).
The critical role of vocabulary development for English
language learners. Learning Disabilities Research
& Practice, 20 (1), 50-57. [PDF] |
RICE, M.L., HUSTON, A.C., TRUGLIO, R.T. & WRIGHT, J.C.
(1990). Words from Sesame Street : Learning vocabulary
while viewing. Developmental Psychology, 26,
421-428. |
BIEMILLER, A. (2005). Size and sequence in vocabulary
development : Implications for choosing words for primary
grade vocabulary instruction. In A. Hiebert & M. Kamil
(Eds.), Teaching and learning vocabulary : Bridging
research to practice (pp. 223-242). Mahwah, NJ :
Erlbaum. |
LEUNG, C.B. (1992). Effects of word-related variables on
vocabulary growth through repeated read-aloud events. National
Reading Conference Yearbook, 41, 491–498. |
SÉNÉCHAL, M., OUELLETTE, G. & RODNEY, D. (2006). The
misunderstood giant : On the predictive role of early
vocabulary to future reading. In D.K. Dickinson & S.B.
Neuman (Eds.), Handbook of early literacy (pp.
173-182). New York, NY : Guilford. |
 |
|
KRCMAR, M., GRELA, B. & LIN, K. (2007). Can toddlers
learn vocabulary from television ? An experimental
approach. Media Psychology, 10 (1), 41-63. |
WALLEY, A.C. (1993). The role of vocabulary development in
children’s spoken word recognition and segmentation
ability. Developmental Review, 13, 286-350. |
GUPTA, P. & MacWHINNEY, B. (2007). Vocabulary
acquisition and verbal short-term memory : Computational
and neural bases. Brain & Language, 59,
267-333. [PDF] |
SÉNÉCHAL, M. & CORNELL, E.H. (1993). Vocabulary
acquisition through shared reading experiences. Reading
Research Quarterly, 28, 360-374. |
BECK, I. & McKEOWN, M.G. (2007). Increasing young low
income children's oral vocabulary repertoires through rich
and focused instruction. Elementary School Journal, 107
(3), 251-271. |
CHO, K.S. & KRASHEN, S. (1994). Acquisition of
vocabulary from the Sweet Valley Kids series. Journal
of Reading, 37, 662-667. |
SÉNÉCHAL, M., PAGAN, S., LEVER, R. & OUELLETTE, G.
(2008). Relations among the frequency of shared reading
and 4-year-old children's vocabulary, morphological and
syntax comprehension, and narrative skills. Early
Education & Development, 19, 28-45. |
GLENN, S.S. (1994). On science, scientists, and scientific
vocabulary : Commentary on Michael Harrison's "The
representative animal". The Behavior Analyst, 17,
219-221. [PDF] |
XU, X. (2010). The Effects of glosses on incidental
vocabulary acquisition in reading. Journal of
Language Teaching & Research, 1 (2), 117-120.
[PDF] |
SÉNÉCHAL, M., CORNELL, E.H. & BRODA, L. (1995).
Vocabulary acquisition through shared reading experiences.
Early Childhood Research Quarterly, 27, 317–337. |
VERHOEVEN, L. VAN LEUWEE, J. & VERMEER, A. (2011).
Vocabulary growth and reading development across the
elementary school years. Scientific Studies of
Reading, 15, 8-25. |
HART, B. & RISLEY, T.R. (1995). Meaningful
differences in the everyday experience of young American
children. Baltimore : Paul H. Brooks. |
FRISHKOFF, G.A., PERFETTI, C.A. & COLLINS-THOMPSON, K.
(2011). Predicting robust vocabulary growth from measures
of incremental learning. Scientific Studies of
Reading, 15, 71-91. [PDF] |
SÉNÉCHAL, M., THOMAS, E. & MONKER, J. (1995).
Individual differences in 4-year-old children’s
acquisition of vocabulary during storybook reading.
Journal of Educational Psychology, 87, 218-229. |
VERHOEVEN, L. & PERFETTI, C.A. (2011). Vocabulary
growth and reading skill. Scientific Study of Reading,
15 (1), 1-7. [PDF] |
SÉNÉCHAL, M., LEFEVRE, J.-A. HUDSON, E. & LAWSON, P. (1996). Knowledge of picture-books as a predictor of young children’s vocabulary development. Journal of Educational Psychology, 88, 520-536. |
FARNIA, F. & GEVA, E. (2011). Cognitive correlates of
vocabulary growth in English language learners. Applied
Psycholinguistics, 32, 711-738. [PDF] |
GUPTA, P. & MacWHINNEY, B. (1997). Vocabulary
acquisition and verbal short-term memory : Computational
and neural bases. Brain & Language, 59,
267-233. [PDF] |
|
SÉNÉCHAL, M. (1997). The differential effect of storybook
reading on preschoolers' acquisition of expressive and
receptive vocabulary. Journal of Child Language, 24, 123–138.
[PDF]
|
PAGAN, S. & SÉNÉCHAL, M. (2014). Involving parents in
a summer book reading program to promote reading fluency,
comprehension and vocabulary in grade 3 and 5 children. Canadian
Journal of Education/Revue Canadienne de l’Éducation,
37, 1-26. [PDF] |
BAKER, S.K., SIMMONS, D.C. & KAME'ENUI, E.J. (1998).
Vocabulary acquisition : Research bases. In D.C. Simmons
& E.J. Kame'enui (Eds.), What reading research
tells us about children with diverse learning needs :
Bases and basics (pp. 183-218). Mahwah, NJ :
Erlbaum. |
|
HART, B. & RISLEY, T.R. (1999). The social world
of children learning to talk. Baltimore : Paul H.
Brookes Publishing Co. |
SÉNÉCHAL, M. & LEFEVRE, J.-A. (2014). Continuity and
change in the home literacy environment as predictors of
growth in vocabulary and reading. Child Development,
85, 1535-1551. |
 |
|
 |
Voir aussi Mot, Lexique,
Lire
et Comportement
verbal |
 |
|
Vocabulaire
(Mesures/Évaluation) :
Ensemble des critères
de diagnostic, des
tests et des outils
de collecte de données qui permettent
d'évaluer et de mesurer
l'acquisition du vocabulaire.
Vocabulary testing.
| |
|
CURTIS, M.E. (1987). Vocabulary testing and instruction.
In M.G. McKeown & M.E. Curtis (Eds.), The nature
of vocabulary acquisition (pp. 37–51). Hillsdale,
NJ: Erlbaum. |
DUNN, L.M. & DUNN, L.M. (1997). Peabody Picture
Vocabulary Test. Circle Pines, MN : American
Guidance Service. |
 |
 |
|
|
|
Vocalisation
: Chez le nourrisson,
premiers mots prononcés.
Vocalisation et gazouillis.
Vocalization.
| |
|
PROVINE, R.R. (2004). Infant vocalizations : Contrasts
between crying and laughter. Behavioral & Brain
Sciences, 27, 471-472. |
ESCH, B.E., CARR, J.E. & GROW, L.L. (2009). Evaluation
of an enhanced stimulus-stimulus pairing procedure to
increase early vocalizations of children with autism. Journal
of Applied Behavior Analysis, 42 (2), 225-241. [PDF] |
PELAEZ, M., VURUÉS-ORTEGA, J. & GEWIRTZ, J.L. (2011).
Reinforcement of vocalizations through contingent vocal
imitation. Journal of Applied Behavior Analysis, 44
(1), 33-40.
[PDF] |
PELAEZ, M., VURUÉS-ORTEGA, J. & GEWIRTZ, J.L. (2011).
Contingent and noncontingent reinforcement with maternal
vocal imitation and motherese speech : Effects on infant
vocalizations. European Journal of Behaviour
Analysis, 12 (1), 277-287. |
|
 |
Voir aussi Babillage,
Nourrisson, Gazouillis
et Mot |
 |
|
Vodanovich
Stephen J. ( ) : Psychologie
américain et spécialiste de l'étude de
l'ennui.
 |
VODANOVICH, S.J. & KASS, S.J. (1990). A factor
analytic study of the boredom proneness scale. Journal
of Personality Assessment, 55 (1-2), 115-123. |
VODANOVICH, S.J., VERNER, K.M. & GILDBRIDE, T.V.
(1991). Boredom proneness : Its relationship to positive
and negative affect. Psychological Reports, 69 (S3),
1139-1146. |
VODANOVICH, S.J. (2003). Psychometric measures of boredom
: A review of the literature. The Journal of
Psychology, 137 (6), 569-595. |
VODANOVICH, S.J., WALLACE, J.C. & KASS, S.J. (2005). A
confirmatory approach to the factor structure of the
Boredom Proneness Scale : Evidence for a two-factor short
form. Journal of Personality Assessment, 85 (3),
295-303. |
VODANOVICH, S.J. & WATT, J.D. (2016). Self-report
measures of boredom : An updated review of the literature.
The Journal of Psychology : Interdisciplinary &
Applied, 150 (2), 196-228. |
 |
 |
|
Vodou
: Vodouisme : Voodoo.
| |
|
ARONOVITCH, D. (2009). Voodoo histories : The role of
the conspiracy theory in shaping modern history. London
: Jonathan Cape. |
DIENER, E. (2010). Neuroimaging : Voodoo, new phrenology,
or scientific breakthrough ? Introduction to special
section on fMRI. Perspectives on Psychological
Science, 5, 714-715. |
|
 |
Voir aussi Croyance |
 |
|
|
|
Vogel
David L. ( ) : Psychologue
américain et spécialiste de l'étude de l'aide
professionnelle. Collaborateur de Boysen.
 |
VOGEL, D.L. & WESTER, S.R. (2003). To seek help or not
to seek help : The risks of self-disclosure. Journal
of Counseling Psychology, 50, 351-361. |
VOGEL, D.L., WEI, M., BOYSEN, G.A. & WESTER, S.R.
(2005). The role of outcome expectations and attitudes on
decisions to seek professional help. Journal of
Counseling Psychology, 52 (4), 459-470. [PDF] |
VOGEL, D.L., WADE, N.G. & HACKLER, A.H. (2008).
Emotional expression and the decision to seek therapy :
The mediating roles of the anticipated benefits and risks.
Journal of Social & Clinical Psychology, 27,
254-278. |
VOGEL, D.L., WADE, N.G. & ASCHEMAN, P.L. (2009).
Measuring perceptions of stigmatization by others for
seeking psychological help : Reliability and validity of a
new stigma scale with college students. Journal of
Counseling Psychology, 56 (2), 301-308.
[PDF] |
VOGEL, D.L., HEIMERDINGER-EDWARDS, S.R., HAMMER, J.H.
& HUBBARD, A. (2011). "Boys don't cry" : Examination
of the links between endorsement of masculine norms,
self-stigma, and help-seeking attitudes for men from
diverse backgrounds. Journal of Counseling Psychology,
58, 368-382. |
 |
 |
|
Vogel
Edward K. ( ) : Psychologue
cognitiviste
américain et spécialiste de l'étude la mémoire
de travail. Professeur de Adam.
Collaborateur de Awh et
Luck.
 |
VOGEL, E.K., LUCK, S.J. & SHAPIRO, K.L. (1998).
Electrophysiological evidence for a post-perceptual locus
of suppression during the attentional blink. Journal
of Experimental Psychology : Human Perception &
Performance, 24 (6), 1656-1674. [PDF] |
VOGEL, E.K., WOODMAN, G.F. & LUCK, S.J. (2001).
Storage of features, conjunctions, and objects in visual
working memory. Journal of Experimental Psychology :
Human Perception & Performance, 27 (1), 92-114.
[PDF] |
VOGEL, E.K. & LUCK, S.J. (2002). Delayed working
memory consolidation during the attentional blink. Psychonomic
Bulletin & Review, 9, 739-743. [PDF] |
VOGEL, E.K., McCOLLOUGH, A.W. & MACHIZAWA, M.G.
(2005). Neural measures reveal individual differences in
controlling access to visual working memory. Nature,
438, 500-503.
[PDF] |
VOGEL, E.K., WOODMAN, G.F. & LUCK, S.J. (2006). The
time course of consolidation in visual working memory. Journal
of Experimental Psychology : Human Perception &
Performance, 32 (6), 1436-1451. [PDF] |
 |
 |
|
Vohs Kathleen D. ( ) : Psychosociologue
américaine. Elle s'intéresse notamment aux effets psychologiques
de l'argent. Collaborateur
de Abramson, Baumeister,
Faber, Joiner, Kenricks,
Krueger, Roese et
Schooler.
 |
VOHS, K.D. & HEATHERTON, T.F. (2000). Self-regulation
failure : A resource-sepletion approach. Psychological
Science, 11, 49-54. |
VOHS, K.D., CIAROCOO, N.J. & BAUMEISTER, R.F. (2005).
Self-regulation and self-presentation : Regulatory
resource depletion impairs impression management and
effortful self-presentation depletes regulatory resources.
Journal of Personality & Social Psychology, 88
(4), 632-657. [PDF] |
VOHS, K.D. & SCHOOLER, J.W. (2008). The value of
believing in free will : Encouraging a belief in
determinism increases cheating. Psychological
Science, 19 (1), 49-54. [PDF] |
VOHS, K.D. SENGUPTA, J. & DAHL, D.W. (2014). The price
had better be right : Women's reactions to sexual stimuli
vary with market factors. Psychological Science, 25
(1), 278-283. [PDF] |
VOHS, K.D. (2015). Money priming can change people's
thoughts, feelings, motivations, and behaviors : An update
on 10 years of experiment. Journal of Experimental
Psychology : General, 144 (4), 86-93. [PDF] |
 |
 |
|
Voicu
Horatiu ( ) : Neurocognitiviste
américain, spécialisé dans l'étude des mécanismes biologiques et
cognitifs de l'apprentissage
et de
l'inhibition latente. Étudiant de
Schmajuk.
 |
VOICU, H. & SCHMAJUK, N.A. (2001). Exploration,
navigation, and cognitive mapping. Adaptive Behavior,
8 (3-4), 207-224. |
VOICU, H. & SCHMAJUK, N.A. (2001). Three-dimensional
cognitive mapping with a neural network. Robots &
Autonomous Systems, 35, 23-36. |
VOICU, H. & SCHMAJUK, N.A. (2002). Latent learning,
shortcuts and detours : a computational model. Behavioural
Processes, 59, 67–86. |
VOICU, H. (2003). Hierarchical cognitive maps. Neural
Networks, 16, 569-576. [PDF] |
VOICU, H. & SCHMAJUK, N.A. (2004). Detour strategies
in humans : Testing the predictions of a cognitive map
model. Spatial Cognition & Computation, 4 (3),
189-206. |
 |
 |
|
Voie
(Troisième) : En psychologie,
expression qui désigne l'humanisme,
par opposition à la psychanalyse
(première voie) et au béhaviorisme
(deuxième voie). = psychologie
humaniste. Third force.
|
|
| |
BUGENTAL, J.F.T. (1964). The third force in psychology. Journal
of Humanistic Psychology, 4 (1), 19-26. |
|
 |
Voir aussi Humanisme |
 |
|
Voie
cérébrale : Chemin neural
suivit dans le cerveau par
l'influx nerveux en réponse
à un stimulus, et qui,
selon le cas, peut mener à de nombresuses structures
cérébrales. Certains auteurs distinguent le circuit (neural
circuit), qui forme une boucle (A-B-A), de la
voie cérébrale (pathway) qui va de A en B sans retourner à
son point d'origine.
( ): Voir
tableau ci-dessous.
Circuit, neural circuit,
neural pathway.
|
|
|
Voie
méso-corticale : Faisceau dopaminergique
constituante du
circuit de la récompense. Ce long faisceau
prend naissance dans
l'aire tegmentale ventrale, qui produit la dopamine,
relie ensuite plusieurs structures du système
limbique, notamment le noyau
accumbens, au cortex, plus
précisément au cortex
orbitofrontal. Mesocortical pathway,
prefrontal dopaminergic innervation.
| |
|
GOTO, Y. & GRACE, A.A. (2005). Dopaminergic modulation
of limbic and cortical drive of nucleus accumbens in
goal-directed behaviour. Nature Neuroscience, 8, 805-812. |
NANEIX, F., MARCHAND, A.R., DI SCALA, G., PAPE, J.R. &
COUTUREAU, E. (2009). A role for medial prefrontal
dopaminergic innervation in instrumental conditioning.
Journal of Neuroscience, 29, 6599-6606. |
|
 |
Voir aussi Circuit
dopaminergique et Voie
cérébrale |
 |
|
Voie
méso-limbique : L'un des faisceaux
dopaminergiques du
circuit de la récompense, situé dans le
mésencéphale. Mesolimbic dopamine
pathway, mesolimbic dopamine system.
| |
|
DI CHIARA, G. & IMPERATO, A. (1988). Drugs abused by
humans preferentially increase synaptic dopamine
concentrations in the mesolimbic system of freely moving
rats. Proceedings of the National Academy of
Sciences, U.S.A., 85, 5274-5278. |
NESTLER, E.J. & CALREZON, W.A. (2006). The mesolimbic
dopamine reward circuit in depression. Biological
Psychiatry, 59 (12), 1151-1159. [PDF] |
ADCOCK, R. A., THANGAVEL, A., WHITFIELD-GABRIELI, S.,
KNUTSON, B. & GABRIELI, J.D.E. (2006).
Reward-motivated learning : Mesolimbic activation precedes
memory formation. Neuron, 50 (3), 507–517. |
PIERCE, R.C. & KUMARESAN, V. (2006). The mesolimbic
dopamine system : The final common pathway for the
reinforcing effect of drugs of abuse ? Neuroscience
& Biobehavioral Reviews, 30, 215-238. |
THOMAS, M.J., KALIVAS, P.W. & SHAHAM, Y. (2008).
Neuroplasticity in the mesolimbic dopamine system and
cocaine addiction. British Journal of Pharmacology,
154, 327-342. |
WISE, R.A. (2009). Roles for nigrostriatal - not just
mesocorticolimbic - dopamine in reward and addiction. Trends
Neurosciences, 32 (10), 517-524. [PDF] |
IKEMOTO, S. (2010). Brain reward circuitry beyond the
mesolimbic dopamine system : A neurobiological theory. Neuroscience
& Biobehavioral Reviews 35, 129-150.
[PDF] |
|
 |
Voir aussi Circuit
dopaminergique et Voie
cérébrale |
 |
|
Voie
nigrostriée : L'une des voies du circuit
dopaminergique qui va de la subtance
noire jusqu'au striatum
dorsal. La dégénérescence de cette voie serait à l'origine
du Parkinson.
Nigrostriatal
pathway.
| |
 |
| |
AOSAKI, T., GRAYBIEL, A.M. & KIMURA, M. (1994). Effect
of the nigrostriatal dopamine system on acquired neural
responses in the striatum of behaving monkeys.
Science, 265, 412-415. |
HABER, S.N., FUDGE, J.L. & McFARLAND, N.R. (2000).
Striatonigrostriatal pathways in primates form an
ascending spiral from the shell to the dorsolateral
striatum. The Journal of Neuroscience, 20 (6),
2369-2382. [PDF] |
FAURE, A., HABERLAND, U., CONDE, F. & EL MASSIOUI, N.
(2005). Lesion to the nigrostriatal dopamine system
disrupts stimulus-response habit formation. Journal
of Neuroscience, 25, 2771-2780. |
WISE, R.A. (2009). Roles for nigrostriatal--not just
mesocorticolimbic--dopamine in reward and addiction. Trends
in Neurosciences, 32 (10), 517-524. [PDF] |
GROGER, A., KOLB, R., SCHÄFFER, R. & KLOSE, U. (2014).
Dopamine reduction in the substantia nigra of Parkinson's
disease patients confirmed by In vivo magnetic resonance
spectroscopic imaging. PLoS ONE, 9 (1), 1-6.
[PDF] |
| |
 |
Voir aussi Parkinson
et Circuit
dopaminergique |
 |
|
|
|
|
|
Voir
: Il y a de plus en plus de documents audiovisuels
disponibles sur Internet. Dans ce lexique, ce symbole
indique les documents que l'on peut voir gratuitement. Il
s'agit habituellement d'extraits de conférences ou d'entrevues.
|
Voir (Sens) : Voir Vision.
Vision, visual ability.
|
Voisin
: Voisinage : Ensemble des individus et des familles
qui vivent dans le même espace public (quartier,
village, rang, cantons, ville,
etc) que l'individu-cible.
En anglais, on utilise souvent le mot "community" pour désigner
cet espace public.
Neighborhood.
| |
|
BAUM, A. & DAVIS, G. & AIELLO, J.R. (1978).
Crowding and neighborhood mediation of urban density.
Journal of Population, 1 (3), 266-279. |
LEVENTHAL, T. & BROOKS-GUNN, J. (2003). Moving on up :
Neighborhood effects on children and families. In M.
Bornstein & R.H. Bradley (Eds.), Socioeconomic
status, parenting, and child development (pp.
209-230). Mahwah, NJ : Lawrence Erlbaum. |
FAWCETT, S.B., MATHEWS, R.M., FLETCHER, R.K., MORROW, R.
& STOKES, T.F. (1976). Personalized instruction income
neighborhood residents. Journal of Personalized
Instruction, 1, 86-90. |
LEVENTHAL, T. & BROOKS-GUNN, J. (2003). Children and
youth in neighborhood context. Current Directions in
Psychological Science, 12, 27-31. |
TAYLOR, R.B. & COVINGTON, J. (1988). Neighborhood changes in ecology and violence. Criminology 26 (4),
553-589. |
EIFFERTS, H. (2003). Analysing neighbourhood influence in
criminology. Statistica Neerlandica, 57 (3),
347-367. |
WENGER, G.C. (1990). The special role of friends and
neighbors. Journal of Aging Studies, 4 (2),
149-169. |
LEVENTHAL, T. & BROOKS-GUNN, J. (2003). Moving to
opportunity : An experimental study of neighborhood
effects on mental health. American Journal of Public
Health, 93, 1576-1582. |
BROOKS-GUNN, J., DUNCAN, G.J., KLEBANOV, P.K. &
SEALAND, N. (1993). Do neighborhoods influence child and
adolescent development ? American Journal of
Sociology, 99, 353-395. |
LEVENTHAL, T. & BROOKS-GUNN, J. (2004). A randomized
study of neighborhood effects on low-income children's
educational outcomes. Developmental Psychology, 40,
488-507. |
KLEBANOV, P.K., BROOKS-GUNN, J. & DUNCAN, G.J. (1994).
Does neighborhood and family poverty affect mothers'
parenting, mental health, and social support ? Journal
of Marriage & the Family, 56, 441-455. |
OBEIDALLAH, D., BRENNAN, R.T., BROOKS-GUNN, J. &
EARLS, F. (2005). Links between puberty timing,
neighborhood contexts, and girls’ violent behavior. Journal
of the American Academy of Child & Adolescent
Psychiatry, 43 (12), 1460-1468. |
UPCHURCH, D.M., ANESHENSEL, C.S., SUCOFF, C.A. &
LEVY-STORMS, L. (1999). Neighborhood and family contexts
of adolescent sexual activity. Journal of Marriage
& the Family, 61,920-933. |
KLING, J.R., LUDWIG, J. & KATZ, L.F. (2005).
Neighborhood effects on crime for female and male youth :
Evidence from a randomized housing voucher experiment. Quarterly
Journal of Economics, 120 (1), 87-130. |
LEVENTHAL, T. & BROOKS-GUNN, J. (2000). The
neighborhoods they live in : The effects of neighborhood
residence upon child and adolescent outcomes. Psychological
Bulletin, 126, 309-337. |
LEVENTHAL, T., FAUTH, R.C. & BROOKS-GUNN, J. (2005).
Neighborhood poverty and public policy : A 5-year
follow-up of children's educational outcomes in the New
York City moving to opportunity demonstration. Developmental
Psychology, 41 (6), 933-952. |
|
KRYSAN, M., COUPER, M., FARLEY, R. & FORMAN, T.
(2009). Does race matter in neighborhood preferences ?
Results from a video experiment. AJS : American
Journal of Sociology, 115 (2), 527-559. |
LEVENTHAL, T. & BROOKS-GUNN, J. (2001). Changing
neighborhoods : Understanding how children may be affected
in the coming century. Advances in Life Course
Research, 6, 263-301. |
DUPÉRÉ, V., LEVENTHAL, T. & VITARO, F. (2012).
Neighborhood processes, self-efficacy, and adolescent
mental health. Journal of Health & Social
Behavior, 53 (2), 183-198. |
KOHEN, D.E., BROOKS-GUNN, J., LEVENTHAL, T. &
HERTZMAN, C. (2002). Neighborhood income and physical and
social disorder in Canada : Associations with young
children's competencies. Child Development, 73,
1845-1860. |
GRAIF, C., GLADFELTER, A.S. & MATTHEWS, S. (2014).
Urban poverty and neighborhood effects on crime :
Incorporating spatial and network perspectives.
Sociology Compass, 8 (9), 1140-1155. |
 |
|
 |
Voir aussi Exosystème,
Isolement
social, Ami et
Ville |
 |
|
Voiture
: Voiture électrique : Voiture,
conduite et pollution.
Car.
| |
|
KAMATA, S. (1976/84). Japan in the passing lane :
Insider’s account of life in a japanese auto factory.
New York, N.Y : Unwin Hyman. / Toyota, l’usine du
désespoir. Paris : Éditions Ouvrières. |
JOIREMAN, J., VAN LANGE, P.A.M. & VAN VUGT, M
(2004). Who cares about the environmental impact of cars
? Those with an eye toward the future. Environment
& Behavior, 35, 1-20. [PDF]
|
NEWMAN, P. & KENWORTHY, J. (1989). Cities and
automobile dependence : An international source book.
Aldershot, UK : Gower. |
ROBINSON, J., BRASE, G.L., GRISWOLD, W.,
JACKSON, C. & ERICKSON, L. (2014). Business models for
solar powered charging stations to develop infrastructure
for electric vehicles.Sustainability, 6 (10),
7358-7387.
|
|
 |
Voir aussi Conduire,
Accident et Pollution |
 |
|
Voix
: Voix, expression
d'une émotion et prosodie.
Voice.
| |
|
EKMAN, P., FRIESEN, W.V. & SCHERER, K.R. (1976). Body
movement and voice pitch in deceptive interaction. Semiotica,
16 (1), 23-27. |
ZUCKERMAN, M. & DRIVER, R.E. (1989). What sounds good
is beautiful : The vocal attractiveness stereotype.
Journal of Nonverbal Behavior, 13, 67-82. |
|
SCHERER. K.R. (1986). Vocal affect expression : a review
and a model for future research. Psychological
Bulletin, 99, 143-165.
|
SCHERER. K.R. (1978). Personality inference from voice
quality : The loud voice of extraversion. European
Journal of Social Psychology 8, 467-487. |
EKMAN, P., O'SULLIVAN, M., FRIESEN, W.V. & SCHERER,
K.R. (1991). Face, voice and body in detecting deception.
Journal of Nonverbal Behavior, 15 (2), 125-135.
|
HALL, J.A. (1980). Voice tone and persuasion. Journal
of Personality & Social Psychology, 38,
924-934. |
KAPPAS, A., HESS, L.L. & SCHERER. K.R. (1991).
Voice and emotion. In R.S.FELDMAN & B. RIME (Eds.), Fundamentals
of nonverbal behavior (pp. 200-238). Cambridge : Cambridge
University Press.
|
DECASPAR, A. & FIFER, W. (1980). Newborns prefer their
mother's voices. Science, 208, 1174-1176. |
|
MILLER C.L., YOUNGER, B.A. & MORSE, P.A. (1982). The
categorization of male and female voices in infancy. Infant
Behavior & Development, 5, 143-159. |
GREER, R.D., PISTOLJEVIC, N., CAHILL, C. & DU, L.
(2011). Effects of conditioning voices as reinforcers for
listener responses on rate of learning, awareness, and
preferences for listening to stories in preschoolers with
autism. The Analysis of Verbal Behavior, 27 (1),
103-124.
[PDF] |
SCHERER. K.R. (1982). Methods of research on vocal
communication : Paradigms and parameters", in K R .
Scherer & P. Ekman ( Eds.), Handbook of methods in
nonverbal behavior research (pp. 136-198). Cambridge
: Cambridge University Press.
|
PUTS, D.A., BARNDT, J.L., WELLING, L.L.M., DAWOOD, K.
& BURRISS, R.P. (2011). Intrasexual competition among
women : Vocal femininity affects perceptions of
attractiveness and flirtatiousness. Personality &
Individual Differences, 50, 111-115. [PDF]
|
|
 |
Voir aussi Expression
d'une émotion et Prosodie |
 |
|
|
|
Volberg Rachel A. ( ) : Sociologue
américaine et spécialiste de l'étude du jeu
de hasard et des joueurs
compulsifs. Collaboratrice de Delfabbro,
Griffiths, Gupta,
Ladouceur et
Williams.
 |
VOLBERG, R.A. & STEADMAN, H.J. (1988). Refining
prevalence estimates of pathological gambling.
American Journal of Psychiatry, 145, 502-505. |
VOLBERG, R.A. & STEADMAN, H.J. (1992). Accurately
depicting pathological gamblers : Policy and treatment
implications. Journal of Gambling Studies, 8, 401-412. |
VOLBERG, R.A. & WRAY, M. (2007). Legal gambling and
problem gambling as mechanisms of social domination : Some
considerations for future research. American
Behavioral Scientist, 51 (1), 56-85. |
VOLBERG, R.A., GUPTA, R., GRIFFITHS, M.D., OLASON, D.
& DELFABBRO, P.H. (2010). An international perspective
on youth gambling prevalence studies. International
Journal of Adolescent Medicine & Health, 22 (1),
3-38. [PDF] |
VOLBERG, R.A. & WRAY, M. (2012). Beyond social control
: Prevalence research and the uses of expert knowledge. Addiction
Research & Theory, 21 (1), 15-16. |
 |
 |
|
Voler : Voleur : Vol : Vol, crime
et
criminalité.
Stealing, theft.
| |
|
AZRIN, N.H. & WESOLOWSKI, M.D. (1974). Theft reversal
: An over-correction procedure for eliminating stealing by
retarded persons. Journal of Applied Behavior
Analysis, 7 (4), 577-581. [PDF] |
SWITZER, E.B., DEAL, T.E. & BAILEY, J.S. (1977). The
reduction of stealing in second graders using a group
contingency. Journal of Applied Behavior Analysis, 10
(2), 267-272. [PDF] |
BLURTON-JONES, N. (1984). A selfish origin for human food
sharing : tolerated theft. Ethology &
Sociobiology, 5, 1–3. |
GREENBERG, J. (2002). Who stole the money, and when ?
Individual and situational determinants of employee theft.
Organizational Behavior & Human Decision
Processes, 89, 985-1003. |
APPELBAUM, S. H., COTTIN, J., PARE, R. & SHAPIRO, B.T.
(2006). Employee theft : From behavioural causation and
prevention to managerial detection and remedies. Journal
of American Academy of Business, 9 (2), 175-182. |
SAUSER, W.I. (2007). Employee theft : Who, how, why, and
what can be done. S.A.M. Advanced Management Journal,
72 (3), 13-25. |
|
 |
Voir aussi Crime
et Criminalité |
 |
|
|
|
|
|
Volkmann
Alfred Wilhelm (Leipzig Allemagne 1800-1877 Halle
Allemagne) : Physiologiste
allemand. Professeur de Lotze.
|
Volkmar
Fred R. (1950-) : Psychiatre
et psychologue américain, spécialisé dans l'étude des
troubles mentaux infantiles, et plus particulièrement de
l'autisme. Collaborateur de Bailey,
Lord, Reichow, Rutter
et Ozonoff.
 |
VOLKMAR, F.R. & MAYES, L.C. (1990). Gaze behavior in
autism. Development & Psychopathology, 2,
61-69. |
VOLKMAR, F.R., LORD, C., BAILEY, A., SCHULTZ, R.T. &
KLIN, A. (2004). Autism and pervasive developmental
disorders. Journal of Child Psychology &
Psychiatry, 45 (1), 135-170. |
VOLKMAR, F.R. & CHAWARSKA, K. (2008). Autism in
infants : an update. World Psychiatry, 7 (1),
19-21. [PDF] |
VOLKMAR, F.R. & REICHOW, B. (2013). Autism in DSM-5 :
Progress and challenges. Molecular Autism, 4, [13],
2-6. [PDF] |
VOLKMAR, F.R. & REICHOW, B. (2014). Infants and
toddlers with autism : The promise and the challenges. International
Journal of Speech-Language Pathology, 16 (1),
11-14. |
 |
 |
|
Volkow
Nora D. (1956-) : Psychiatre
américaine et spécialiste de la dépendance
aux drogues. Elle s'intéresse notamment aux effets de la cocaïne
et au rôle de la dopamine.
Collaboratrice de Koob et Swanson.
 |
VOLKOW, N.D., DING, Y.S., FOWLER, J.S., WANG, G.J., LOGAN,
J., GATLEY, J., DEWEY, S., ASHBY, C., LIEBERMANN, J. &
HITZEMANN, R. (1995). Is methylphenidate like cocaine ?
Studies on their pharmacokinetics and distribution in
human brain. Archives of General Psychiatry, 52,
456-463. |
VOLKOW, N.D., FOWLER, J.S. & WANG, G.J. (1995).
Imaging studies on the role of dopamine in cocaine
reinforcement and addiction in humans. Journal of
Psychopharmacology, 13 (4), 337-345. [PDF] |
VOLKOW, N.D., WANG, G.-J., FOWLER, J.S., GATLEY, J.,
LOGAN, J., DING, Y-DEWEY, S.L., HITZEMANN. R., GIFFORD,
A.N. & PAPPAS, N.R. (1999). Blockade of striatal
dopamine transporters by intravenous methylphenidate is
not sufficient to induce self-reports of "high". Journal
of Pharmacology & Experimental Therapeutics, 288
(1), 14-20. [PDF] |
VOLKOW, N.D., FOWLER, J.S., WANG, G.-J. & SWANSON,
J.M. (2004). Dopamine in drug abuse and addiction :
Results of imaging studies and treatment implications. Molecular
Psychiatry, 9, 557-569. [PDF] |
VOLKOW, N.D., KOOB, G.F. & McLELLAN, A.T. (2016).
Neurobiologic advances from the brain disease model of
addiction. The New England Journal of Medicine, 374
(4), 363–371. [PDF] |
 |
 |
|
Volleyball
: Sport. Voleyball.
| |
|
BORGEAUD, P. & ABERNETHY, B. (1987). Skilled
perception in volley-ball defense. Journal of Sport
Psychology, 9, 400-406. |
STEWART, M.J. & ELLERY, P.J. (1998). Sources and
magnitude of perceived psychological stress in high school
volleyball officials. Perceptual & Motor Skills,
87, 1275-1282. |
SPINK, K.S. (1990). Group cohesion and collective efficacy
of volleyball teams. Journal of Sport Exercice
pyschology, 12, 301-311. |
|
GOLDSMITH, P.A. & WILLIAMS, J.M. (1992). Perceived
stressor for football and volleyball officials from three
rating levels. Journal of Sport Behavior, 15
(2), 106-118. |
ZETOU, E., TZETZIS, G., VERNADAKIS, N. &
KIOURMOURTZOGLOU, E. (2002). Modeling in learning two
volleyball skills. Perceptual & Motor Skills, 94,
1131–1142. [PDF] |
HASTIE, P.A. (1993). Coaching preferences of high school
girl volleyball players. Perceptual & Motor
Skills, 77, 1309-1310. |
PERREIRA, F.R.M., GRAÇA, A.B.D.S. BLOMQVIST, M. &
MESQUITA, I.M.R. (2011). Instructional approaches in youth
volleyball training settings : the influence of player's
age and gender. International Journal of Sport
Psychology, 42 (3), 227-244. [PDF] |
HASTIE, P.A. (1995). Factors affecting coaching
preferences of secondary school volleyball players.
Perceptual & Motor Skills, 80, 347-350. |
MIRJAMALI, E., RAMZANINEZHAD, R., RAHMANINIA, F. &
REIHANI, M. (2012). A study of sources of stress in
International and National Referees of soccer, volleyball,
basketball and handball in Iran. World Journal of
Sport Sciences, 6 (4), 347-354. [PDF] |
| |
 |
Voir aussi Équipe
et Sport |
 |
|
Volling
Brenda L. ( ) :
Psychologue écologiste
américaine et spécialiste du développement
de l'enfant. Collaboratrice
de Belsky et Youngblade.
 |
VOLLING, B., YOUNGBLADE, L.M. & BELSKY, J. (1997).
Young children's social relationships with siblings and
friends. American Journal of Orthopsychiatry, 67, 102-111. |
VOLLING, B.L., McELWAIN, N.L. & MILLER, A. L. (2002).
Emotion regulation in context : The jealousy complex
between young siblings and its relations with child and
family characteristics. Child Development, 73,
581-600. |
VOLLING, B.L., McELWAIN, N.L., NOTARO, P.C. & HERRERA,
C. (2002). Parents’ emotional availability and infant
emotional competence : Predictors of parent-infant
attachment and emerging self-regulation. Journal of
Family Psychology, 16, 447-465. |
VOLLING, B.L. (2005). The transition to siblinghood : A
developmental ecological systems perspective and
directions for future research. Journal of Family
Psychology, 19 (4), 542-549. |
VOLLING, B.L., KOLAK, A. & LANDON, A.Y. (2009). Family
subsystems and the development of self-regulation. In S.L.
Olson & A.J. Sameroff (Eds.), Biopsychosocial
regulatory processes in the development of childhood
behavioral problems (pp. 238-257). NY : Cambridge
University Press. |
 |
 |
|
Vollmer
Timothy R. ( ) : Psychologue
béhavioriste américain
et spécialiste de l'étude et du traitement de
l'automutilation. Il s'intéresse également au renforcement
automatique. Professeur de Borrero
et Rapp. Collaborateur de
Bailey, Dorsey, Hagopian,
Iwata, Lalli,
Leblanc, Lerman, Miltenberger,
Neef, Northup,
Pace, Ringdahl,
Shore, Smith, Wacker
et Zarcone.
 |
VOLLMER, T.R., IWATA, B.A., ZARCONE, J.R., SMITH, R.G.
& MAZALESKI, J.L. (1993). The role of attention in the
treatment of attention-maintained self-injurious behavior
: Noncontingent reinforcement and differential
reinforcement of other behavior. Journal of Applied
Behavior Analysis, 26 (1), 9-21. [PDF] |
VOLLMER, T.R., MARCUS B. & RINGDAHL, J. (1995).
Noncontingent escape as treatment for self-injurious
behavior maintained by negative reinforcement. Journal
of Applied Behavior Analysis, 28 (1), 15-26. [PDF] |
VOLLMER, PROGAR, P.R., LALLI, J.S., VAN CAMP, C.M., SIERP,
B.J., WRIGHT, C.S., NASTASI, J. & EISENSCHINK, K.J.
(1998). Fixed-time schedules attenuate extinction-induced
phenomena in the treatment of severe aberrant behavior.
Journal of Applied Behavior Analysis, 31 (4),
529-542. [PDF] |
VOLLMER, T.R., ROANE, H., RINGDAHL, J. & MARCUS, B.
(1999). Evaluating treatment challenges with differential
reinforcement of alternative behavior. Journal of
Applied Behavior Analysis, 32 (1), 9-23. [PDF] |
VOLLMER, T.R. & SLOMAN, K.N. (2005). The historical
context of noncontingent reinforcement as behavioral
treatment. European Journal of Behavior Analysis, 6
(1), 9-19. [PDF] |
 |
 |
|
Volontaire
: Volontariat : Le mot a deux acceptions : a)
Comportement
prosocial qui consiste à accomplir une tâche sans réMUNération.
Volontariat et bénévolat.
b) En recherche, sujet
qui, à la suite d'une sollication,
accepte formellement de participer
à une recherche.
Volontaire, participant et
Échantillonnage
de volontaires.
Volunteer behavior,
volunteer, volunteering.
| |
|
| a |
GIDRON, B. (1978). Volunteer work and its rewards. Volunteer
Administration, 11, 18-32. |
WILSON, J. (2000). Volunteering. Annual Review of
Sociology, 26, 215-240. |
FRANCIES, G.R. (1983). The volunteer needs profile : A
tool for reducing turn-over. The Journal of Volunteer
Administration, 1, 17-33. |
PENNER, L.A. (2002). Dispositional and organizational
influences on sustained volunteerism : An interactionist
perspective. Journal of Social Issues, 58 (3),
447-467. [PDF] |
LATTING, J.K. (1990). Motivational differences between
black and white volunteers. Nonprofit & Voluntary
Section Quarterly, 19, 121-136. |
HOULE, B.J., SAGARIN, B.J. & KAPLAN, M.F. (2005). A
functional approach to volunteerism : Do volunteer motives
predict task preference ? Basic & Applied Social
Psychology, 27 (4), 337-344. [PDF] |
SNYDER, M. & OMOTO, A.M. (1992). Volunteerism and
society's response to the HIV epidemic. Current
Directions in Psychological Science, 1, 113-116. [PDF] |
|
OMOTO, A.M., SNYDER, M. & BERHUIS, J.P. (1993). The
psychology of volunteerism : A conceptual analysis and a
program of action research. In J.B. Pryor & G.D.
Reeder (Eds.), The social psychology of HIV infection
(pp. 333-356). Hillsdale, NJ : Lawrence Erlbaum
Associates, Inc. |
|
RUSH, C.R., CRITCHFIELD, T.S., TROISI, J.R. &
GRIFFITHS, R.S. (1995). Discriminative stimulus effects of
diazepam and buspirone in normal volunteers. Journal
of the Experimental Analysis of Behavior, 63 (3),
277-294. [PDF] |
PILIAVIN, J.A. & SIEGEL, E. (2007). Health benefits of
volunteering in the Wisconsin Longitudinal Study. Journal
of Health & Social Behavior, 48 (4), 450-464.
[PDF] |
WILSON, J. & JANOSKI, T. (1995). The contribution of
religion to volunteer work. Sociology of Religion,
56, 137-152. |
PILIAVIN, J.A. (2009). Volunteering across the life-span :
Doing well by doing good. In S. Stürmer & M. Snyder
(Eds.), The psychology of prosocial behavior : Group
processes, intergroup relations, and helping (pp.
157-172). Oxford, UK : Blackwell. |
CLARY, E.G., SNYDER, M., RIDGE, R.D., COPELAND, J.,
STUKAS, A.A., HAUGEN, J. & MIENE, P. (1998).
Understanding and assessing the motivations of volunteers
: A functional approach. Journal of Personality &
Social Psychology, 74 (6), 1516-1530. [PDF] |
|
PENNER, L.A. & FINKELSTEIN, M.A. (1998). Dispositional
and structural determinants of volunteerism. Journal
of Personal Social Psychology, 74, 525-537. |
|
CLARY, E.G. & SNYDER, M. (1999). The motivations to
volunteer : Theoretical and practical considerations. Current
Directions in Psychological Science, 8, 156-159. |
|
 |
|
Voir aussi Comportement
prosocial |
| b |
ROSEN, E. (1951). Differences between volunteers and
non-volunteers for psychological studies. Journal of
Applied Psychology, 35, 185-193. |
ECKEL, C. & GROSSMAN, P. (2000). Volunteers and
pseudo-volunteers : The effect of recruitment method in
dictator experiments. Experimental Economics, 3, 107-120. |
CARR, J.E. & WHITTENBAUGH, J.A. (1968). Volunteer and
nonvolunteer characteristics in an outpatient population.
Journal of Abnormal Psychology, 73 (1), 16-17. [PDF] |
HENRY, P.J. (2008). College sophomores in the laboratory
redux : Influences of a narrow data base on social
psychology's view of the nature of prejudice. Psychological
Inquiry, 19 (2), 49-71. |
ROSENTHAL, R.W. & ROSNOW, R.L. (1973). The
volunteer subject. New York : John Wiley and Sons. |
VAN LANGE, P.A.M., SCHIPPERS, M. & BALLIET, D. (2011).
Who volunteers in psychology experiments ? An empirical
re- view of prosocial motivation in volunteering. Personality
& Individual Differences, 51 (3), 279-284. |
SEARS, D.O. (1986). College sophomores in the laboratory :
Influences of a narrow data base on social psychology's
view of human nature. Journal of Personality &
Social Psychology, 51, 515-530. |
|
|
 |
Voir aussi Participant,
Échantillonnage
de volontaires et Sollicitation
des participants |
|
 |
|
Volontariat
(Mesures/Évaluations) : Measuring
the prosocial personality.
| |
|
PENNER, L.A. & FRITZSCHE, B.A. (1993). Measuring
the prosocial personality : Four construct validity
studies. American Psychological Association,
Toronto, Canada. |
PENNER, L.A. FRITZSCHE, B.A., CRAIGER, J.P. &
FREIFIELD, T.R. (1995). Measuring the prosocial
personality. In J. Butcher & C.D. Spielberger (Eds.),
Advances in personality assessment (Vol. 10).
Hillsdale, NJ : Lawrence Erlbaum. |
|
 |
Voir aussi Volontariat |
 |
|
Volonté
: Intention
consciente d'agir, de faire ce que l'on souhaite ou ce que l'on
doit faire et qui mène parfois à un comportement. NDLR :
De nos jours, on utilise ce concept pour qualifier certains
processus cognitifs (EX: processus volontaire),
et non comme substantif.
= Libre-arbitre,
volition, intention de comportement.
Volition,
will, intention.
| |
|
KANTOR, J.R. (1923). An objective analysis of volitional
behavior. Psychological Review, 30, 116-144. |
LIBET, B. (1992). The neural time-factor in perception,
volition and free will. Revue de Métaphysique, 2, 255-272.
|
ANSCOMBE, E. (1957). Intention.Oxford :
Blackwell. |
SMART, L. & WEGNER, D.M. (1996). Strength of will. Psychological
Inquiry, 7, 79-83. [PDF] |
KIMBLE, G.A. & PERLMUTTER, L.C. (1970). The problem of
volition. Psychological Review, 77, 361-384 |
KUHL, J. & GOSCHKE, T. (1994). A theory of action
control : Mental subsystems, modes of control, and
volitional conflict-resolution strategies. In J. Kuhl
& J. Beckmann (Eds.), Volition and personality :
Action versus state orientation (pp. 93-124).
Seattle, WA : Hogrefe & Huber. |
McCANN, H.J. (1974). Volition and basic action. The
Philosophical Review, 83, 451-473. |
LIBET, B., FREEMAN, A. & SUTHERLAND, J.K.B. (Eds.)
(1999). The volitional brain : Towards a neuroscience
of free will. Imprint Academic. |
O'SHAUGHNESSY, B. (1980). The will. Cambridge :
Cambridge University Press. |
McCROSKEY, J.C. & TEVEN, J.J. (1999). Goodwill : A
reexamination of the construct and its measurement. Communication
Monographs, 66, 90 103. [PDF] |
KUHL, J. (1985). Volitional mediators of
cognition-behavior consistency : Self-regulatory processes
and action versus state orientation. In J. Kuhl & J.
Beckmann (Eds.), Action control : From cognition to
behavior (pp. 101-128). Heidelberg, Germany :
Springer-Verlag. |
WOLFE, J.M., ALVAREZ, G.A. & HOROWITZ, T.S. (2000).
Attention is fast but volition is slow. Nature, 406, 691.
[PDF] |
HECKHAUSEN, H. & GOLLWITZER, P.M. (1987). Thought
contents and cognitive functioning in motivational versus
volitional stales of mind. Motivation & Emotion.
11, 101-120. |
WINTERER, G., ADAMS, C.M., JONES, D.W. & KNUTSON, B.
(2002). Volition to action : An event-related FMRI study.
NeuroImage, 17, 851-858. [PDF] |
STAATS, A.W. (1987). Humanistic volition versus
behavioristic determinism : Disunited psychology's schism
problem and its solution. American Psychologist, 42,
1030-1032. |
HECKHAUSEN, J. (2007). The motivation-volition divide and
Its resolution in action-phase models of developmental
regulation. Research in Human Development, 4
(3-4), 163-180. [PDF] |
KOLLER, W.C. & BIARY, N.M. (1989). Volitional control
of involuntary movements. Movement Disorders, 4,
153-156. |
CARRUTHERS, P. (2007). The illusion of conscious will. Synthese,
159, 197-213. [PDF] |
|
STEUP, M. (2018). Doxastic voluntarism and up-to-me-ness.
International Journal of Philosophical Studies, 26 (4),
611-618. |
 |
|
 |
Voir aussi Intention |
 |
|
Volt
: Millivolt : Unité
de mesure des différences de potentiel du courant
électrique, notamment dans le cerveau
(influx nerveux).L'influx nerveux est est un phénomène
électrochimique. Chez l'humain,
le potentiel de repos
du neurone oscille entre
-60 mV à -90 mV, et le potentiel
d'action (PA) à +30 mV, soit une différence de potentiel de
100 Mv.
Volt.
| |
|
SIDLEY, N.A. & SCHOENFELD, W.N. (1963). Induced
electric current flow in the pigeon as a function of
impressed voltage and pulse frequency. Journal of the
Experimental Analysis of Behavior, 6 (1), 99-100. |
 |
 |
|
Volta Alessandro (Côme 1745-1827 Côme) : Physicien
et inventeur de la pile électrique. Une controverse
sur l'origine de l'électricité
animale (de nos jours
l'influx nerveux) l'opposa à Galvini.
 |
|
|
|
|
|
|
DIBNER, B. (1952). Galvani - Volta. A controversy
that led to the discovery of useful electricity.
Norwalk : Burndy Library. |
PERA, M. (1996). The ambiguous frog : The
Galvani-Volta controversy on animal electricity. Princeton
: Princeton University Press. |
PARENT,
A. (2009). Histoire du cerveau. Québec : Presses
de l'Univserité Laval. |
 |
|
|
|
Volume
(Cerveau) :
| |
|
ERICKSON, K.I., BOOT, W.R., E.R., BASAK, C., NEIDER, M.B.,
PRAKASH, R.S., VOSS, M.W., GRAYBIEL, A.M., SIMONS, D.J.,
FABIANI, M., GRATTON, G. & KRAMER, A.F. (2010).
Striatal volume predicts level of video game skill
acquisition. Cerebral Cortex, 20, 2522-2530. [PDF] |
 |
 |
|
Vomir
: Vomissement : Comportement réflexe,
conditionné ou parfois
volontaire (se faire vomir) qui consiste à contracter les muscles
de l'appareil digestif, ce qui entraîne par la bouche
l'expulsion du contenu de l'estomac (bol alimentaire). Dans
certains cas, il s'agit d'un trouble
alimentaire. Vomissement, régurgitation
et boulimie.
Vomiting.
| |
|
MAGENDIE, F. (1813). Mémoire sur le vomissement. Paris. |
WATKINS, J.T. (1972). Treatment of chronic vomiting and
extreme emaciation by an aversive stimulus : Case study. Psychological
Reports, 31, 803-805. |
STEIN, M.L., RAUSEN, A.R. & BLAU, A. (1959). Therapy
of an infant with rumination. Journal of the American
Medical Association, 171, 2309-2312 |
|
HOLLOWELL, J.R. & GARDNER, L.I. (1965). Rumination and
growth failure in male fraternal twins : association with
disturbed family environment. Pediatrics, 36, 565-571. |
|
LUCKEY, R.E., WATSON, C.M. & MUSICK, J.K. (1968).
Aversive conditioning as a means of inhibiting vomiting
and rumination. American Journal of Mental
Deficiency, 73 (1), 139-142. |
SAJWAJ, T., LIBET, J. & AGRAS, S. (1974). Lemon-juice
therapy : the control of life-threatening rumination in a
six-month-old infant. Journal of Applied Behavior
Analysis, 7 (4), 557-563. [PDF] |
BRIGHT, G.O. & WHALEY, D.L. (1968). Suppression of
regurgitation and rumination with aversive events. Michigan
Mental Health Research Bulletin, 11, 17-20. |
AZRIN, N.H. & WESOLOWSKI, M.D. (1975). Eliminating
habitual vomiting in a retarded adult by positive practice
and self-correction. Journal of Behavior Therapy
& Experimental Psychiatry, 6, 145-148. |
LANG, P.J. & MELAMED, B.G. (1969). Case report :
Avoidance conditioning therapy of an infant with chronic
ruminative vomiting. Journal of Abnormal Psychology,
74, 1-8. |
LYON, G.R. (1976). Eliminating vomiting behavior in a
profoundly retarded individual. Research & the
Retarded, 3, 24-27. |
GALBRAITH, D.A., BYRICK, R.J. & RUTLEDGE, J.T. (1970).
An aversive conditioning approach to the inhibition of
chronic vomiting. Canadian Psychiatry Association
Journal, 15, 311-313. |
DUKER, P.C. & SEYS, D.M. (1977). Elimination of
vomiting in a retarded female using restitutional
overcorrection. Behavior Therapy, 8, 255-257. |
MENKING, M., WAGNITZ, J., BURTON, J., CODDINGTON, R.D.
& SOTOS, J. (1969). Rumination - An new fatal
psychiatric disease of infancy. The New England
Journal of Medicine, 281, 802-804. |
MULICK, J.A. & SCHROEDER, S.R. & ROJAHN, J.
(1980). Chronic ruminative vomiting : A comparison of four
treatment proceudre. Journal of Autism &
Development Disorders, 10, 203-312. |
KOHLENBERG, R.J. (1970). The punishment of persistent
vomiting : A case study. Journal of Applied Behavior
Analysis, 3 (4), 241-245. [PDF] |
BRANDON, S. & OVERMIER, J.B. (Eds.) (2006). Nausea and
vomiting : An interdisciplinary approach. Autonomic
Neuroscience, 129 (1-2), 1-118. |
WOLF, M.M, BIRNBRAUER, J., LAWLER, J. & WILLIAMS, T.
(1970). The operant extinction, reinstatement and
re-extinction of vomiting behavior in a retarded child. In
R. Ulrich, T. Stachnik & J. Mabry (Eds.), Control
of human behavior (Vol. 2., pp. 146-148).
Glenview, IL : Scott Foresman. |
SMYTH, J.M., WONDERLICH, S.A., HERON, K.E., SLIWINSKI
M.J., CROSBY, R.D., MITCHELL, J.E. & ENGELL, S.G.
(2007). Daily and momentary mood and stress are associated
with binge eating and vomiting in bulimia nervosa patients
in the natural environment. Journal of Consulting
& Clinical Psychology, 75, 629-638. |
 |
|
 |
Voir aussi Hyperphagie
et Trouble
alimentaire |
 |
|
|
|
Von Davier Matthias ( ) : Psychologue
et mathématicien américain, spécialisé dans l'étude de la mesure,
notamment en éducation.
Il s'intéresse notamment à la théorie
de la réponse. Collaborateur de
Mislevy et Sinharay.

 |
VON DAVIER, M. (2004). Partially observed mixtures of IRT
models : An extension of the generalized partial-credit
model. Applied Psychological Measurement, 28
(6), 389-406. |
VON DAVIER, M. & VON DAVIER, A.A. (2007). A unified
approach to IRT scale linking and scale transformation. Methodology
: European Journal of Research Methods for the
Behavioral & Social Sciences, 3, 115-124. |
VON DAVIER, M., GONZALEZ, E. & MISLEVY, R. (2009).
What are plausible values and why are they useful. IERI
monograph series, 2 (1), 9-36. |
VON DAVIER, M. & SINHARAY S. (2010). Stochastic
approximation methods for latent regression item response
models. Journal of Educational & Behavioral
Statistics, 35, 174-193. |
VON DAVIER, M. XU, X. & CARSTENSEN, C.H. (2011).
Measuring growth in a longitudinal large-scale assessment
with a general latent variable model. Psychometrika,
76, 318-336. |
 |
 |
|
Von
Frisch Karl (Vienne 1886-1982) :
Voir Frisch.
|
|
|
Von
Hayek Friedrich August (Vienne 1889-1992) : Voir
Hayek.
|
Von
Helmholtz Hermann (Potsdam 1821-1894 Berlin) :
Voir Helmholtz.
|
Von
Hofsten Claes (1943-) : Psychologue
cognitiviste européen,
d'origine suédoise, et spécialiste du développement
moteur. Collaborateur de
Spelke.
 
 |
VON HOFSTEN, C. (1983). Catching skills in infancy. Journal
of Experimental Psychology : Human Perception &
Performance, 9 (1), 75-85. |
VON HOFSTEN, C. & SPELKE, E.S. (1985). Object
perception and object-directed reaching in infancy.
Journal of Experimental Psychology : General, 114
(2), 198-212. [PDF] |
VON HOFSTEN, C. (2004). An action perspective on motor
development. Trends in Cognitive Sciences, 8,
266-272. [PDF] |
VON HOFSTEN, C. (2007). Action in development. Developmental
Science, 10 (1), 54-60. [PDF] |
VON HOFSTEN, C. (2009). Action, the foundation for
cognitive development. Scandinavian Journal of
Psychology, 51, 1-7. [PDF] |
 |
 |
|
Von
Humboldt Alexander (Berlin 1769-1859 Berlin) :
Voir Humbolt.
|
Von
Mises Ludwig Edler (1881-1973) : Voir
Mises.
|
|
|
|
|
Vonèche
Jacques J. (1939-) : Psychologue
cognitiviste européen
d'origine belge. Il s'intéresse au développement
des enfants. Il a également fait connaître les travaux de Piaget,
notamment aux États-Unis. Collaborateur de Gruber.
|
GRUBER, H.E. & VONÈCHE, J.J. (Ed.) (1977). The
essential Piaget. New York : Basic Books. |
VONÈCHE, J.J. (1985). Concepts, procedures, and structures
in the acquisition of the concept of number. Cahiers
de Psychologie Cognitive, 14 (6), 760-763. |
VONÈCHE, J.J. (1985). Genetic epistemology in the context
of evolutionary epistemology. In J.C. Pitt (Ed.), Change
and progress in modern science (pp. 199-232).
Blacksburg : Springer. |
VONÈCHE, J.J. (1998). Piaget se serait-il trompé ?
Bulletin de Psychologie, 51 (435), 265-272. |
SMITH, L. & VONÈCHE, J.J. (2006). Norms in human
development. Cambridge : Cambridge University
Press. |
 |
 |
|
Vonk
Jennifer ( ) : Psychologue
cognitiviste américaine
et primatologue
américaine, spécialisée dans l'étude du gorille
et de l'orang-outan et
de l'ours. Collaboratrice de
Beran, Galef,
Povinelli et Silk.
 
 |
VONK, J. & MacDONALD, S.E. (2002). Natural concepts in
a juvenile gorilla (Gorilla gorilla gorilla) at three
levels of abstraction. Journal of Experimental
Analysis of Behavior, 78 (3), 315-332. [PDF] |
VONK, J. & HORTON, K.D. (2006). The role of automatic
and conscious retrieval processes in directed forgetting.
Memory & Cognition, 34, 505-517.
[PDF] |
VONK, J., BROSNAN, S.F., SILK, J.B., HENRICH, J.,
RICHARDSON, A.S., LAMBETH, S.P., SCHAPIRO, S.J. &
POVINELLI, D.J. (2008). Chimpanzees do not take advantage
of very low cost opportunities to deliver food to
unrelated group members. Animal Behaviour, 75,
1757-1770.
[PDF] |
VONK, J. & SUBIUL, F. (2009). Do chimpanzees know what
others can and cannot do ? Reasoning about "capability". Animal
Cognition, 12, 267-286.
[PDF] |
VONK, J. & POVINELLI, D.J. (2011). Individual
differences in long-term cognitive testing in a group of
captive chimpanzees. Special issue for International
Journal of Comparative Psychology, 24, 137-167.
[PDF] |
 |
 |
|
Vorndran
Christina M. ( ) :
Psychologue béhavioriste
américaine et spécialiste de l'étude et du traitement de l'autisme.
Collaboratrice de Dunlap, Kern,
Lerman et Pace.
 |
LERMAN, D.C. & VORNDRAN, C.M. (2002). On the status of
knowledge for using punishment : Implications for treating
behavior disorders. Journal of Applied Behavior
Analysis, 35, 431-464.
[PDF] |
LERMAN, D.C., VORNDRAN, C.M. & ADDISON, L., KUHN,
S.A.C. (2004). A rapid assessment of skills in young
children with autism. Journal of Applied Behavior
Analysis, 37 (1), 11-26.
[PDF] |
VOLKERT, V.M., LERMAN, D.C. & VORNDRAN, C.M. (2005).
The effects of reinforcement magnitude on functional
analysis outcomes. Journal of Applied Behavior
Analysis, 38 (3), 147-162. [PDF] |
VORNDRAN, C.M. & LERMAN, D.C. (2006). Establishing and
maintaining treatment effects with less intrusive
consequences via a pairing procedure. Journal of
Applied Behavior Analysis, 39 (1), 35-48. [PDF] |
VORNDRAN, C.M., PACE, G.M., LUISELLI, J.K., FLAHERTY, J.,
CHRISTIAN, L. & KLEINMANN, A. (2008). Functional
analysis and treatment of chronic hair pulling in a child
with cri du chat : Effects on co-occurring thumb sucking. Behavior
Analysis in Practice, 1 (1), 10-15. [PDF] |
|
VOLLMER, T.R. (2002). Punishment happens : Some comments
on Lerman and Vorndran's review. Journal of Applied
Behavior Analysis, 35 (4), 469-455. [PDF] |
 |
 |
|
Voss
Michelle W. ( ) : Neuropsychologue
américaine et spécialiste du vieilissement
et de la neuroplasticité.
Collaboratrice de Kramer.
 |
VOSS, M.W., PRAKASH, R., ERICKSON, K.I., BASAK, C.,
CHADDOCK, L., KIM, J., HEO, S., WHITE, S., WOJICICKI, T.,
MAILEY, E., GOTHE, N., OLSON, E., MCAULEY, E. &
KRAMER, A.F. (2010). Plasticity of brain networks in a
randomized intervention trial of exercise training in
older adults. Frontiers in Aging Neuroscience, 2, 1-17.
[PDF] |
VOSS, M.W., ERICJSON, K.I., PRAKASH, R.S., CHADDOCK, L.,
MALKOWSKI, E., ALVES, H., KIM, J.S., MORRIS, K.S., WHITE,
S.M., WOJCICKI, T.R., HU. L., SZABO, A., KLAMM, E.,
MCAULEY, E. & KRAMER, A.F. (2010). Functional
connectivity : A source of variance in the association
between cardiorespiratory fitness and cognition ? Neuropsychologia,
48, 13943-1406. [PDF] |
VOSS, M.W., CHADDOCK, L., KIM, J.S., VANPATTER, M.,
PONTIFEX, M.B., RAINE, L.B., COHEN, N.J., HILLMAN, C.H.
& KRAMER, A.F. (2011). Aerobic fitness is associated
with greater efficiency of the network underlying
cognitive control in preadolescent children.
Neuroscience, 199, 166-176. |
VOSS, M.W., VIVAR, C. & KRAMER, A.F. & PRAAG, H.
(2013). Bridging animal and human models of
exercise-induced brain plasticity. Trends in
Cognitive Sciences, 17 (10), 525-544. |
VOSS, M.W., HEO, S., PRAKASH, R.S., ERICKSON, K.I., ALVES,
H., CHADDOCK, L., SZABO, A.N., MAILEY, E.L., WOJCICKI,
T.R., WHITE, S.M., GOTHE, N., MCAULEY, E., SUTTON, B.P.
& KRAMER, A.F. (2013). The influence of aerobic
fitness on cerebral white matter integrity and cognitive
function in older adults : results of a one-year exercise
intervention. Human Brain Mapping, 34 (11),
2972-2985. |
 |
 |
|
Vote : Voter : Votant : Lors d'une élection,
consiste à choisir parmi
les candidats ceux et
celles qui dirigeront le groupe
formel auquel on
appartient ou qui nous représente, comme par exemple un
gouvernement. Voter, opinion
politique et sondage.
= choisir publiquement.
( ): vote électronique,
vote stratégique.
Voting,
voting behaviour, particpation électorale.
| |
|
ROBINSON, C.E. & CHADDOCK, R.E. (1932). Straw
votes : A study of political prediction. Columbia
: Columbia University Press. |
SNYDER, J. (2000). From voting to violence. New
York : Norton. |
GALLUP, G.H. & RAE, S.F. (1940). Is there a bandwagon
vote ? Public Opinion Quarterly, 4 (2), 244-249. |
ANSOLABEHERE, S., SNYDER, J.M. & STEWART, C. (2000).
Old voters, new voters, and the personal vote : Using
redistricting to measure the incumbency advantage.
American Journal of Political Science, 44, 17-34. |
BUCHANAN, J.M. (1954). Individual choice in voting and the
market. Journal of Political Economy, 62, 334-343. |
ALVAREZ, R.M. & NAGLER, J. (2000). A new approach for
modeling strategic voting in multiparty elections.
British Journal of Political Science 30, 57-75. [PDF] |
STOETZEL, J. (1955). Voting behaviour, in France. British
Journal of Sociology, 6 (2), 104-122. |
SONENSHEIN, R. & VALENTINO, N.A. (2000). The
distinctiveness of Jewish voting : A thing of the past ? Urban
Affairs Review, 35 (3), 358-389. |
ELDERSVELD, S.J. (1956). Experimental propaganda
techniques and voting behavior. The American Political
Science Review, 50, (1), 154-165. |
BLAIS, A. (2000). To vote or not to vote ? The merits
and limits of rational choice. Pittsburgh :
University of Pittsburgh Press. |
TULLOCK, G. (1959). Problems of majority voting. Journal
of Political Economy, 67, 571-579. |
GERBER, A.S. & GREEN, D.P. (2000). The effects of
canvassing, telephone calls, and direct mail on voter
turnout : A field experiment. The American Political
Science, 94 (3), 653-663. [PDF] |
LUCE, D. (1959). Analyzing the social process underlying
group voting patterns. In E. Burdick & A.J. Brodbeck
(Eds.), American voting behavior (pp. 320-332).
Glencoe : Free Press. |
NADEAU, R., NIEMI, R.G., AMATO, T. & LEWIS-BACK, M.S.
(2001). National economic voting in U.S. presidential
elections. Journal of Politics, 63, 159-181. |
ALFORD, R.R. (1962). A suggested index of the association
of social class and voting. Public Opinion Quarterly,
26, 417-425. |
BARTELS, L. & ZALLER, J. (2001). Presidential vote
models : A recount. PS : Political Science &
Politics 34 (1), 9-20. |
LIPSET, S.M. & ROKKAN, S. (1970). Party systems
and voter alignments. Cross-national perspectives.
New York : The Free Press. |
TRENT, J.S., SHORT-THOMPSON, C., MONGEAU, P.A., NUSZ, A.
& TRENT, J.D. (2001). Image, media bias, and voter
characteristics : The ideal candidate from 1988-2000. American
Behavioral Scientist, 44, 2101-2124. |
KRAUT, R.E. & McCONAHAY, J.B. (1973). How being
interviewed affects voting : An experiment. The Public
Opinion Quarterly, 37 (3), 398-406. |
BLAIS, A., NADEAU, R., GIDENGIL, E. & NEVITTE, N.
(2001). Measuring strategic voting in multiparty plurality
elections. Electoral Studies, 20, 343-352. [PDF] |
RIKER, W.H. & ORDESHOOK, P.C. (1968). A theory of the
calculus of voting. The American Political Science
Review, 62 (1), 25-42. |
BLAIS, A. (2002). Why is there so little strategic voting
in Canadian plurality rule elections ? Political
Studies, 50, 445-454. |
KRAMER, G.H. (1970/71). The effects of precinct-level
canvassing on voter behavior. The Public Opinion
Quarterly, 34 (4), 560-572. |
OTTATI, V., WYER, R.S., DEIGER, M. & HOUSTON, D.
(2002). Psychological determinants of candidate
evaluations and voting decisions. In V.C. Ottati et al
(Eds.), Developments in political psychology (pp.
3-28). Plenum. |
SHEINGOLD, C. (1973). Social networks and voting : The
resurrection of a research agenda. American
SociologicaL Review, 38, 712-720. |
MULLIGAN, C. & HUNTER, C. (2003). The empirical
frequency of a pivotal vote. Public Choice, 116, 31-54. |
|
GERBER, A., GREEN, D. & SHACHAR, R. (2003). Voting may
be habit-forming : Evidence from a randomized field
experiment. American Journal of Political Science, 47
(3), 540–550. |
BURNHAM, W.D. (1974). Theory and voting research : Some
reflections on converse’s : "change in the american
electorate". American Political Science Review 68
(3), 1002-1023. |
KERBO, H. (2003). Class and nonvoting in comparative
perspective : Possible causes and consequences for the
United States. Research in Political Sociology, 12, 177-198.
|
TULLOCK, G. (1975). Avoiding the voter's paradox
democratically : Comment. Theory & Decision, 6
485-486. |
GELMAN, A., KATZ, J. & BAFUMI, J. (2004). Standard
voting power indexes don't work : An empirical analysis. British Journal of Political Science, 34, 657-674. |
McKELVEY, R.D. (1976). Intransitivities in
multidimensional voting models and some implications for
agenda control. Journal of Economic Theory, 12, 472-482. |
TYRAN, J.-R. (2004). Voting when money and morals conflict : An experimental test of expressive voting. Journal
of Public Economics, 88, 1645-664. |
MEEHL, P.E. (1976). Difficulties with economic models
of voter behavior. Minneapolis : University of
Minnesota, Research Laboratories of the Department of
Psychiatry. [PDF] |
ABRAMOVITZ, A. (2004). Voice of the people :
Elections and voting in the United States. New
York : McGraw-Hill. |
YALCH, R.F. (1976). Pre-election interview effects on
voter turnout. The Public Opinion Quarterly, 40 (3),
331-336. |
GRIFFIN, J. & NEWMAN, B. (2005). Are voters better
represented ? Journal of Politics, 67 (4),
1206-1227. |
MEEHL, P.E. (1977). The selfish voter paradox and the
thrown-away vote argument. American Political Science
Review, 71, 11-30. [PDF] |
BAUBOCK, R. (2005). Expansive Citizenship – Voting Beyond
Territory and Membership. PS : Political Science
& Politics, 3, 683-688. |
BRAMS, S.J. & FUSHBURN, P.C. (1978). Approval voting.
American Political Science Review, 72, 831-847. |
IMAI, K. (2005). Do get-out-the-vote calls reduce turnout
? : the importance of statistical methods for field
experiments. American Political Science Review, 99,
283-300. |
FAIR, R.C. (1978). The economic effect of economic events
on votes for president. The Review of Economics &
Statistics, 159-173. |
STROUD, L.R., GLASER, J. & SALOVEY, P. (2005/6). The
effetcs of partisanship and candidate emotionaly on voter
preference. Imagination, Cognition & Personality,
25 (1), 25-44. [PDF] |
TRAUGOTT, M.W. & KATOSH, J.P. (1979). Response
validity in surveys of voting behavior. The Public
Opinion Quarterly, 43 (3), 359-377. |
BLAIS, A., ALDRICH, J.H., INDRIDASON, I.H. & LEVINE,
R. (2006). Voting for a coalition. Party Politics,
12, 691-705. |
McKELVEY, R.D. (1979). General conditions for global
intransitivities in formal voting models. Econometrica,
47, 1085-1112. |
LASLIER, J.F. (2006). Spatial approval voting. Political
Analysis, 14, 160-185. |
WOLFINGER, R. & ROSENSTONE, S. (1980). Who votes ?
Yale University Press. |
FOWLER, J.H. (2006). Habitual voting and behavioral
turnout. Journal of Politics, 68 (2), 335-344. |
CARMINES, E.G. & STIMSON, J.A. (1980). The two faces
of issue voting. American Political Science Review 79,
78-91. |
BLAIS, A. & BODET, M.-A. (2006). How do voters from
expectations about the parties chances of winning election
? Social Science Quarterly, 87 (3), 477-493. |
FISHBEIN, M. & AJZEN, I. (1981). Attitudes and voting
behaviour : An application of the theory of reasoned
action. In G.M. Stephenson & J.M. Davis (Eds.), Progress
in applied social psychology (Vol. 1, pp. 95-125).
London : Wiley. |
FEDDERSEN, T. & SANSDRONI, A. (2006). A theory of
participation in elections. American Economic Review,
96 (4), 1271-1282. |
DAVIS, M.H. (1982). Voting intentions and the 1980
Carter-Reagan debate. Journal of Applied Social
Psychology, 12, 481-492. |
|
ALDRICH, J.H. & ABRAMSON, P.R. (1982). The decline of
electoral participation in America. American
Political Science Review, 502-521. |
|
CHRIST, W.G. (1985). Voter preference and emotion : Using
emotional response to clarify decided and undecided
voters. Journal of Applied Social Psychology, 15,
237-254. |
BAUM, M.A. & JAMISON, A.S. (2006). The Oprah effect :
How soft news helps inattentive citizens vote
consistently. The Journal of Politics, 68, 946–959. |
JACKMAN, R. (1987). Political institutions and voter
turnout in industrial democracies. American Political
Science Review, 81, 405-424. |
BLAIS, A., NADEAU, R., GIDENGIL, E. & NEVITTE, N.
(2006). Do polls influence the vote ? In H.E. Brady &
R. Johnston (Eds.), Capturing campaign effects.
University of Michigan Press. [PDF] |
 |
GARRETT, J. & BROOKS, C. (1987). Effect of ballot
colour, sex of candidate, and sex of college students of
voting age on their voting behaviour. Psychological
Reports, 60, 39-44. |
BLAIS, A. (2006). What affects voter turnout ? Annual
Review of Political Science, 9, 111-125. |
BLAIS, A. et CRÈTE, J. (1987). Le vote et les ménages. Recherches
Sociographiques, 28 (2-3), 393-405. [PDF] |
AUSTEN-SMITH, D. & FEDDERSE, T.J. (2006).
Deliberation, preference uncertainty, and voting rules. American
Political Science Review, 100 (2), 209-217. |
PILIAVIN, J.A. (1987). Age, race, and sex similarity to
candidates and voting preference. Journal of Applied
Social Psychology, 17, 351-368. |
HATEMI, P.K., MORLEY, K.I., MEDLAND, S.E., HEATH, A.C.
& MARTIN, N.G. (2007). The genetics of voting : An
Australian twin study. Behavior Genetics, 37, 435-448.
[PDF] |
|
FRIESE, M., BLUEMKE, M. & WÄNKE, M. (2007). Predicting
voting behavior with implicit attitude measures : The 2002
German parliamentary election. Experimental
Psychology, 54, 247-255. |
COLLIER, K., ORDERSHOOK, P. McKELVEY, R.D. & WILLIAMS,
K. (1989). Retrospective voting : An experimental study.
Public Choice, 53, 101-130. |
EDLIN, A., GELMAN, A. & KAPLAN, N. (2007). Voting as a
rational choice : Why and how people improve the
well-being of others. Rationality & Society, 19
(3), 293-314. |
OTTATI, V., FISHBEIN, M. & MIDDLESTADT, S.E. (1988).
Determinants of voters' beliefs about the candidates'
stands on the issues : The role of evaluative bias
heuristics and the candidates' expressed message.
Journal of Personality & Social Psychology, 55,
517-529. |
MEROLLA, J. & STEPHENSON, L.B. (2007). Strategic
voting in Canada : A cross time analysis. Electoral
Studies, 26, 235-246. |
KROSNICK, J.A. (1988). The role of attitude importance in
social evaluation : A study of policy preferences,
presidential candidate evaluations, and voting behavior.
Journal of Personality & Social Psychology 55,
196-210. [PDF] |
REGENWETTER, M., HO, M-H.R. & TSETLIN, I. (2007).
Sophisticated approval voting, ignorance priors, and
plurality heuristics : A behavioral social choice analysis
in a Thurstonian framework. Psychological Review, 114
(4), 994-1014. |
OTTATI, V. & WYER, R.S. (1990). The cognitive
mediators of political choice : Toward a comprehensive
model of political information processing. In J.A.
Ferejohn & J.H. Kuklinski (Eds.), Information and
democratic process (pp. 186-216). Urbana, Il :
University of Illinois Press. |
LITTLE, A.C., BURRISS, R.P., JONES, B.C. & ROBERTS,
S.C. (2007). Facial appearance affects voting decisions. Evolution
& Human Behavior, 28, 18-27.
[PDF] |
TATE, K. (1991). Black Participationin the 1984 and 1988
Presidential Elections. American Political Science
Review 85, 1159-1176. |
FOWLER, J. & DAWES, C. (2008). Two genes predict voter
turnout. Journal of Politics, 70, 579-594. [PDF] |
FREEDMAN, D.A., KLEIN S.P., SACKS, J., SMYTH, C.A. &
EVERETT, C. (1991). Ecological regression and voting
rights. Evaluation Review, 15. 659-817. |
BERGER, J., MEREDITH, M. & WHEELER, S.C. (2008).
Contextual priming : Where people vote affects how they
vote. Proceedings of the National Academy of
Sciences, USA, 105, 8846–8849. |
ABRAMSON, P.R., ALDRICH, J.H., PAOLINO, P. & ROHDE, D.
(1992). Sophisticated’ voting in the 1988 presidential
primaries. American Political Science Review 86, 55-69. |
BLAIS, A. & LOEWEN, P.J. (2008). The electoral
system and its effects. Montreal : Typescript. |
LUPIA, A. (1992). Busy voters, agenda control, and the
power of information. American Political Science
Review, 86, 390-403. |
ANSOLABEHERE, S., RODDEN, J. & SNYDER, J.M. (2008).
The strength of issues : using multiple measures to gauge
preference stability, ideological constraint, and issue
voting. American Political Science Review, 102 (2),
215-232. |
 |
BRUCE, K., MAGLEBY, D., NELSON, C. & ORR, E. (1992). The
myth of the independent voter. Berkeley :
University of California Press. |
LASLIER, J.F. & VAN DER STAETEN, K. (2008). Approval
voting in the French 2002 Presidential election : A live
experiment. Experimental Economics, 11, 97-195. |
|
DUFFY, J. & TAVITS, M. (2008). Beliefs and voting
decisions : a test of the pivotal voter model. American
Journal of Political Science, 52, 603-618. |
GRANBERG, D. & HOLMBERG, S. (1992). The Hawthorne
effect in election studies : The impact of survey
participation on voting. British Journal of Political
Science, 22 (2), 240-247. |
KEARNS, M., JUDD, S., TAN, J. & WORTMAN, J. (2009).
Behavioral experiments on biased voting in networks. Proceedings
of the National Academy of Sciences, 106 (5),
1347-1352. |
MYERSON, R.B. & WEBER, R.J. (1993). A theory of voting
equilibria. American Political Science Review, 87, 102-114. |
GERBER, A., KARLAN, D. & BERGAN, D. (2009). Does the
media matter ? A field experiment measuring the effect of
newspapers on voting behavior and political opinions.
American Economic Journal : Applieds Economics, 1
(2), 35-52. [PDF] |
|
ARCENEAUX, K. & NICKERSON, D.W. (2009). Who Is
mobilized to vote ? A re-analysis of 11 field experiments.
American Journal of Political Science, 53 (1),
1-16. |
MARCUS, G. & MacKUEN, M. (1993). Anxiety, enthusiasm,
and the vote : The emotional underpinnings of learning and
involvement during presidential campaigns. American
Political Science Review, 87, 672-685. |
SENDHIL, M. & WASHINDTON, E. (2009). Sticking with
your vote : Cognitive dissonance and political attitudes.
American Economic Journal : Applied Economics, 1, 86-111.
[PDF] |
REED, W.R. (1994). A retrospective voting model with
heterogeneous politicians. Economics & Politics,
6, 39-58. |
HOLBROOK, A.L. & KROSNICK, J.A. (2010). Measuring
voter turnout by using the randomized response technique :
Evidence calling into question the method's validity. Public
Opinion Quarterly, 74 (2), 328-343. [PDF] |
ZUCKERMAN, A., VALENTINO, N.A. & ZUCKERMAN, E. (1994).
A structural theory of vote choice : Social and political
networks and electoral flows in Britain and the United
States. Journal of Politics, 56 (4), 1008-1033. [PDF] |
GREEN, D.P. & GERBER, A.S. (2010). Introduction to
social pressure and voting : New experimental evidence. Political Behavior, 32 (3), 331-336. |
ALDRICH, J.H. & ALVAREZ, R.M. (1994). Issues and the
presidential primary voter. Political Behavior, 16 (2),
289-317. |
LASLIER, J.F. (2010). Laboratory experiments on approval
voting. In J.F. Laslier & R. Sanver (Eds), Handbook
on approval voting (pp. 339-356). Springer. |
BLAIS, A. & NADEAU, R. (1996). Measuring strategic
voting : A two-step procedure. Electoral Studies 15, 39-52. |
SIDES, J., LIPSITZ, K. & GROSSMANN, M. (2010). Do
voters perceive negative campaigns as informative
campaigns ? American Politics Research, 38,
502-530.
[PDF] |
BARTELS, L. (1996). Uninformed votes : Information
effiects in presidential elections. American Journal
of Political Science 40 (1), 194–230. |
PARKER, M.T. & ISBELL, L.M. (2010). Affect and voting
: Is feeling scared better than feeling mad ? Psychological
Science, 4, 548-550. |
BOUDON, R. (1997). Le paradoxe du vote et la théorie de la
rationalité. Revue Française de Sociologie, 38
(2), 217-227. |
DONOVAN, T. (2010). Obama and the White vote. Political
Research Quarterly, 63 (4), 863-874. |
|
BATTAGLINI, M., MORTON, R. & PALFREY, T.R. (2010). The
swing voter's curse in the laboratory. Review of
Economic Studies, 77 (1), 61-89. |
HARKINS, S. & LATANÉ, B. (1998). Population and
political participation : A social impact analysis of
voter responsibility. Group Dynamics : Theory,
Research & Practice, 2, 192-207. |
LASLIER, J.F. (2010). In Silico votingexperiments. In J.F.
Laslier & R. Sanver (Eds), Handbook on approval
voting (pp. 311-335). Springer. |
COX, G.W. (1997). Making votes count : Strategic
coordination in the world's electoral systems.
Cambridge : Cambridge University Press. |
BAFUMI, J. & HERRON, M.C. (2010). Leapfrog
representation and extremism : A study of American voters
and their members in congress. American Political
Science Review, 104,519-542. |
NETO, O.M. & COX, G.W. (1997). Electoral institutions,
cleavage structures, and the mumber of parties. American
Journal of Political Science, 41, 149-174. |
CARTER, T.J., FERGUSON, M.J. & HASSIN, R.R. (2011). A
single exposure to the American flag shifts support toward
Republicanism up to 8 months later. Psychological
Science, 22 (8), 1011-1018. [PDF] |
BLAIS, A., MASSICOTTE, L. & DOBRZYNSKA, A. (1997).
Direct presidential elections : A world summary. Electoral
Studies, 16 (4), 441-455. |
BLAIS, A. & RHEAULT, L. (2011). Optimists and skeptics
: Why do people believe in the value of their single vote
? Electoral Studies, 30 (1), 77-82. |
REEVES, K. (1997). Voting hopes or fears ? White
voters, Black candidates and racial politics in America.
New York : Oxford University Press. |
BLAIS, A., LABBÉ-ST-VINCENT, S., LASLIER, J.F., SAUGER, N.
& VAN DER STAETEN, K. (2011). Strategic vote choice in
one round and two round elections : An experimental study.
Political Research Quarterly, 20, 637-646. |
TULLOCK, G. (1997). On voting : A public choice
approach. Kluwer Academic Press. |
GELMAN, A. SILVER, N. & EDLIN, A. (2012). What is the
probability your vote will make a difference ? Economic
Inquiry, 50, 321-326. [PDF] |
|
GERBER, A., HUBER, G.A., DOHERTY, D. & DOWLING, C.M.
(2012). Is there a secret ballot ? Ballot secrecy
perceptions and their implications for voting behaviour. British
Journal of Political Science, 46, 77-102. [PDF] |
GELMAN, A., KING, G. & BOSCARDIN, W.J. (1998).
Estimating the probability of events that have never
occurred : When is your vote decisive ? Journal of the
American Statistical Association, 93, 1-9. [PDF] |
HATEMI, P.K., McDERMOTT, R. BAILEY, J.M. & MARTIN,
N.G. (2012). The different effects of gender and sex on
vote choice. Political Research Quarterly, 65
(2), 1-17. [PDF] |
|
WILSON, D.C. & BREWER, P.B. (2013). The foundations of
public opinion on voter ID laws : political
predispositions, racial resentment, and information
effects. Public Opinion Quarterly, 77 (4),
962-984. |
MEHRABIAN, A. (1998). Effects of poll reports on voter
preferences. Journal of Applied Social Psychology,
28, 2119-2130. |
VAN DER STRAETEN, LASLIER, J.-F. & BLAIS, A. (2013).
Vote au pluriel : How people vote when offered to vote
under different rules. Political Science &
Politic, 46 (2), 324-328. [PDF] |
SMITH, P.W.F., SKINNER, C.J. & CLARKE, P.S. (1999).
Allowing for non-ignorable non-response in the analysis of
voting intention data. Journal of the Royal
Statistical Society : series C (Applied Statistics), 48,
563-577. |
BLAIS, A., PILET, J.K., VAN DER STRAETEN, K., LASLIER,
J.F. & HÉROUX-LEGAULT, M. (2014). To vote or to
abstain ? An experimental test of rational calculus in
first past the post and PR elections. Electoral
Studies, 36, 39-50. |
|
GREEN, D.P. & GERBER, A.S. (2015). Get out the
vote : How to increase voter turnout. Washington,
D.C. : Brookings Institution Press. |
|
GERBER, A., HUBER, G.A., DOHERTY, D. & DOWLING, C.M.
(2016). Why people vote : Estimating the social returns to
voting. British Journal of Political Science, 46
(2), 241-264. |
|
GREEN, D.P. & GERBER, A.S. (2016). Voter Mobilization,
Experimentation, and translational social science. Perspectives
on Politics, 14, 738-749. |
|
WILSON, D.C. & BREWER, P.R. (2016). Do frames
emphasizing harm to age and racial-ethnic groups reduce
support for voter ID laws ? Social Science Quarterly,
97, 391-406. |
MERRILL, S. & GROFMAN, B. (1999). A unified
theory of voting. Cambridge : Cambridge University
Press. |
BERENT, M.K., KROSNICK, J.A. & LUPIA, A. (2016).
Measuring voter registration and turnout in surveys : Do
official government records yield more accurate
assessments ? Public Opinion Quarterly, 80,
597-621. [PDF] |
|
GERBER, A., HUBER, G.A. & HUNGERMAN, D.M. (2016). Does
church attendance cause people to vote ? Using blue laws
repeal to estimate the effect of religiosity on Voter
turnout. British Journal of Political Science, 46
(3), 481-500. [PDF] |
|
IGERSHEIM, H., BAUJARD, A. & LASLIER, J.-F. (2016). La
question du vote. Expérimentations en laboratoire et In
Situ. L'Actualité Économique, 92 (1-2), 151-189.
[PDF] |
BLAIS, A. & YOUNG, R. (1999). Why do people vote ? An
experiment in rationality. Public Choice, 99, 39-55. |
ROGERS, T., GREEN, D.P., TERNOVSKI, J. & YOUNG, C.F.
(2017). Social pressure and voting : A field experiment
conducted in a high-salience election. Electoral
Studies, 46, 87-100. |
|
WILSON, D.C. & DAVIS, D.W. (2018). The racial double
standard : attributing racial motivations in voting
behavior. Public Opinion Quarterly, 82 (1),
63-86. |
|
KSNE, J.V. & WILSON, D.C. (2021). Controversy and
costs : investigating the consensus on American voter ID
Laws. Political Behavior, 43, 397-421. |
 |
|
Voir aussi Élection,
Paradoxe de
Condorcet, Majorité
et Vote
stratégique |
|
 |
|
Vote
électronique : Electroning voting.
| |
|
DRAPER, S.W. & BROWN, M.I. (2004). Increasing
interactivity in lectures using an electronic voting
system. Journal of Computer Assisted Learning, 20,
81–94. |
 |
Voir aussi Vote |
 |
|
Vote statégique : Stratégie
individuelle qui consiste à voter pour un candidat
qui ne constitue pas notre premier choix,
de manière à appuyer le candidat le plus susceptible de
gagner ou d'empêcher le favori de remporter la victoire. =
voter sans conviction, voter en se bouchant le nez, voter à
reculons.
Strategic voting, tactical voting.
| |
|
CAIN, B. (1978). Strategic voting in Britain. American
Journal of Political Science, 22, 639-655. |
ALVAREZ, R.M. & NAGLER, J. (2000). A new approach for
modeling strategic voting in multiparty elections.
British Journal of Political Science, 30, 57-75. |
|
BLAIS, A., NADEAU, R., GIDENGIL, E. & NEVITTE, N.
(2001). Measuring strategic voting in multiparty plurality
elections. Electoral Studies, 20, 343-352. [PDF] |
EVANS, G. & HEATH, A. (1993). A tactical error in the
analysis of tactical voting. British Journal of
Political Science, 23, 131-137 |
KARP, J., VOWLES, J., BANDUCCI, S. & DONOVAN, T.E.
(2002). Strategic voting, party activity, and candidate
effects : Testing explanations for split voting in New
Zealand’s New mixed system. Electoral Studies, 21,
1-22. |
WANTCHEKON, L. (1999). Strategic voting in conditions of
political instability : The 1994 Elections in El Salvador.Comparative
Political Studies, 32 (7), 810- 834. |
ABRAMSON, P.R., ALDRICH, J.H., DIAMOND, M., DISKIN, A.,
LEVINE, R. & SCOTTO, T.J. (2004.). Strategic
abondonment or sincerely second best ? The Israeli Prime
Ministerial election. Journal of Politics, 66 (3),
708-728. |
BLAIS, A. YOUNG, R., FLEURY, C. & LAPP, M. (1995). Do
people vote on the basis of minimax regret ? Political
Research Quarterly, 48, 827-836. |
BLAIS, A. (2004). Y a-t-il un vote stratégique en France ?
In B. Cautres and N. Mayer (Dirs.), Le nouveau
désordre électoral. Paris : Presses de la Fondation
nationale des sciences politiques. |
|
ALVAREZ, M.R., BOEHMKE, F.J. & NAGLER, J. (2006).
Strategic voting in British elections. Electoral
Studies, 25, 1-19. |
BLAIS, A. & NADEAU, R. (1996). Measuring strategic
voting : A two-step procedure. Electoral Studies, 15,
39-52. |
MEROLLA, J. & STEPHENSON, L.B. (2007). Strategic
voting in Canada : A cross time analysis. Electoral
Studies, 26, 235-246. |
ORDESHOOK, P.C. & ZENG, L. (1997). Rational voters and
strategic voting : Evidence from the 1968, 1980 and 1992
Elections. Journal of Theoretical Politics, 9
(2), 167-187. |
BLAIS, A., LABBÉ-ST-VINCENT, S., LASLIER, J.F., SAUGER, N.
& VAN DER STAETEN, K. (2011). Strategic vote choice in
one round and two round elections : An experimental study.
Political Research Quarterly, 20, 637-646. |
|
 |
Voir aussi Stratégie
et Vote |
 |
|
|
|
Vowles Kevin E. ( ) :
Psychologue cognitivo-béhavioriste
américain, spécialiste de l'étude des techniques
de gestion de la douleur,
notamment de la douleur
chronique. Étudiant de
McCracken.
 |
VOWLES, K.E., McCRACKEN, L.M. & ECCLESTON, C. (2007).
Processes of change in treatment for chronic pain : The
contributions of pain, acceptance, and catastrophizing. European
Journal of Pain, 11, 779-787. |
VOWLES, K.E. & McCRACKEN, L.M. (2008). Acceptance and
values-based action in chronic pain : A study of treatment
effectiveness and process. Journal of Consulting &
Clinical Psychology, 76, 397-407. |
VOWLES, K.E., WETHERELL, J.L. & SORRELL, J.T. (2009).
Targeting acceptance, mindfulness, and values-based action
in chronic pain : Findings of two preliminary trials of an
outpatient group-based intervention. Cognitive &
Behavioral Practice, 16, 49-58. |
VOWLES, K.E. & McCRACKEN, L.M. (2010). Comparing the
role of psychological flexibility and traditional pain
management coping strategies in chronic pain treatment
outcomes. Behaviour Research & Therapy, 48,
141-146. |
VOWLES, K.E., McCRACKEN, L.M. & ZHAO-O'BRIEN, J.
(2011). Acceptance and values-based action in chronic pain
: A three year follow-up analysis of treatment
effectiveness and process. Behaviour Research &
Therapy, 49, 748-755.
[PDF] |
 |
 |
|
|
|
Voyage astral : Phénomène
paranormal.
Out-of-body experience.
| |
|
TOBACYK, J.J. & MITCHELL, T. (1987). Out-of-body
experience status as a moderator of effects of narcissism
on paranormal beliefs. Psychological Reports, 60, 440-
442. |
TOBACYK, J.J. & MITCHELL, T. (1987). The out-of-body
experience and personality adjustment. Journal of
Nervous & Mental Disease, 175 (6), 367-370. |
TOBACYK, J.J., MILLER, M. & WELLS, D. (1997).
Out-of-body experience and personality adjustment.
Psychological Reports, 81, 1-2. |
|
 |
Voir aussi Phénomène
paranormal |
 |
|
Voyage spatial :
Space flight.
| |
|
FROST, J.D., SHUMATE, W.H., SALAMY, J.G. & BOOHER,
C.R. (1976). Sleep monitoring : The second manned Skylab
mission. Aviation, Space, & Environmental
Medicine, 47, 372-382. |
LEONE, G., LIPSHITS, M., GURFINKEL, V. & BERTHOZ, A.
(1995). Is there an effect of weightlessness on mental
rotation of three-dimensional objects ? Cognitive
Brain Research, 2, 255-267. |
WEST, J.B. (1984). Spacelab - The coming of age of space
physiology research. Journal of Applied Physiology,
57, 1625-1631. |
MANZEY, D., LORENZ, B. & POLJAKOV, V. (1998). Mental
performance in extreme environments : Results from a
performance monitoring study during a 438-day spaceflight.
Ergonomics, 41, 537-559. |
CHRISTENSEN, J.M. & TALBOT, J.M. (1986). A review of
the psychological aspects of space flight. Aviation,
Space, & Environmental Medicine, 57, 203-212.
|
EDDY, D.R., SCHIFLETT, S.G., SCHLEGEL, R.E. & SHEHAB,
R.L. (1998). Cognitive performance aboard the life and
microgravity spacelab. Acta Astronautica, 43,
193-210. |
THORNTON, W.E., MOORE, T.P., POOL, S.L. & VANDERPLOEG,
J. (1987). Clincial characterization and etiology of space
motion sickness. Aviation, Space, & Environmental
Medicine, 58, A1-A8. |
|
TAYLOR, A.J.W. (1989). Behavioural science and outer space
research. Aviation, Space, & Environmental
Medicine, 60, 815-816. |
MONK, T.H., BUYSSE, D.J., BILLY, B.D., KENNEDY, K.S. &
WILLRICH, L.M. (1998). Sleep and circadian rhythms in four
orbiting astronauts. Journal of Biological Rhythms,
13, 188-201. |
BENKE, T., KOSERENKO, O., WATSON, N.V. & GERSTENBRAND,
F. (1993). Space and cognition : The measurement of
behavioral functions during a 6-day space mission. Aviation,
Space, & Environmental Medicine, 64, 376-379. |
KELLY, T.H., HIENZ, R.D., ZARCONE, T.J., WURSTER, R.M.
& BRADY, J.V. (2005). Crew member performance before,
during, and after spaceflight. Journal of the
Experimental Analysis of Behavior, 90 (3), 405-415.
[PDF] |
MANZEY, D., LORENZ, B. SCHIEWE, A., FINELL, G. &
THIELE, G. (1993). Behavioral aspects of human adaptation
to space : Analyses of cognitive and psychomotor
performance in space during an 8-day space mission. Clinical
Investigator, 71, 725-731. |
|
|
 |
 |
|
Voyelle : Son du langage oral, produit par le libre passage de l'air par le larynx. Voyelle, consonne
et lettre.
Vowel.
| |
|
LIBERMAN, A.M., DELATTRE, P.C. & COOPER, F.S. (1954).
The role of consonant-vowel transitions in the perception
of the stop and nasal consonants. Psychological
Monographs, 68 (8), 1-10. [PDF] |
INVERNIZZI, M.A. (1992). The vowel and what follows : A
phonologic frame of orthographic analysis. In S. Templeton
& D.R. Bear (Eds.), Development of orthographic
knowledge and the foundations of literacy (pp.
105-136). [PDF] |
PISONI, D.B. (1975). Auditory short-term memory and vowel
perceptio. Memory & Cognition, 3, 7-18. |
|
HAYDEN, P. & ADAMS, M.R. (1976). The ability of
stutters and nonstutters to initiate ant terminate
phonation during the production on an isloated vowel. Journal
of Speech & Hearing Research, 19, 290-296. |
|
KORIAT, A. & LEVY, I. (1977). The symbolic
implications of vowels and of their orthographic
representations in two natural languages. Journal of
Psycholinguistic Research, 6, 93-104. |
GOSWAMI, U. (1993). Toward an interactive analogy model of
reading development - Decoding vowel graphemes in
beginning reading. Journal of Experimental Child
Psychology, 56 (3), 443-475. |
ADES, A.E. (1977). Theoretical notes. Vowels, consonants,
speech, and nonspeech. Psychological Review, 84
(6), 524-530. |
BOË, L.-J., SCHWARTZ, J.-L. & VALÉE, N. (1994). The
prediction of vowel systems : Perceptual contrast and
stability. In E. Keller (Ed.), Fundamentals of speech
synthesis and speech recognition (pp. 185-213).
John Wiley ; Sons. |
BUHR, R.D. (1980). The emergence of vowels in an infant. Journal of Speech & Hearing Research, 23, 73-94. |
|
COWAN, N. & MORSE, P.A. (1986). The use of auditory
and phonetic memory in vowel discrimination. Journal
of the Acoustical Society of America, 79, 500-507. |
JOANISSE, M.F. & SEIDENBERG, M.S. (1997). [i e a u]
and sometimes [o] : Perceptual and computational
constraints on vowel inventories. In Proceedings of
the Nineteenth Annual Conference of the Cognitive
Science Society (pp. 331-336). Mahwah, NJ :
Laurence Erlbaum. [PDF] |
SVARTDAL, F. & IVERSEN, T. (1989). Consistency in
synesthetic experience to vowels and consonants : Five
case studies. Scandinavian Journal of Psychology, 30,
220-227. [PDF] |
MADDOX, W.T., MOLIS, M.R. & DIEHL, R.L. (2001).
Generalizing a neuropsychological model of visual
categorization to auditory categorization of vowels. Perception & Psychophysics, 64, 584-597. |
|
 |
Voir
Conscience phonémique, Consonne
et lettre |
 |
|
Voyer Daniel ( ) : Psychologue
canadien et spécialiste de l'étude des différences
sexuelles. Collaborateur de Cherney.

 |
VOYER, D. & BRYDEN, M.P. (1990). Mental rotation : A
study of gender differences and sex role identity. Canadian
Psychology, 31 (2a), 253. |
VOYER, D. & BRYDEN, M.P. (1993). Masking and
laterality effects in a lateralized rod-and-frame task.
Canadian Journal of Experimental Psychology, 47,
26-37. |
VOYER, D., VOYER, S. & BRYDEN, M.P. (1995). Magnitude
of sex differences in spatial abilities : A meta-analysis
and consideration of critical variables. Psychological
Bulletin, 117 (2), 250-270. [PDF] |
VOYER, D. (2011). Sex differences in dichotic listening. Brain
& Cognition, 76, 245-255. |
VOYER, D. (2011). Time limits and gender differences on
paper-and-pencil tests of mental rotation : A
meta-analysis. Psychonomic Bulletin & Review, 18,
267-277. |
 |
 |
|
Voyeurisme : Voyeur : Paraphilie
qui consiste à chercher une excitation
sexuelle en observant l'intimité
ou la sexualité des
autres. /exhibitionisme.
Voyeurism.
| |
JACKSON, R. (1969). A case of voyeurism treated by
counter-conditioning. Behaviour Research &
Therapy, 7, 133-144. |
SMITH, R.S. (1976). Voyeurism : A review of the
literature. Archives of Sexual Behavior, 5,
585-608. |
FREUND, K., WATSON, R. & RIENZO, D. (1988). The value
of self-reports in the study of voyeurism and
exhibitionism. Annals of Sex Research, 2, 243-262. |
LANGSTÖM, N. & SETO, M.C. (2006). Exhibitionistic and
voyeuristic behavior in a Swedish national population
survey. Archives of Sexual Behavior, 35,
427-435. |
LANGSTÖM, N. (2010). The DSM diagnostic criteria for
exhibitionism, voyeurism, and frotteurism. The DSM
diagnostic criteria for fetishism. Archives of Sexual
Behavior, 39 (2), 357-362. [PDF] |
|
TRUDEL, G. (1988). Les dysfonctions sexuelles. Montréal.
Les Presses de l'Universié du Québec. |
Voir aussi Exhibitionisme
et Paraphilie |
 |
|
| VRAISEMBBLABLE -VRIJ
- VROOM -
VULGARISATION - VULNÉRABILITÉ
- VULPIAN - VYGOTSKY
- Fin |
|
|
Vrai en tout monde, en tout temps : Expression qui traduit les prétentions à la vérité d'une
théorie ou d'une simple affirmation que l'on espère
vraie en tout monde (partout, peu importe le lieu) en tout temps
(peu importe l'époque, le moment). Le caractère universel (en tout monde) et intemporel (en tout temps) des théories est bien sûr un idéal que peu de théories sont en mesure
d'atteindre. Il n'en demeure pas moins qu'il s'agit d'un objectif
que tout scientifique se fixe c-à-d, expliquer totalement (=puissance) le maximum de phénomènes (= caractère synthétique) passés, présents et futurs, ici et ailleurs. Vrai en tout mon monde, en tout temps, ubiquité et omniprésence.
= En tout li lieu et en tout temps. /Ici
et maintenant.
|
Vraisemblable : Qui semble vrai ou qui a une forte probabilité de l'être.
Likely, plausibly.
|
Vrasidas Charalambos ( ) : Spécialiste
chypriote de l'éducation,
notamment de
l'enseignement à distance. Collaborateur de McIsaac
et Zembylas.
 |
VRASIDAS, C. & McISAAC, M.S. (1999). Factors
influencing interaction in an online course. The
American Journal of Distance Education, 13 (3),
22-36. [PDF] |
VRASIDAS, C. (2000). Constructivism versus objectivism :
Implications for interaction, course design, and
evaluation in distance education. International
Journal of Educational Telecommunications, 6 (4),
339-362. [PDF] |
VRASIDAS, C. & McISAAC, M.S. (2000). Principles of
pedagogy and evaluation for web-based learning. Educational
Media International, 37 (2), 105-111. [PDF] |
VRASIDAS, C. & ZEMBYLAS, M. (2004). Online
professional development : Lessons from the field. Education
+ Training, 46 (6/7), 326-334. [PDF] |
VRASIDAS, C. & ZEMBYLAS, M. (2003). The nature of
technology-mediated interaction in globalized distance
education. International Journal of Training &
Development, 7 (4), 1-16. [PDF] |
 |
 |
|
Vrij Aldert ( ) : Psychosociologue
anglais, d'origine néérlandaise, et spécialiste de l'étude de la
tromperie, du
mensonge et de la communication
non-verbale.
 |
VRIJ, A. (1995). Behavioral correlates of deception in a
simulated police interview. Journal of Psychology :
Interdisciplinary & Applied, 129 (1), 15-28. |
VRIJ, A. & SEMIN, G.R. (1995). Lie experts' beliefs
about nonverbal indicators of deception. Journal of
Nonverbal Behavior, 20 (1), 65-80.
[PDF] |
VRIJ, A., EDWARD, K., ROBERTS, K.P. & BULL, R. (2000).
Detecting deceit via analysisi of verbal and nonverbal
behavior. Journal of Nonverbal Behavior, 24 (4),
239-263. [PDF] |
VRIJ, A., GRANHAG, P.A. & PORTER, S. (2010). Pitfalls
and opportunities in nonverbal and verbal lie detection. Psychological
Science in the Public Interest, 11 (3), 89-121. [PDF] |
VRIJ, A., MANN, S., JUNDI, S., HOPE, L. & LEAL, S.
(2012). Can I take your picture ? Undercover interviewing
to detect deception. Psychology, Public Policy &
Law 18 (2), 231-234. [PDF] |
 |
 |
|
Vroom Victor H. (Montréal 1932-2023) : Psychologue
organisationnel américain d'origine québécois. Il s'est
notamment intéressé au leadership,
à l'organisation des
groupes et aux
processus de décision. Collaborateur de Deci
et Yetton.

 |
VROOM, V.H. & MANN, F.C. (1960). Leader
authoritarianism and employee attitudes. Personnel
Psychology, 13, 125-140. |
VROOM, V.H. (1964). Work and motivation. New
York : Wiley. |
VROOM, V.H. & YETTON, P.W. (1973). Leadership and
decision-making. Pittsburgh PA : University of
Pittsburgh Press. |
VROOM, V.H. & JAGO, A.G. (1974). Decision making as a
social process/Leadership and decision making. Decision
Sciences, 5, 743-755. [PDF] |
VROOM, V.H. & JAGO, A.G. (2007). The role of the
situation in leadership. American Psychologist, 62 (1),
17-24. [PDF] |
|
PAUL, R.J. & EBADI, Y.M. (1989). Leadership decision
making in a service organization : A field test of the
Vroom-Yetton model. Journal of Occupational
Psychology, 62, 201-211. [PDF] |
VAN EERDE, W. & THIERRY, H. (1996). Vroom's expectancy
models and work-related criteria : A meta-analysis. Journal
of Applied Psychology, 81, 575–586. |
 |
 |
|
Vulcaniser
: En Épistémologie,
désigne un raisonnement parfaitement logique, mais qui ne correspond à aucune réalité. Le concept
renvoie à la planète hypothétique Vulcain dont l'existence est
postulée par Urbain Le Verrier en 1860 pour expliquer les
anomalies dans l'orbite de Mercure, anomalies que la mécanique
newtonienne ne parvient pas à expliquer, mais qui est parfaitement
compréhensible dans le cadre de la relativité générale de
Einstein. L'inférence de Le Verrier est donc cohérente avec la
mécanique newtonienne, mais ne correspond à aucune planète car
Vulcain n'existe pas. NDLR : Précisons que Le
Verrier avait correctement prédit l'existence de Neptune en
tentant d'expliquer les anormalies orbitales d'Uranus.
=
Inférence logique mais fausse.
|
Vulgarisation : Vulgarisateur : En
psychologie, il faut
distinguer la vulgarisation scientifique - un discours qui
simplifie volontairement la connaissance scientifique en psychologie dans le but d'informer et d'éduquer le public - du charlatanisme
qui a pour but de tromper ou d'escroquer autrui. La
distinction entre vulgarisateur et communicateur, elle, semble
tenir au fait que les premiers ont souvent une formation dans le
domaine qu'il vulgarise (un biochimiste qui explique le rôle des
gènes), alors que les seconds sont souvent des généralistes
d'abord formés en communication/journalisme. EX: Cyrille
Barrette (biologiste) et Stephen
Jay Gould (paléontologue) sont des vulgarisateurs de la
théorie de l'évolution, alors que Yannick
Villedieu (journaliste) ou Hervé Kempf (journaliste), qui
s'intéressent également à cette question dans leurs médias
respectifs, sont d'abord et avant tout des communicateurs.
Vulgarisation et communication
scientifique. = journaliste ou
médiateur scientifique. *ouvrage
scientifique. ( ): Arcand,
Baillargeon,
Barrette, Bouchard,
Brazelton, Bronowski,
Carli, Gingras, Gladwell,
Gould, Hall, Hunt,
Huxley, Jacquard, Languirand,
Morris, Randi,
Reeves, Sacks,
Spock, Seguin, Thuillier,
Vacher, Vidal, Villedieu,
Whitaker,Wright.
= Communicateur, journaliste scientifique.
Scientists as public communicator.
|
|
| |
MAILLÉ, M.-E., SAINT-CHALES, J. & LUCOTTE, M. (2010).
The gap between scientists and journalists : The case of
mercury science in Québec's press. Public
Understanding of Science, 19 (1), 70-79. |
COLSON, V. (2011). Science blogs as competing channels for
the dissemination of science news. Journalism, 12
(7), 889-902. |
PETERS, H.P. & SPANGENBERG, A. & LO, Y-Y. (2012).
Variations of scientist-journalist interactions across
academic fields : Results of a survey of 1600 German
researchers from the humanities, social sciences and hard
sciences. In M. Bucchi & B. Trench (Eds.), Quality,
honesty and beauty in science and technology
communication (pp. 257-263). Observa Science in
Society : Vincenza. |
ALLGAIER, J., DUNWOODY, S., BROSSARD, D., LO, Y.Y. &
PETERS, H.P. (2013). Journalism and social media as means
of observing the contexts of science. Bioscience, 63
(4), 284-287. |
PETERS, H.P. (2013). Gap between science and media
revisited : Scientists as public communicators. Proceedings
of the National Academy of Sciences, 110 (3),
14102–14109. [PDF] |
|
 |
Voir aussi Connaissance
scientifique |
 |
|
Vulnérabilité (biologique et mentale) : Le terme a
deux acceptions voisines; a) D'une part, il
renvoie à l'état (handicap,
grossesse, maladie, etc.) d'un individu incapable de se protéger
contre autrui ou certains événements. =
faiblesse.
Vulnerability. b)
D'autre part, il désigne aussi une prédisposition
à développer certaines maladie
biologique ou mentale,
un risque. /invulnérabilité, résilience.
Vulnerability.
|
|
| |
a |
QUADREL, M.J., FISCHHOFF, B. & DAVIS, W. (1993).
Adolescent (in)vulnerability. American Psychologist, 48 (2), 102-116. |
VAN DER PLIGT, J. (1998). Perceived risk and vulnerability
as predictors of precautionary health behaviour.
British Journal of Health Psychology, 3, 1-14. [PDF]
|
|
| b |
ZUBIN, J. & SPRING, B. (1977). Vulnerability : A new
view of schizophrenia. Journal of Abnormal
Psychology, 86, 103-126. |
NORTON, P.J., SEXTON, K.A., WALKER, J.R. & NORTON,
G.R. (2005). Hierarchical model of vulnerabilities for
anxiety : Replication and extension with a clinical
sample. Cognitive Therapy & Research, 34 (1),
50-63. |
JAVETZ, R. & SHUVAL, J.T. (1984). Drug use among high
school students in Israel : A syndrome of social
vulnerability. Youth & Society, 16 (2),
171-194. |
|
ROBINS, C.J., HAYES, A.M., BLOCK, P., KRAMER, R.J. &
VILLENA, M. (1995). Interpersonal and achievement concerns
and the depressive vulnerability and symptom specificity
hypotheses : A prospective study. Cognitive Therapy
& Research, 19, 1-20. |
|
WAHLBERG, K.-E., WYNNE, L.C., OJA, H., KESKITALO, P.,
PYKÄLÄINEN, L., LAHTI, I., MORING, J., NAARALA, M., SORRI,
A., SEITAMAA, M., LÄKSY, K., KOLASSA, J. & TIENARI, P.
(1997). Gene-environment interaction in vulnerability to
schizophrenia : Findings from the Finnish adoptive family
study of schizophrenia. American Journal of
Psychiatry, 154, 355-362. [PDF] |
MERIKANGAS, K.R. & PINE, D. (2005). Vulnerability
factors for anxiety disorders in children and adolescents.
Child & Adolescent Psychiatric Clinics of North
America, 14 (4), 649-679. |
RISKIND, J.H. (1997). Looming vulnerability to threat : A cognitive paradigm for anxiety. Behaviour Research & Therapy, 35 (8), 685-702. |
MONGRAIN, M. & BLACKBURN, S. (2005). Cognitive
vulnerability, lifetime risk, and the recurrence of major
depression in graduate students. Cognitive Therapy
& Research, 29 (6), 747-768. |
FISCHHOFF, B., DOWNS, J. & BRUINE DE BRUIN, W. (1998). Adolescent vulnerability : A framework for behavioral
interventions. Applied & Preventive Psychology,
7, 77-94. [PDF] |
DALLA, C., DROSSOPOULOU, A.G., XAGORARIS, M., KOKRAS, N., SFIKAKIS, A. & PAPADOPOULOU-DAIFOTI, Z. (2005).
Chronic mild stress impact : Are females more vulnerable ?
Neuroscience, 135 (3), 703-714. |
WENZLAFF, R.M. & BATES, D.E. (1998). Unmasking a cognitive vulnerability to depression : How lapses in
mental control reveal depressive thinking. Journal of
Personality & Social Psychology, 75 (6),
1559-1571. |
INGRAM R.E. &. LUXTON, D.V. (2005).
Vulnerability-stress models. In B.L. Hankin & J.R.Z.
ABELA (Eds.), Development of psychopathology.
Sage. [PDF] |
TSUANG, M.T., LYONS, M.J., MEYER, J.M., DOYLE, T., EISEN,
S.A., GOLDBERG, J., TRUE W., LIN, N., TOOMEY, R. &
EAVES, L. (1998). Co-occurrence of abuse of different
drugs in men : The role of drug-specific and shared
vulnerabilities. Archives of General Psychiatry, 55,
967–972. |
LIEDERMAN, J., KANTROWITZ, L. & FLANNERY, K. (2005).
Male vulnerability to reading disability is not likely to
be a myth : A call for new data. Journal of Learning
Disabilities, 38, 109-129. |
BIFULCO, A., BROWN, G.W. MORAN, P., BALL, C. &
CAMPBELL, C. (1998). Predicting depression in women : the
role of past and present vulnerability. Psychological
Medicine, 28, 39-50. |
KASHDAN, T.B., BARRIOS, V., FORSYTH, J.P. & STEGER,
M.F. (2006). Experiential avoidance as a generalized
psychological vulnerability : Comparisons with coping and
emotion regulation strategies. Behaviour Research
& Therapy, 44, 1301-1320. [PDF] |
 |
ZUROFF, D.C., BLATT, S.J., SANISLOW, C.A., BONDI, C.M.
& PILKONIS, P.A. (1999). Vulnerability to depression :
Reexamining state dependence and relative stability. Journal
of Abnormal Psychology, 108 (1), 76-89. [PDF] |
ALLOY, L.B., ABRAMSON, L.Y., SAFFORD, S.M. & GIBB,
B.E. (2006). The cognitive vulnerability to depression
(CVD) project : Current findings and future directions. In
L.B. Alloy & J.H. Riskind (Eds.), Cognitive
vulnerability to emotional disorders (pp. 33-61).
Mahwah, NJ : Erlbaum. |
ABRAMSON, L.Y., ALLOY, L.B., HOGAN, M.E., WHITEOUSE, W.G.,
DONOVAN, P., ROSE, D.T., PANZARELLA, C. & RANIERE, D.
(1999). Cognitive vulnerability to depression : Theory and
evidence. Journal of Cognitive Psychotherapy : An
International Quarterly, 13, 5-20. |
CARNEY, D.S. (2006). Psychobiological mechanisms of
resilience and vulnerability : implications for successful
adaptation to extreme stress. American Jourmal of
Psychiatry, 61 (2), 195-216. |
SLUTSKE, W.S., TRUE, W.R., LYONS, M.J., GOLDBERG, J. &
TSUANG, M. (2000). Common genetic vulnerability for
pathological gambling and alcohol dependence in men.
Archives of General Psychiatry, 57, 666-673. |
RISKIND, J.H., WILLIAMS, N.L. & JOINER, T.E. (2006).
The looming cognitive style : a cognitive vulnerability
for anxiety disorders. Journal of Social &
Clinical Psychology, 25 (7), 779-801. [PDF] |
HANKIN, B.L. & ABRAMSON, L.Y. (2001). Development of
gender differences in depression : An elaborated cognitive
vulnerability-transactional stress theory. Psychological
Bulletin, 127 (6), 773-796. [PDF] |
RISKIND, J.H. & ALLOY, L.B. (2006). Cognitive
vulnerability to psychological disorders : Theory, design,
and methods. Journal of Social & Clinical
Psychology, 25, 705-725. [PDF] |
MERIKANGAS, K.R. & PINE, D. (2002). Genetic and other
vulnerability factors for anxiety and stress disorders. In
K.L. Davis, D.Charney, J.T. Coyle & C. Nemeroff.
(Eds.), Neuropsychopharmacology : The fifth
generation of progress (pp. 867-882). American
College of Neuropsychopharmacology. [PDF] |
BAKERMANS-KRANENBURG, M.J. & VAN IJZENDOORN, M.H.
(2007). Research Review : Genetic vulnerability or
differential susceptibility in child development : the
case of attachment. Journal of Child Psychology &
Psychiatry, 48 (12), 1160–1173. [PDF] |
MYLANT, M., IDE, B., CUEVAS, E. & MEEHAN, M. (2002).
Adolescent children of alcoholics : Vulnerable or
resilient ? Journal of the American Psychiatric
Nurses Association, 8 (57), DOI:
10.1067/mpn.2002.125037 [PDF] |
HAEFFEL, G.J. & GRIGORENKO, E.L. (2007). Cognitive
vulnerability to depression : Exploring risk and
resilience. Child & Adolescent Psychiatric
Clinics of North America, 16 435-448. [PDF] |
|
HYDE, J.S., MEZULIS, A.H. & ABRAMSON, L.Y. (2008). The
ABCs of depression : Integrating affective, biological,
and cognitive models to explain the emergence of the
gender difference in depression. Psychological
Review, 115 (2), 291-313.
[PDF] |
ROBERTS, P. (2002). Vulnerability to false memory : The
effects of stress, imagery, trait anxiety, and depression.
Current Psychology : Developmental, Learning,
Personality, Social, 21, 240–252. |
SUISSA, J.A. (2009). Vulnerability and gambling addiction
: psychosocial benchmarks and avenues for intervention.
International Journal of Mental Health & Addictions,
6 (4), 1557-1882. |
|
PROKOP, P., USAK, M. & FANCOVICOVÀ, J. (2010). Risk of
parasite transmission influences perceived vulnerability
to disease and perceived danger of disease-relevant
animals. Behavioural Processes, 85 (1), 52-57. |
ABRAMSON, L.Y., ALLOY, L.B., HANKIN, B.L., HAEFFEL, G.J.,
MacCOON, D.G. & GIBB, B.E. (2002). Cognitive
vulnerability-stress models of depression in a
self-regulatory and psychobiological context. In I.H.
Gotlib & C.L. Hammen (Eds.), Handbook of
depression (pp. 268-294). New York : Guilford. |
BLACK, D., RISKIND, J.H. & KLEIMAN, E.M. (2010). Lifetime history of anxiet and mood disorders predicted by cognitive vulnerability to anxiety. International Journal of Cognitive Therapy, 3, 215-227. [PDF] |
SEXTON, K.A., NORTON P.J., WALKER, J.R. & NORTON, G.R. (2003). A hierarchical model of generalized and specific vulnerabilities in anxiety. Cognitive Behaviour Therapy, 32, 82-94. |
NESSE, R.M. (2011). Ten questions for evolutionary studies of disease vulnerability. Evolutionary Applications, 4 (2), 264-277. [PDF] |
CHARNEY, D.S. (2004). Psychobiological and vulnerability : Implications for successful adaptation to extreme stress.
American Journal of Psychiatry, 161 (2),
195-216. [PDF] |
BANGASSER, D.A., CURTIS, A., REYES, B., BETHEA, T.T., PARASTATIDIS, I., ISCHIROPOULOS, H., VAN BOCKSTAELE, E.J. & VALENTINO, R.J. (2010). Sex differences in
corticotropin-releasing factor receptor signaling and
trafficking : potential role in female vulnerability to stress-related psychopathology. Molecular Psychiatry,
15 (9), 896-904. [PDF] |
ZALLA, T., JOYCE, C., SZOKE, A., SCHURHOFF, F., PILLON,
B., KOMANO, O., PEREZ-DIAZ, F., BELLIVIER, F., ALTER, C.,
DUBOIS, B., ROUILLON, F., HOUDÉ, O. & LEBOYER, M.
(2004). Executive dysfunctions as potential markers of
familial vulnerability to bipolar disorder and
schizophrenia. Psychiatry Research, 121,
207-217. |
AUEBARCH, R.P., RICHARDT, S. & KERTZ, S. (2012).
Cognitive vulnerability, stress generation, and anxiety :
Symptom clusters and gender differences. International
Journal of Cognitive Therapy, 5 (1), 50-66. [PDF] |
|
KLEIMAN, E.M. & RISKIND, J.H. (2012). Cognitive vulnerability to comorbidity : Looming cognitive style and
depressive cognitive style as synergistic Predictors of
anxiety and depression symptoms. Journal of Behavior
Therapy & Experimental Psychiatry, 43 (4),
1109-1114. [PDF] |
|
SLUTSKE, W.S., ELLINGSON, J.M., RICHMOND-RAKERD, L.S., ZHU, G. & MARTIN, N.G. (2013). Shared genetic
vulnerability for disordered gambling and alcohol use
disorder in men and women : Evidence from a national
community-based Australian twin study. Twin Research
& Human Genetics, 16, (2), 525-534. [PDF] |
|
PROKOP, P. & KUBIATKO, M. (2014). Perceived vulnerability to disease predicts environmental attitudes.
Eurasia Journal of Mathematics, Science &
Technology Education, 10 (1), 3-11. [PDF] |
|
PORTNOY, D.B., KAUFMAN, A.R., KLEIN, W.M.P., DOYLE, T.A.
& DE GROOT. M. (2014). Cognitive and affective
Perceptions of vulnerability as predictors of exercise
intentions among people with type 2 diabetes. Journal
of Risk Research, 17 (2), 177-193. [PDF] |
 |
|
 |
Voir aussi Prédisposition,
Risque et Résilience |
 |
|
Vulpian Edme Félix Alfred (Paris 1826-1887 Paris) : Neurologue,
anatomiste et physiologiste
français. Il a découvert l'adrénaline.
Étudiant de Flourens.
Collaborateur de Charcot.
 |
VULPIAN, A. (1956). Recherches expérimentales sur la
physiologie et la pathologie des capsules surrénales. Comptes
rendus de l'Académie des Sciences, 43, 663-665. |
PHILIPEAUX, J.-M. et VULPIAN, A. (1860). Recherches
expérimentales sur la régénération des nerfs séparés des
centres nerveux. Comptes Rendus des Séances et
Mémoires de la Société de Biologie, 1, 343-415. |
VULPIAN, A. (1864/66). Leçons sur la physiologie
générale et comparée du système nerveux. Paris :
Gerner-Baillière. |
VULPIAN, A. (1875). Leçons sur l'action physiologique
des poisons et médicaments. Paris : aculté de
médecine de Paris/Journal de l'École de Médecine. |
VULPIAN, A. (1879/86). Maladies du système nerveux;
leçons professées à la Faculté de Médecine. Paris :
Doin. |
 |
 |
|
Vulve : Partie de l'appareil génital
féminin.
|
Vuoskoski Jonna K. ( ) : Spécialiste de l'étude
de la musique.
Collaboratrice de Eerola.
 |
VUOSKOSKI, J.K. & EEROLA, T. (2011). The role of mood and personality in the perception of emotions represented by music. Cortex, 47 (9), 1099-1106. |
VUOSKOSKI, J.K. & EEROLA, T. (2011). Measuring
music-induced emotion : A comparison of emotion models,
personality biases, and intensity of experiences. Musicae
Scientiae, 15 (2), 159-173. |
VUOSKOSKI, J.K., THOMPSON, W.F., McILWIN, D. & ERROLA, T. (2012). Who enjoys listening to sad music and why ? Music Perception, 29 (3), 311-318. [PDF] |
VUOSKOSKI, J.K. & ERROLA, T. (2017). The pleasure
evoked by sad music is mediated by feelings of being
moved. Frontiers in Psychology, 8, [439].[PDF] |
VUOSKOSKI, J.K. CLARKE, F.E. & DENORA, T. (2017). Music
listening evokes implicit affiliation. Psychology of
Music, 45 (4), 584-599. |
 |
 |
|
Vygotsky Lev Semionovitch (Belorussie 1896-1934 Moscou) :
Psychologue cognitiviste
européen d'origine russe. Il a étudié le développement
cognitif chez les enfants
et plus particulièrement la relation entre la pensée enfantine et
le langage. On lui doit
le concept de zone
proximale de développement. =
Vygotski. Collaborateur de Luria.
No
83 |
VYGOTSKY, L. (1929). The problem of the cultural
development of the child. Journal of Genetic
Psychology, 36, 413-434. |
VYGOTSKY, L. & LURIA, A. (1930/1992). Ape,
primitive man and child : Essays in the history of
behavior. Orlando : Paul M. Deutsch. |
VYGOTSKY, L. (1934). Thought in schizophrenia. Archives
of Neurology & Psychiatry, 31, 1063-1077. |
VYGOTSKY, L.S. (1978). Mind in society : The
development of higher psychological processes.
Cambridge : Harvard University Press. |
VYGOTSKY, L.S. (1985). Pensée et langage. Paris
: Messidor, Éditions sociales. |
|
LURIA, A. (1935). Obituary for Lev Vygotsky. Character
a Personality : An International Psychological
Quarterly, 3 (3), [PDF] |
TUDGE, J.R.H. & WINTERHOFF, P.A. (1993). Vygotsky,
Piaget, and Bandura : Perpspectives on the relations
between the social word and cognitive development.
Human Development, 36 (2), 61-81. [PDF] |
WERTSCH, J.V. (1979). From social interaction to higher psychological processes : A clarification and application
of Vygotsky's theory. Human Development, 22,
1-22. |
NEWMAN, F. & HOLZMAN, L. (1993). Lev Vygotsky :
Revolutionary scientist. London : Routledge. |
|
PASCUAL-LEONE, J. (1996). Vygotsky, Piaget, and the
problems of Plato. Swiss Journal of Psychology, 55,
84-92. |
FEIN, G. (1979). Echoes from the nursery : Piaget, Vygotsky, and the relationship between language and play.
New Directions for Child Development, 6, 1-14. |
SCOTT, P. (1998). Teacher talk and meaning making in
science classrooms : A Vygotskian analysis and review. Studies
in Science Education, 32, 45-80. |
WERTSCH, J.V. (1980). The significance of dialogue in
Vygotsky's account of social, egocentric, and inner
speech. Contemporary Educational Psychology, 5,
150-162. |
VAN GEERT, P. (1998). A dynamic systems model of basic
developmental mechanisms : Piaget, Vygotsky, and beyond. Psychological Review, 105, 634-677. |
WOZNIAK, R.H. (1983). Lev Semonovich Vygotsky (1896-1934).
History of Psychology Newsletter, 15, 49-55. |
VAN GEERT, P. (2000). The dynamics of general
developmental mechanisms : from Piaget and Vygotsky to
dynamic systems models. Current Directions in
Psychological Science, 9, 64-68. |
WERTSCH, J. (1985). Vygotsky and the social formation of mind. Cambridge, MA : Harvard University Press. |
BURKHOLDER, E.O. & PELAEZ, M. (2000). A behavioral
interpretation of Vygotsky’s theory of thought, language,
and culture. Behavior Development Bulletin, 9,
7-9. |
KOZULIN, A. (1990). Vygotsky's psychology : A
biography of ideas. Cambridge, MA : Harvard
University Press. |
FERNYHOUGH, C. (2002). Lev Vygotsky : Critical assessments
: Response. British Journal of Educational
Psychology, 72, 308-309. [PDF] |
WERTSCH, J.V. (1990). A meeting of paradigms : Vygotsky
and psychoanalysis. Contemporary psychoanalysis, 26 (1),
53-73. |
KOZULIN, A., GINDIS, B., AGEYEV, V. & MILLER, S. (Eds.) (2003). Vygotsky's educational theory in cultural
context. Cambridge : Cambridge University Press. [PDF] |
BRÄTEN, I. (1991). Vygotsky as precursor to metacognitive theory : II. Vygotsky as metacognitivist. Scandinavian Journal of Educational Research, 35 (4), 305-320.
[PDF] |
KOZULIN, A. (2004). Vygotsky's theory in the classroom : Introduction. European Journal of Psychology of
Education, 19 (1), 3-7.
[PDF] |
|
KARPOV, Y.V. (2005). The neo-Vygotskian approach to
child dvelopment. Cambridge : Cambridge University
Press. |
WERTSCH, J.V. & TULVISTE, P. (1992). L.S. Vygotsky and
contemporary developmental psychology. Developmental
Psychology, 28 (4), 548-557. [PDF] |
MOLL, H. & TOMASELLO, M. (2007). Cooperation and human cognition : the Vygotskian intelligence hypothesis. Philosophical
Transactions of the Royal Society B : Biological
Sciences, 362 (1480), 639-648. [PDF] |
|
FERNYHOUGH, C. (2008). Getting Vygotskian about theory of mind : Mediation, dialogue, and the development of social
understanding. Developmental Review, 28 (2),
225-262. [PDF] |
 |
 |
|
| VACHER
- VAILLANT - VAL - VALEUR
- VALIDITÉ - VAN
- VAR - VARIABLE - VARIATION
- VE - VI -
VIOLENCE - VO - VR
- VYGOTSKY
- Début |
|
 |
Comment citer ce site ?  |
 |
Pl@nète
Psy©/Claude Goulet
 |